Optimization of High-Alumina Blast Furnace Slag Based on Exergy Analysis
Abstract
1. Introduction
2. Establishment of an Exergy Analysis Model for Blast Furnace Smelting
2.1. Exergy Analysis Model
2.2. Material Balance Calculation
2.3. Exergy Balance Calculation
3. Result and Discussion
3.1. Analysis of Blast Furnace Slag Composition Based on Exergy Analysis
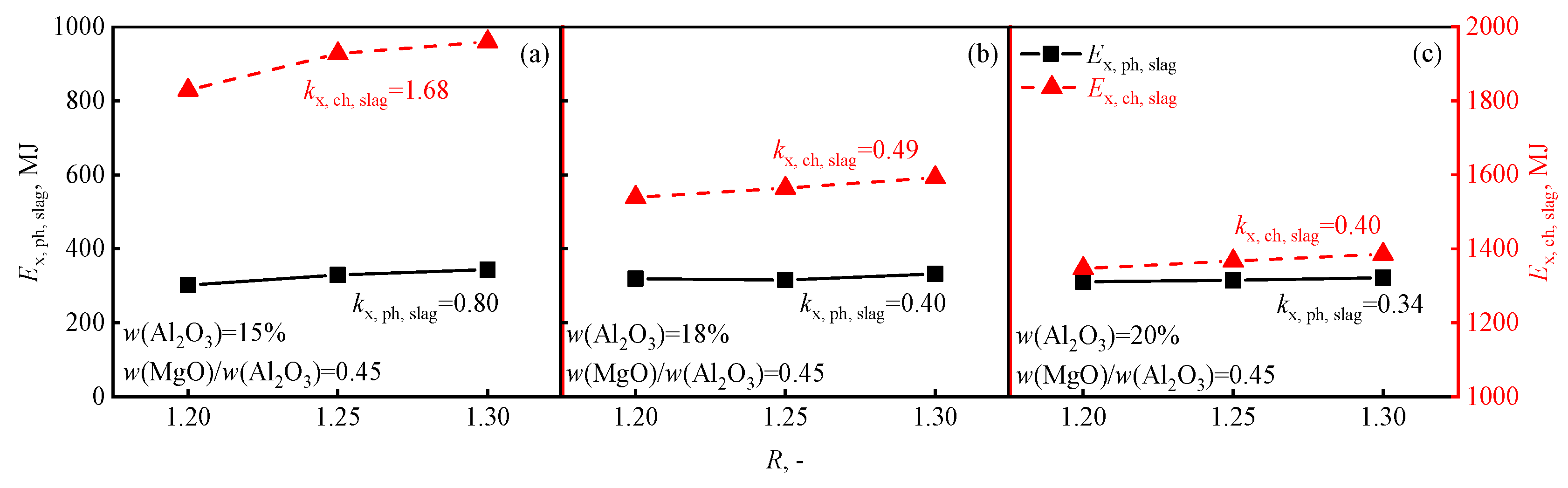
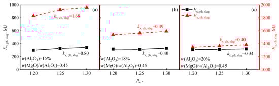
3.1.1. Effect of R on Exergy Efficiency (η)
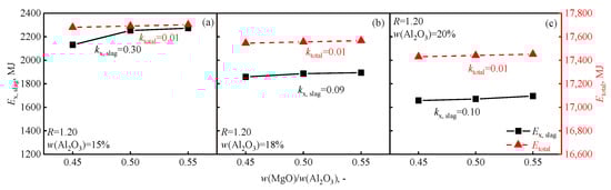
3.1.2. Effect of w(MgO)/w(Al2O3) on Exergy Efficiency (η)
3.1.3. Effect of w(Al2O3) on Exergy Efficiency (η)
3.2. Optimization of Blast Furnace Slag Composition Based on Exergy Analysis
3.2.1. Establishment of the Objective Function
3.2.2. Solution of the Objective Function
3.2.3. Verification of the Objective Function
4. Conclusions
- The total exergy loss of the blast furnace accounted for a relatively high proportion of the exergy expenditure, approximately 71.71% of Etotal. Of this, the internal exergy loss (Exl, in) accounted for 22.41% (31.25% of the total exergy loss) of Etotal, while the external exergy loss (Exl, ex) accounted for 49.30% (68.75% of the total exergy loss) of Etotal. At the same time, because the exergy of the gas accounts for 30% of Etotal, there is great significance for gas utilization.
