Effect of Force and Heat Coupling on Machined Surface Integrity and Fatigue Performance of Superalloy GH4169 Specimens
Abstract
1. Introduction
2. Surface Integrity Measurement
2.1. Composition and Mechanical Properties of Materials
2.2. Experiment Scheme
2.3. Measurement Results and Evolution Process of Surface Integrity
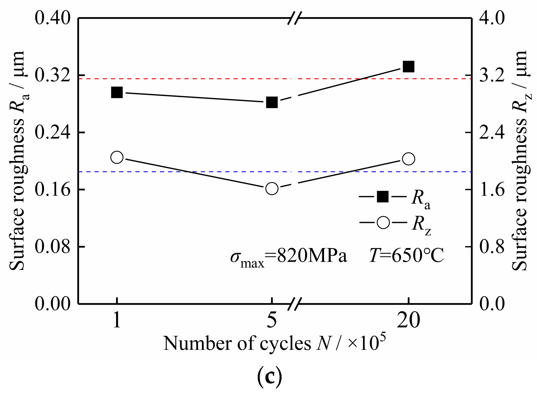
2.3.1. Surface Roughness and Surface Morphology
2.3.2. Surface Residual Stress
2.3.3. Surface Microhardness
2.3.4. Surface Layer Microstructure
3. GH4169 High-Temperature Fatigue Performance Tests
3.1. Experimental Plan
3.2. Fatigue Performance Test Results and Discussion
4. Conclusions
- (1)
- Compared to room-temperature conditions, the residual stress on the machined surface of GH4169 specimens undergoes a more significant release under the coupling effect of force and heat. As the test temperature rises, the extent of release also escalates. At 650 °C, in diverse conditions, the degree of surface residual stress release in all groups of specimens ultimately exceeded 60%. Concurrently, an increase in the maximum load σmax leads to an accelerated rate of residual stress release.
- (2)
- Alternating loading mitigates the extent of plastic deformation on the machined surface of specimens, resulting in a downward trend in surface microhardness as σmax increases. However, at elevated temperatures, the strengthening phase γ′′ within the microstructure of GH4169 transforms into the equilibrium phase δ. This precipitation of the δ phase enhances the microhardness of specimens. As the temperature rises, this phenomenon becomes more pronounced; specifically, at 650 °C, the surface microhardness of the machined specimens increased from 516.12 HV to a range of 530–545 HV.
- (3)
- The fatigue performance of GH4169 specimens at high temperatures is primarily influenced by surface microhardness, provided that the machined surface roughness remains below Ra 0.4 μm. Under low-cycle fatigue conditions, the fatigue life of specimens exhibits an initial increase followed by a decrease as the surface microhardness increases. Compared with 20 °C and 450 °C, the fatigue life of specimens at 650 °C is more significantly affected by variations in surface microhardness. Conversely, in high-cycle fatigue, the degree of surface strain concentration decreases, and under the given experimental conditions, larger surface microhardness and surface plastic deformation remain advantageous for enhancing the high-temperature fatigue performance of specimens.
