The Analysis of the Compositional Uniformity of a Ti-Al Alloy during Electron Beam Cold Hearth Melting: A Numerical Study
Abstract
1. Introduction
2. Model Description
2.1. Physical Phenomenon Model Equation
2.2. Computational Domain and Boundary Conditions
2.3. Model Validation
3. Results and Discussion
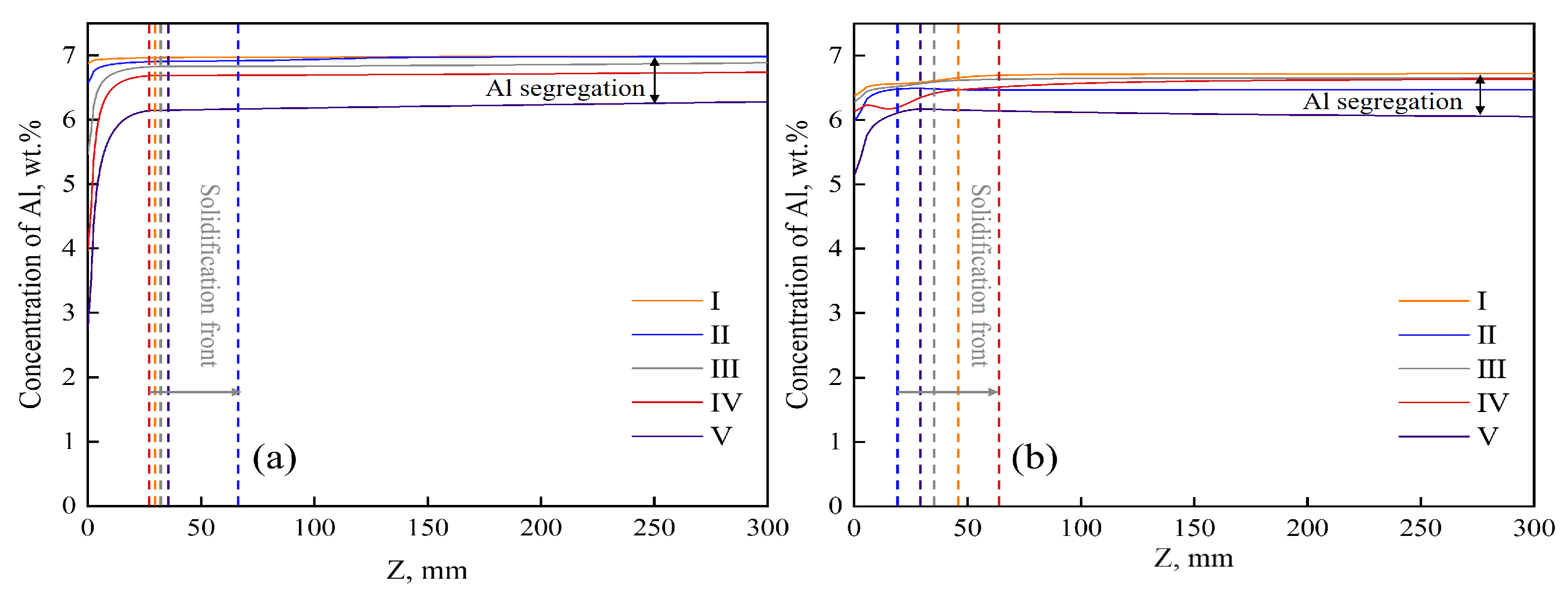
3.1. Comparative Analysis of Al Element Homogenization between Single- and Three-Inlet Crystallizers in EBCHM
3.2. Influence of Pouring Temperature on Crystallizer in Three Overflow Inlets in EBCHM
4. Conclusions
- (1)
- The crystallizer with three overflow inlets, at a casting speed of 20 mm/min and ingot temperatures from 2073 K to 2273 K, resulted in a thermal impact pit depth of 48–80 mm. Average Reynolds numbers at five cross-sections were 310, 317, 219, 210, and 288, respectively. Compared to a single inlet, this design reduced pit depth by 132 mm, improving solidification quality under high temperatures and speeds.