- Based on the established gray box exergy analysis model, when w(Al2O3) = 15%, the exergy efficiency (η) of the blast furnace exhibited an upward trend with increasing slag R and w(MgO)/w(Al2O3). However, there was no discernible change in the exergy efficiency of the slag with an increase in R and w(MgO)/w(Al2O3) when w(Al2O3) = 18% or 20%. The exergy efficiency (η) of the blast furnace decreased with increasing w(Al2O3). The exergy efficiency (η) of the blast furnace smelting process was 28.29%, and the minimal exergy loss (Exl, min) was 7395.45 MJ with slag compositions of R = 1.30, w(MgO)/w(Al2O3) = 0.55, and w(Al2O3) = 15%.
- An objective function based on the gray box exergy analysis model of the blast furnace was constructed and solved using LINGO. For the calculation, the calculation of the result with the objective function was logical. The obtained optimal solution was 7129.42 MJ with a slag composition of R = 1.295, w(MgO)/w(Al2O3) = 0.545, and w(Al2O3) = 15%. The calculation results of the model and the objective function are compared with the actual production results, respectively. Because the error between the objective function and the actual result (1.2%) is lower than the error between the model calculation result and the actual result (2.4%), the result of the objective function is more accurate within the experimental range.
Author Contributions
Funding
Data Availability Statement
Acknowledgments
Conflicts of Interest
Appendix A
| TFe * | FeO | SiO2 | Al2O3 | CaO | MgO | MnO | FeS | P2O5 | H2O | CO2 | |
|---|---|---|---|---|---|---|---|---|---|---|---|
| Sinter | 51.45 | 18.18 | 7.76 | 3.00 | 13.70 | 3.74 | 0.12 | 0.09 | 0.11 | 0.00 | 0.00 |
| Pellet | 63.88 | 4.11 | 3.50 | 2.80 | 2.50 | 0.04 | 0.16 | 0.11 | 0.08 | 0.00 | 0.00 |
| Lump ore | 48.57 | 6.20 | 10.84 | 2.32 | 2.12 | 0.40 | 0.16 | 0.00 | 0.05 | 6.110 | 9.30 |
| C | Ash Content | Volatile Matter | Organic Matter | Free Water, % | |||||||||||||
|---|---|---|---|---|---|---|---|---|---|---|---|---|---|---|---|---|---|
| SiO2 | Al2O3 | CaO | MgO | FeO | FeS | MnO | CO2 | CO | CH4 | H2 | N2 | H2 | N2 | S | ∑ | ||
| 84.46 | 6.36 | 5.42 | 0.87 | 0.12 | 0.85 | 0.03 | 0.01 | 0.26 | 0.27 | 0.03 | 0.04 | 0.14 | 0.3 | 0.3 | 0.54 | 100 | 5.66 |
| C | H | O | N | S | H2O | SiO2 | Al2O3 | CaO | MgO | FeO | ∑ |
|---|---|---|---|---|---|---|---|---|---|---|---|
| 75.3 | 3.26 | 3.16 | 0.34 | 0.36 | 0.8 | 9.39 | 5.82 | 0.2 | 0.16 | 1.21 | 100 |
| T.Fe | FeO | SiO2 | Al2O3 | CaO | MgO | MnO | FeS | P2O5 | H2O | CO2 | |
|---|---|---|---|---|---|---|---|---|---|---|---|
| flux | 0.00 | 0.00 | 0.00 | 0.13 | 54.11 | 1.16 | 0.00 | 0.07 | 0.01 | 0.00 | 43.79 |
| Fe | Mn | P | S | |
|---|---|---|---|---|
| Hot metal | 0.9975 | 0.5 | 1 | |
| Slag | 0.0025 | 0.5 | 0 | |
| Gas | 0 | 0 | 0 | 0.05 |
References