Author Contributions
Funding
Data Availability Statement
Conflicts of Interest
References
- Hardy, M.C.; Herbert, C.R.J.; Kwong, J.; Li, W.; Axinte, D.A.; Sharman, A.R.C.; Encinas-Oropesa, A.; Withers, P.J. Characterising the integrity of machined surfaces in a powder nickel alloy used in aircraft engines. Procedia CIRP 2014, 13, 411–416. [Google Scholar] [CrossRef]
- Bons, J.P. A review of surface roughness effects in gas turbines. J. Turbomach. 2010, 132, 021004-1–021004-16. [Google Scholar] [CrossRef]
- Field, M.; Kahles, J.F. The surface integrity of machined-and ground high-strength steels. DMIC Rep. 1964, 210, 54–77. [Google Scholar]
- Liu, J.; Chen, G.; Zhao, L.; Yu, Z.; Jia, X. Research status and development trend of cutting surface integrity of aerospace alloy materials. Int. J. Adv. Manuf. Technol. 2023, 127, 45–63. [Google Scholar] [CrossRef]
- Yao, J.; Li, X.; Du, B.; Zhang, N.; Gou, R. Research status of influence mechanism of surface integrity on fatigue behavior of metal workpieces: A review. Int. J. Adv. Manuf. Technol. 2024, 131, 3401–3419. [Google Scholar] [CrossRef]
- Mustafa, G.; Li, B.; Zhang, S. Cutting condition effects on microstructure and mechanical characteristics of Ni-based superalloys—A review. Int. J. Adv. Manuf. Technol. 2024, 130, 3179–3209. [Google Scholar] [CrossRef]
- Liao, Z.; Monaca, A.L.; Murray, J.; Speidel, A.; Ushmaev, D.; Clare, A.; Axinte, D.; M’Saoubi, R. Surface integrity in metal machining—Part I: Fundamentals of surface characteristics and formation mechanisms. Int. J. Mach. Tools Manuf. 2021, 162, 103687. [Google Scholar] [CrossRef]
- Ulutan, D.; Ozel, T. Machining induced surface integrity in titanium and nickel alloys: A review. Int. J. Mach. Tools Manuf. 2011, 51, 250–280. [Google Scholar] [CrossRef]
- Thakur, A.; Gangopadhyay, S. State-of-the-art in surface integrity in machining of nickel-based super alloys. Int. J. Mach. Tools Manuf. 2016, 100, 25–54. [Google Scholar] [CrossRef]
- Wang, J.J.; Wen, Z.W.; Zhang, X.H.; Zhao, Y.C.; Yue, Z.F. Effect mechanism and equivalent model of surface roughness on fatigue behavior of nickel-based single crystal superalloy. Int. J. Fatigue 2019, 125, 101–111. [Google Scholar] [CrossRef]
- Xie, L.; Palmer, D.; Otto, F.; Wang, Z.; Wang, Q.J. Effect of surface hardening technique and case depth on rolling contact fatigue behavior of alloy steels. Tribol. Trans. 2015, 58, 215–224. [Google Scholar] [CrossRef]
- Sealy, M.P.; Guo, Y.B.; Caslaru, R.C.; Sharkins, J.; Feldman, D. Fatigue performance of biodegradable magnesium–calcium alloy processed by laser shock peening for orthopedic implants. Int. J. Fatigue 2016, 82, 428–436. [Google Scholar] [CrossRef]
- Pramanik, A.; Dixit, A.R.; Chattopadhyaya, S.; Uddin, M.S.; Dong, Y.; Basak, A.K.; Littlefair, G. Fatigue life of machined components. Adv. Manuf. 2017, 5, 59–76. [Google Scholar] [CrossRef]
- Wang, P.; He, Z.; Zhang, Y.; Zhang, S. Control of grinding surface residual stress of Inconel 718. Procedia Eng. 2017, 174, 504–511. [Google Scholar] [CrossRef]
- Chen, H.; Liu, Z.; Wang, X.; Wang, Y.; Liu, S. Effect of surface integrity on fatigue life of 2024 aluminum alloy subjected to turning. J. Manuf. Process. 2022, 83, 650–666. [Google Scholar] [CrossRef]
- Chin, K.S.; Idapalapati, S.; Ardi, D.T. Fatigue of surface-treated nickel-based superalloy at high temperature. J. Mater. Eng. Perform. 2019, 28, 7181–7187. [Google Scholar] [CrossRef]