- (2)
- As the temperature decreased from 2273 K to 2073 K, Al segregation in the three-overflow-inlet crystallizer increased from 0.84 to 0.98 in the melt pool and from 0.84 to 0.97 in the solidification cross-section. Compared to a single inlet, the maximum Al concentration difference decreased by 0.933 wt.%, showing that multiple overflow inlets improve homogenization and reduce segregation.
Author Contributions
Funding
Data Availability Statement
Acknowledgments
Conflicts of Interest
Nomenclature
| liquid fraction | |
| concentration expansion coefficient of component , 1/wt.% | |
| thermal expansion coefficient, 1/K | |
| relaxation factor with a default value | |
| cell temperature, K | |
| interface temperature, K | |
| density, kg/m3 | |
| cell volume, m3 | |
| latent heat of the material, J/kg | |
| cell–matrix coefficient | |
| time-step, s | |
| melting temperature, K | |
| number of species | |
| the slope of the liquidus surface with respect to | |
| the mass fraction of solute i | |
| the partition coefficient of solute i | |
| the momentum sink | |
| a small number (0.001) to prevent division by zero | |
| mushy zone constant | |
| cell velocity, m/s | |
| pull velocity, m/s | |
| liquidus temperature of the material, K | |
| temperature, K | |
| reaction heat source term, W/m3 | |
| R | universal gas constant, J/mol K |
| reaction rate, kg/m2 s | |
| velocity of the liquid, m/s | |
| mass diffusion coefficient for species in the mixture, m2/s | |
| forward rate constant for reaction r | |
| number of gaseous species | |
| molar concentrations of gaseous species | |
| molar concentrations of site species | |
| and | the rate exponents for the ith gaseous species as reactant and product, respectively |
| and | the rate exponents for the jth gaseous species as reactant and product, respectively |
| pre-exponential factor (consistent units) | |
| temperature exponent (dimensionless) | |
| activation energy for the reaction, J/mol | |
| µ | dynamic viscosity, Pa·s |
| u | velocity of the fluid with respect to the object, m/s |
| L | characteristic length, m |
| Re | Reynolds number |
References
- Gomez-Gallegos, A.; Mandal, P.; Gonzalez, D.; Zuelli, N.; Blackwell, P. Studies on titanium alloys for aerospace application. In Defect and Diffusion Forum; Trans Tech Publications Ltd.: Stafa-Zurich, Switzerland, 2018; Volume 385, pp. 419–423. [Google Scholar] [CrossRef]
- Qiu, G.; Guo, Y. Current situation and development trend of titanium metal industry in China. Int. J. Miner. Metall. Mater. 2022, 29, 599–610. [Google Scholar] [CrossRef]
- Wang, Y.P.; Tan, F.G.; Gao, L.X.; Zhou, L.; Shi, Z.; Li, N. Numerical Simulation Study on the Effects of Co-Injection of Pulverized Coal and SPL (Spent Pot-Lining) into the Blast Furnace. Fuel 2023, 354, 129368. [Google Scholar] [CrossRef]
- Zheng, H.W.; Hao, X.D.; Zhang, S.R.; Omran, M.; Chen, G.; Chen, J.; Gao, L. Modeling of process and analysis of drying characteristics for natural TiO2 under microwave heating. Chem. Eng. Process.-Process Intensif. 2022, 174, 108900. [Google Scholar] [CrossRef]
- Chen, J.; Guo, S.H.; Omran, M.; Gao, L.; Zheng, H.W.; Chen, G. Microwave-assisted preparation of nanocluster rutile TiO2 from titanium slag by NaOH-KOH mixture activation. Adv. Powder Technol. 2022, 33, 103549. [Google Scholar] [CrossRef]
- Jiang, D.; Ren, Y.; Zhang, L. Numerical Simulation of Inclusion Distribution in Vacuum Arc Remelting Ingot. Metall. Mater. Trans. B 2023, 54, 1342–1351. [Google Scholar] [CrossRef]