- Yu, J.Y.; Xu, R.S.; Zhang, J.L.; Zheng, A.Y. A review on reduction technology of air pollutant in current China’s iron and steel industry. J. Clean. 2023, 414, 137659. [Google Scholar] [CrossRef]
- Li, Z.X.; Andersson, F.N.G.; Nilsson, L.J.; Åhman, M. Steel decarbonization in China—A top-down optimization model for exploring the first steps. J. Clean. 2023, 384, 135550. [Google Scholar] [CrossRef]
- Wang, G.; Xue, G.Q.; Wang, S.J. Effect of mixing charge of highly reactive semicoke nut on the reaction of high Al2O3 ferrous burden in blast furnace. Ironmak. Steelmak. 2019, 46, 477–484. [Google Scholar] [CrossRef]
- Talapaneni, T.; Yedla, N.; Sarkar, S. Study on desulfurization capacity of high alumina blast furnace slag at 1773K using slag−metal equilibrium technique. Metall. Res. Technol. 2018, 115, 8. [Google Scholar] [CrossRef]
- Wang, C.L.; Lu, Q.; Zhang, S.H.; Li, F.M. Study on sulphide capacity of CaO–SiO2–Al2O3–MgO–FetO slags. J. Univ. Sci. Technol. Beijing Miner. Met. Mater. 2006, 13, 213–217. [Google Scholar] [CrossRef]
- Wu, S.L.; Lu, Y.N.; Hong, Z.B.; Zhou, H. Improving the Softening and Melting Properties of Ferrous Burden with High Al2O3 Content for Blast Furnace by Ore Blending. ISIJ Int. 2020, 60, 1504–1511. [Google Scholar] [CrossRef]
- Pang, Z.D.; Lv, X.W.; Ling, J.W.; Jiang, Y.Y.; Yan, Z.M.; Dang, J. Blast Furnace Ironmaking Process with Super−High TiO2 in the Slag: Sulfide Capacity. Metall. Mater. Trans. B 2021, 29, 1170–1178. [Google Scholar] [CrossRef]
- Trinath, T.; Vatsala, C. Proposing a suitable slag composition by estimating the fusion behavior, viscosity and desulphurization ability for blast furnaces running with high alumina. Mater. Today Proc. 2022, 67, 558–565. [Google Scholar] [CrossRef]
- Lu, Y.; Ren, S.; Wang, X.Q.; Dong, L.Y.; Yang, J.F.; Liu, J.B. Effect of Al2O3, MgO and CaO/SiO2 on Viscosity of High Alumina Blast Furnace Slag. Steel Res. Int. 2016, 87, 241–249. [Google Scholar] [CrossRef]
- Wang, S.; Jiang, Y.; Guo, Y.F.; Yang, Z.; Chen, F.; Yang, L.Z.; Li, G. Effects of Basicity and Al2O3 Content on Viscosity and Crystallization Behavior of Super-High-Alumina Slag. Crystals 2022, 12, 851. [Google Scholar] [CrossRef]
- Kim, H.; Wan, H.K.; Sohn, I.; Dong, J.M. The Effect of MgO on the Viscosity of the CaO‒SiO2‒20wt%Al2O3‒MgO Slag System. Steel Res. Int. 2010, 81, 261–264. [Google Scholar] [CrossRef]
- Lv, X.W.; Yan, Z.M.; Pang, Z.D.; Bai, C.G.; Liang, D.; Xie, H. Effect of Al2O3 on physicochemical properties and structure of blast furnace slag: Reviewed. Iron Steel 2020, 55, 1–10. [Google Scholar] [CrossRef]
- Shen, F.M. Discussion on the smelting process of high Al2O3 content slag-based blast furnace. Angang Technol. 2005, 6, 1–4. [Google Scholar]
- Zheng, H.Z.; Liang, L.S.; Du, J.L.; Zhou, S.F.; Jiang, X.; Gao, Q.J.; Shen, F.M. Mineral Transform and Specific Heat Capacity Characterization of Blast Furnace Slag with High Al2O3 in Heating Process. Steel Res. Int. 2020, 92, 2000448. [Google Scholar] [CrossRef]