- Klotz, T.; Delbergue, D.; Bocher, P.; Lévesque, M.; Brochu, M. Surface characteristics and fatigue behavior of shot peened Inconel 718. Int. J. Fatigue 2018, 110, 10–21. [Google Scholar] [CrossRef]
- Liao, Z.; Xu, D.; Luna, G.G.; Axinte, D.; Augustinavicius, G.; Sarasua, A.J.; Wretland, A. Influence of surface integrity induced by multiple machining processes upon the fatigue performance of a nickel based superalloy. J. Mater. Process. Technol. 2021, 298, 117313. [Google Scholar] [CrossRef]
- Liu, G.; Huang, C.; Zhao, B.; Wang, W.; Sun, S. Effect of Machined Surface Integrity on Fatigue Performance of Metal Workpiece: A Review. Chin. J. Mech. Eng. 2021, 34, 118. [Google Scholar] [CrossRef]
- Jiang, H.; Wang, C.; Ren, Z.; Yi, Y.; He, L.; Zhao, X. Influence of cutting velocity on gradient microstructure of machined surface during turning of high-strength alloy steel. Mater. Sci. Eng. A. 2021, 819, 141354. [Google Scholar] [CrossRef]
- Cui, P.; Liu, Z.; Zhao, J.; Ren, X. Correlation between Surface Integrity and Low Cycle Fatigue Life of Machined Inconel 718. Metals 2024, 14, 178. [Google Scholar] [CrossRef]
- Sarıkaya, M.; Gupta, M.K.; Tomaz, I.; Pimenov, D.Y.; Kuntoğlu, M.; Khanna, N.; Yıldırım, Ç.V.; Krolczyk, G.M. A state-of-the-art review on tool wear and surface integrity characteristics in machining of superalloys. CIRP J. Manuf. Sci. Tech. 2021, 35, 624–658. [Google Scholar] [CrossRef]
- Wang, B.; Liu, Z.; Cai, Y.; Luo, X.; Ma, H.; Song, Q.; Xiong, Z. Advancements in material removal mechanism and surface integrity of high speed metal cutting: A review. Int. J. Mach. Tools Manuf. 2021, 166, 103744. [Google Scholar] [CrossRef]
- Gill, C.M.; Fox, N.; Withers, P.J. Shakedown of deep cold rolling residual stresses in titanium alloys. J. Phys. D Appl. Phys. 2008, 41, 174005. [Google Scholar] [CrossRef]
- Nikitin, I.; Besel, M. Residual stress relaxation of deep-rolled austenitic steel. Scr. Mater. 2008, 58, 239–242. [Google Scholar] [CrossRef]
- Altenberger, I.; Nalla, R.K.; Sano, Y.; Wagner, L.; Ritchie, R.O. On the effect of deep-rolling and laser-peening on the stress-controlled low- and high-cycle fatigue behavior of Ti–6Al–4V at elevated temperatures up to 550 °C. Int. J. Fatigue 2012, 44, 292–302. [Google Scholar] [CrossRef]
- Thakur, D.G.; Ramamoorthy, B.; Vijayaraghavan, L. Study on the machinability characteristics of superalloy Inconel 718 during high speed turning. Mater. Des. 2009, 30, 1718–1725. [Google Scholar] [CrossRef]
- Amini, S.; Fatemi, M.H.; Atefi, R. High speed turning of Inconel 718 using ceramic and carbide cutting tools. Arab. J. Sci. Eng. 2014, 39, 2323–2330. [Google Scholar] [CrossRef]
- Sun, J.; Wang, T.; Su, A.; Chen, W. Surface integrity and its influence on fatigue life when turning nickel alloy GH4169. Procedia CIRP 2018, 71, 478–483. [Google Scholar] [CrossRef]
- Ren, N.F.; Yang, H.M.; Yuan, S.Q.; Wang, Y.; Tang, S.X.; Zheng, L.M.; Ren, X.D.; Dai, F.Z. High temperature mechanical properties and surface fatigue behavior improving of steel alloy via laser shock peening. Mater. Des. 2014, 53, 452–456. [Google Scholar] [CrossRef]
- Zhao, X.; Xue, G.; Liu, Y. Gradient crystalline structure induced by ultrasonic impacting and rolling and its effect on fatigue behavior of TC11 titanium alloy. Results Phys. 2017, 7, 1845–1851. [Google Scholar] [CrossRef]
- Li, X.; Guo, Z.; Yang, S.; Zhang, H.; Wang, Z. Study on the effect of milling surface plastic deformation on fatigue performance of 20Cr and TC17 specimens. Metals 2022, 12, 736. [Google Scholar] [CrossRef]