- Ji, S.; Duan, J.; Yao, L.; Maijer, D.M.; Cockcroft, S.L.; Fiore, D.; Tripp, D.W. Quantification of the heat transfer during the plasma arc re-melting of titanium alloys. Int. J. Heat Mass Transf. 2018, 119, 271–281. [Google Scholar] [CrossRef]
- Yu, J.X.; Yuan, Q.Q.; Huang, H.G.; Huang, Z.R.; Zhang, H.Y.; Wang, J.S.; Liu, K.; Yu, K.; Xiao, H. Influence of Annealing Treatment on α Phase Globularization, Mechanical Properties, and Corrosion Performance of Hot-Rolled Ti–0.3Mo–0.8Ni Alloy Melted by Electron Beam Cold Hearth Technology. Met. Mater. Trans. A 2023, 54, 2872–2889. [Google Scholar] [CrossRef]
- Yu, J.X.; Yin, Z.P.; Huang, Z.R.; Zhao, S.; Huang, H.G.; Yu, K.; Zhou, R.F.; Xiao, H. Effect of aging treatment on microstructural evolution and mechanical properties of the electron beam cold hearth melting Ti-6Al-4V alloy. Materials 2022, 15, 7122. [Google Scholar] [CrossRef] [PubMed]
- Cen, M.J.; Liu, Y.; Chen, X.; Zhang, H.W.; Li, Y.X. Inclusions in melting process of titanium and titanium alloys. China Foundry 2019, 16, 223–231. [Google Scholar] [CrossRef]
- Peng, B.B.; Li, X.M.; Wang, X.; Mo, J.; Luo, L. Simulation study on temperature field and microstructure of Ti-6Al-4V alloy round ingot during EBCHM. Mater. Res. Express 2021, 8, 046505. [Google Scholar] [CrossRef]
- Wang, X.; Liu, Q.L.; Li, X.M. Effect of crystallize’s three-dimension on the solid-liquid interface morphology of the large-scale Ti64 during EBCHM. Mater. Res. Express 2019, 6, 0865h4. [Google Scholar] [CrossRef]
- Zhang, H.Z.; Yi, J.H.; Wang, J.S.; Xiao, H.; Wang, M.; Wang, W. Effect of Direct Rolling Process on Microstructure and Mechanical Properties of the Electron Beam Cold Hearth Melting Ti-6Al-4V Alloy. Metals 2022, 12, 2018. [Google Scholar] [CrossRef]
- Zhu, Z.Z.; Li, Z.L.; Zhou, R.F.; Huang, H.G.; Xiong, W.T.; Li, X.M. Experimental verification of molybdenum segregation for large-scale slab ingots of Ti–0.3 Mo–0.8 Ni alloy during electron-beam cold-hearth melting. Philos. Mag. Lett. 2022, 102, 270–277. [Google Scholar] [CrossRef]
- Markovsky, P.E.; Bondarchuk, V.I.; Akhonin, S.V.; Berezos, A.V. Electron beam cold hearth melted titanium alloys and the possibility of their use as anti-ballistic materials. MATEC Web Conf. 2020, 321, 11036. [Google Scholar] [CrossRef]
- Casem, D.T.; Weerasooriya, T.; Walter, T.R. Mechanical behavior of a low-cost Ti–6Al–4V alloy. J. Dyn. Behav. Mater. 2018, 4, 138–149. [Google Scholar] [CrossRef]
- Liu, Q.L.; Jiang, Y.H.; Li, X.M. The effect of bulk nucleation parameters on the formation of macroscopic grain of the large-scale titanium slab ingot during EBCHM. Mater. Sci. Technol. 2018, 34, 1649–1656. [Google Scholar] [CrossRef]
- Liu, R.; Hui, S.X.; Ye, W.J.; Yu, Y.; Fu, Y.Y.; Song, X.Y. Dynamic Compression Properties of Low-Cost Ti-6Al-4V Plates. In Materials Science Forum; Trans Tech Publications Ltd.: Stafa-Zurich, Switzerland, 2016; Volume 849, pp. 276–280. [Google Scholar] [CrossRef]
- Truong, V.D.; Hyun, Y.T.; Won, J.W.; Lee, W.; Yoon, J. Numerical simulation of the effects of scanning strategies on the alumi-num evaporation of titanium alloy in the electron beam cold hearth melting process. Materials 2022, 15, 820. [Google Scholar] [CrossRef] [PubMed]
- Ivanchenko, V.G.; Ivasishin, O.M.; Semiatin, S.L. Evaluation of evaporation losses during electron-beam melting of Ti-Al-V alloys. Metall. Mater. Trans. B 2003, 34, 911–915. [Google Scholar] [CrossRef]
- Markov, M.; Stefanova, V.; Vutova, K. The effectiveness of electron beam melting for removing impurities from technogenic metal materials. J. Chem. Technol. Metall. 2024, 59, 419–430. [Google Scholar] [CrossRef]
- Ward, R.; Blenkinsop, B.; Evans, E.; Flower, F. Temperature sensing for cold hearth melting process. In Titanium Science & Technology; Springer: Berlin/Heidelberg, Germany, 1995; pp. 1478–1485. [Google Scholar]
- Klassen, A.; Forster, V.E.; Juechter, V.; Körner, C. Numerical simulation of multi-component evaporation during selective electron beam melting of TiAl. J. Mater. Process Technol. 2017, 247, 280–288. [Google Scholar] [CrossRef]
- Liu, Q.L.; Li, X.M.; Jiang, Y.H. Microstructure evolution of large-scale titanium slab ingot based on CAFE method during EBCHM. J. Mater. Res. 2017, 32, 3175–3182. [Google Scholar] [CrossRef]
- Zhuk, H.V.; Kobryn, P.A.; Semiatin, S.L. Influence of heating and solidification conditions on the structure and surface quality of electron-beam melted Ti–6Al–4V ingots. J. Mater. Process Technol. 2007, 190, 387–392. [Google Scholar] [CrossRef]
- Zhao, X.; Reilly, C.; Yao, L.; Maijer, D.M.; Cockcroft, S.L.; Zhu, J. A three-dimensional steady state thermal fluid model of jumbo ingot casting during electron beam re-melting of Ti–6Al–4V. Appl. Math. Model. 2014, 38, 3607–3623. [Google Scholar] [CrossRef]
- Klassen, A.; Scharowsky, T.; Körner, C. Evaporation model for beam based additive manufacturing using free surface lattice Boltzmann methods. J. Phys. D Appl. Phys. 2014, 47, 275303. [Google Scholar] [CrossRef]
- Shuster, R.E. Modeling of Aluminum Evaporation during Electron Beam Cold Hearth Melting of Titanium Alloy Ingots. Ph.D. Thesis, University of British Columbia, Vancouver, BC, Canada, 2013. [Google Scholar] [CrossRef]
- Gao, L.; Huang, H.G.; Zhang, Y.Q.; Zhang, H.M.; Shi, Z.; Jiang, Y.H.; Zhou, R. Numerical modeling of EBCHM for large-scale TI-6WT%AL-4WT%V alloy round ingots. JOM 2018, 70, 2934–2942. [Google Scholar] [CrossRef]
- Gao, L.; Li, X.M.; Huang, H.G.; Sui, Y.D.; Zhang, H.M.; Shi, Z.; Chattopadhyay, K.; Jiang, Y.H.; Zhou, R. Numerical study of aluminum segregation during electron beam cold hearth remelting for large-scale Ti-6 wt% Al-4 wt% V alloy round ingot. International. J. Heat Mass Transf. 2019, 139, 764–772. [Google Scholar] [CrossRef]
- Gao, L.; Huang, H.G.; Kratzsch, C.; Zhang, H.M.; Chattopadhyay, K.; Jiang, Y.H.; Zhou, R. Numerical study of aluminum segregation during electron beam cold hearth melting for large-scale Ti-6 wt% Al-4 wt% V alloy slab ingots. International. J. Heat Mass Transf. 2020, 147, 118976. [Google Scholar] [CrossRef]
- Wang, Y.P.; Gao, L.; Xin, Y.C.; Guo, S.H.; Yang, L.; Ji, H.H.; Chen, G. Numerical Modeling of Electron Beam Cold Hearth Melting for the Cold Hearth. Minerals 2024, 14, 601. [Google Scholar] [CrossRef]
- Zhang, Z.K. Modeling of Al Evaporation and Marangoni Flow in Electron Beam Button Melting of Ti-6Al-4V. Master’s Thesis, University of British Columbia, Vancouver, BC, Canada, 2013. [Google Scholar] [CrossRef]
- Wu, S.; Liu, D.; Su, Y.; Guo, E.J.; Zhang, Y.H. Modeling of microstructure formation of Ti–6Al–4V alloy in a cold crucible under electromagnetic field. J. Alloys Compd. 2008, 456, 85–95. [Google Scholar] [CrossRef]
- Chen, H.B.; Long, M.J.; Chen, D.F.; Liu, T.; Duan, H.M. Numerical study on the characteristics of solute distribution and the formation of centerline segregation in continuous casting (CC) slab. Int. J. Heat Mass Transf. 2018, 126, 843–853. [Google Scholar] [CrossRef]
- ANSYS Inc. ANSYS Fluent Theory Guide, Release 15.0; ANSYS Inc.: Canonsburg, PA, USA, 2013. [Google Scholar]
- Siwiec, G.; Mizera, J.; Jama, D.; Szmal, A.; Burdzik, R. The effects of temperature on the kinetics of aluminium evaporation from the Ti-6Al-4V alloy. Metalurgija 2014, 53, 225–227. Available online: https://hrcak.srce.hr/110268 (accessed on 1 April 2014).