- Suraratchai, M.; Limido, J.; Mabru, C.; Chieragatti, R. Modelling the influence of machined surface roughness on the fatigue life of aluminium alloy. Int. J. Fatigue 2008, 30, 2119–2126. [Google Scholar] [CrossRef]
- Barter, S.A.; Molent, L.; Wanhill, R.J.H. Typical fatigue-initiating discontinuities in metallic aircraft structures. Int. J. Fatigue 2012, 41, 11–22. [Google Scholar] [CrossRef]















| C | Nb | Si | Mn | Cr | Ti | Al | Mo | Ni | Cu | Co | Fe |
|---|---|---|---|---|---|---|---|---|---|---|---|
| <0.08 | 4.75~5.5 | <0.35 | <0.35 | 17~20 | 0.75~1.15 | 0.3~0.7 | 2.8~3.3 | 50~55 | 0.3 | <1.0 | Bal. |
| Temperature /°C | Yield Strength σs/MPa | Tensile Strength σb/MPa |
|---|---|---|
| 20 | 1140 | 1418 |
| 450 | 1030 | 1251 |
| 650 | 985 | 1129 |
| 750 | 781 | 808 |
| No. | Temperature /°C | Maximum Load σmax/MPa | Number of Loading Cycles N/×105 |
|---|---|---|---|
| 1 | 20 | 820 | 1 |
| 2 | 450 | 820 | 1 |
| 3 | 650 | High temperature Treatment (HT): σmax = 0 | |
| 4 | 650 | 770 | 1 |
| 5 | 5 | ||
| 6 | 20 | ||
| 7 | 650 | 820 | 1 |
| 8 | 5 | ||
| 9 | 20 | ||
| 10 | 650 | 880 | 1 |
| 11 | 5 | ||
| 12 | 20 | ||
| 13 | 700 | 820 | 0.1 |
| 14 | 1 | ||
| Cutting Speed vs (m·min−1) | Feed Rate f (mm·r−1) | Cutting Depth ap (mm) | Surface Roughness | Surface Microhardness HVIT (HV) | Surface Residual Stress σH (MPa) | Fatigue Life Nf (×105) | |||
|---|---|---|---|---|---|---|---|---|---|
| Ra (μm) | Rz (μm) | 650 °C 1040 MPa | 450 °C 930 MPa | 20 °C 880 MPa | |||||
| 15 | 0.01 | 0.4 | 0.35 | 2.23 | 544.07 | −735.5 | 3.98 | 6.76 | 7.53 |
| 15 | 0.01 | 0.3 | 0.34 | 1.99 | 529.26 | −621.8 | 4.24 | 7.13 | 7.84 |
| 20 | 0.02 | 0.2 | 0.32 | 1.85 | 516.12 | −588.1 | 5.89 | 6.52 | 7.76 |
| 25 | 0.02 | 0.1 | 0.3 | 1.83 | 510.7 | −550.2 | 6.74 | 6.07 | -- |
| 25 | 0.04 | 0.1 | 0.36 | 2.17 | 503.71 | −555.7 | 5.88 | 5.51 | 6.8 |
| 30 | 0.06 | 0.1 | 0.39 | 2.40 | 489.43 | −583 | 4.91 | 5.46 | 6.15 |
Disclaimer/Publisher’s Note: The statements, opinions and data contained in all publications are solely those of the individual author(s) and contributor(s) and not of MDPI and/or the editor(s). MDPI and/or the editor(s) disclaim responsibility for any injury to people or property resulting from any ideas, methods, instructions or products referred to in the content. |
© 2024 by the authors. Licensee MDPI, Basel, Switzerland. This article is an open access article distributed under the terms and conditions of the Creative Commons Attribution (CC BY) license (https://creativecommons.org/licenses/by/4.0/).
Share and Cite
Li, X.; Gou, R.; Zhang, N. Effect of Force and Heat Coupling on Machined Surface Integrity and Fatigue Performance of Superalloy GH4169 Specimens. Metals 2024, 14, 540. https://doi.org/10.3390/met14050540
Li X, Gou R, Zhang N. Effect of Force and Heat Coupling on Machined Surface Integrity and Fatigue Performance of Superalloy GH4169 Specimens. Metals. 2024; 14(5):540. https://doi.org/10.3390/met14050540
Chicago/Turabian StyleLi, Xun, Ruijie Gou, and Ning Zhang. 2024. "Effect of Force and Heat Coupling on Machined Surface Integrity and Fatigue Performance of Superalloy GH4169 Specimens" Metals 14, no. 5: 540. https://doi.org/10.3390/met14050540
APA StyleLi, X., Gou, R., & Zhang, N. (2024). Effect of Force and Heat Coupling on Machined Surface Integrity and Fatigue Performance of Superalloy GH4169 Specimens. Metals, 14(5), 540. https://doi.org/10.3390/met14050540