- Liu, Q.L.; Li, X.M.; Jiang, Y.H. Numerical simulation of EBCHM for the large-scale TI-6WT%AL-4WT%V alloy slab ingot during the solidification process. Vacuum 2017, 141, 1–9. [Google Scholar] [CrossRef]
- Okabe, T.; Schulzrinne, H. Peer-to-Peer SIP features to eliminate a SIP sign-up process. In Proceedings of the IEEE GLOBECOM 2008—2008 IEEE Global Telecommunications Conference, New Orleans, LA, USA, 2008, 30 November–4 December; IEEE: New York, NY, USA, 2008; pp. 1–5. [Google Scholar] [CrossRef]








| Name of Parameter | Value | References |
|---|---|---|
| Solute redistribution coefficient | 1.167 | [34] |
| Heat transfer coefficient | 2000 W/(m2·K) | [33] |
| Solid temperature | 1928 K | [33] |
| Liquid temperature | 1878 K | [33] |
| Conductivity k | Figure 1d | |
| Specific heat Cp | Figure 1d | |
| Liquid fraction β | Figure 1d | |
| Density ρ | Figure 1d |
| Pouring Temperature (K) | ||
|---|---|---|
| 2073 | 0.9826 | 0.9717 |
| 2123 | 0.9667 | 0.9539 |
| 2173 | 0.9312 | 0.9238 |
| 2223 | 0.9029 | 0.8888 |
| 2273 | 0.8404 | 0.8376 |
Disclaimer/Publisher’s Note: The statements, opinions and data contained in all publications are solely those of the individual author(s) and contributor(s) and not of MDPI and/or the editor(s). MDPI and/or the editor(s) disclaim responsibility for any injury to people or property resulting from any ideas, methods, instructions or products referred to in the content. |
© 2024 by the authors. Licensee MDPI, Basel, Switzerland. This article is an open access article distributed under the terms and conditions of the Creative Commons Attribution (CC BY) license (https://creativecommons.org/licenses/by/4.0/).
Share and Cite
Wang, Y.; Xin, Y.; Gao, L.; Cao, W.; Ma, C.; Guo, S.; Chen, G. The Analysis of the Compositional Uniformity of a Ti-Al Alloy during Electron Beam Cold Hearth Melting: A Numerical Study. Metals 2024, 14, 884. https://doi.org/10.3390/met14080884
Wang Y, Xin Y, Gao L, Cao W, Ma C, Guo S, Chen G. The Analysis of the Compositional Uniformity of a Ti-Al Alloy during Electron Beam Cold Hearth Melting: A Numerical Study. Metals. 2024; 14(8):884. https://doi.org/10.3390/met14080884
Chicago/Turabian StyleWang, Yunpeng, Yuchen Xin, Lei Gao, Wei Cao, Chong Ma, Shenghui Guo, and Guo Chen. 2024. "The Analysis of the Compositional Uniformity of a Ti-Al Alloy during Electron Beam Cold Hearth Melting: A Numerical Study" Metals 14, no. 8: 884. https://doi.org/10.3390/met14080884
APA StyleWang, Y., Xin, Y., Gao, L., Cao, W., Ma, C., Guo, S., & Chen, G. (2024). The Analysis of the Compositional Uniformity of a Ti-Al Alloy during Electron Beam Cold Hearth Melting: A Numerical Study. Metals, 14(8), 884. https://doi.org/10.3390/met14080884