- Hu, A.G. China’s goal of achieving carbon peak by 2030 and its main approaches. J. Beijing Tech. Univ. Soc. Sci. 2021, 21, 1–15. [Google Scholar]
- Liu, Z.J.; Wang, J.B.; Zhang, J.L.; Wang, Y.Z.; Niu, L.L.; Zhu, W. Status of energy consumption and prospect of consumption reduction technology in blast furnace. J. Iron. Steel Res. 2023, 35, 1–10. [Google Scholar]
- Wang, X.D.; Qie, Y.N.; Lv, Q.; Wang, Y.F. Analysis and comparison of energy saving and emission reduction of blast furnace injection with different hydrogen-rich mediums. Iron Steel 2023, 58, 34–41. [Google Scholar]
- Szargut, J. Exergetic balance of metallurgical processes. Arch. Hut. 1961, 6, 23–60. [Google Scholar]
- Brauer, H.; Jeschar, R. The significance of exergy for the thermodynamic study of the blast‒furnace process. Arch. Eisenhuettenwesen 1963, 34, 9–16. [Google Scholar]
- Akiyama, T.; Yagi, J.I. Exergy analysis of conventional ironmaking, direct reduction‒electric furnace and smelting reduction systems. Tetsu Hagane 1988, 74, 2270–2277. [Google Scholar] [CrossRef][Green Version]
- Akiyama, T. Preface to the “Special Issue on Science and Technologies for the Effective Use of Unrecovered Energy in Steelworks”. ISIJ Int. 2010, 50, 1221–1228. [Google Scholar] [CrossRef]
- Akiyama, T.; Takahashi, R.; Yagi, J.I. Exergy evaluation on the pellets production and direct reduction processes for the fired and cement bonded pellets. Tetsu Hagane 1987, 73, 2108–2115. [Google Scholar] [CrossRef] [PubMed][Green Version]
- Liu, G.G.; Li, L.; Li, Z.J.; Fan, H.; Qin, J.; Qi, J.L. Exergy analysis of a 240 t/h gas fired boiler in a panzhihua steel company: Energy and thermal engineering branch of China metal society. In Proceedings of the 10th National Annual Conference on Energy and Thermal Engineering Energy and Thermal Engineering Branch of China Metal Society, Northeast University, Energy and Thermal Engineering Branch of China Metal Society, Dalian, China, 8–10 July 2019; pp. 170–176.
- Min, Y.; Zhang, Q.; Jiang, M.F.; Huang, J.; Zhang, D. Exergy analysis of LF refining process. Ind. Heat. 2008, 37, 49. [Google Scholar]
- Wang, Y.; Zhao, X.; Xu, J.; Zhang, Q. Energy and exergy analyses of an integrated iron and steel making process. Int. J. Exergy 2018, 26, 454. [Google Scholar] [CrossRef]
- Guo, J.; Chu, M.S.; Tang, J.; Li, F.; Liu, Z.G.; Bao, J.W. Exergy Analysis of Iron Coke Used in Blast Furnace. Iron Steel 2022, 57, 30–38. [Google Scholar]
- Qiu, Z.Y.; Yue, Q.; Yan, T.Y.; Wang, Q.; Sun, J.C.; Yuan, Y.X.; Che, Z.C.; Wang, Y.S.; Du, T. Gas utilization optimization and exergy analysis of hydrogen metallurgical shaft furnace. Energy 2023, 263, 125847. [Google Scholar] [CrossRef]
- Sun, J.C.; Na, H.M.; Yan, T.Y.; Qiu, Z.Y.; Yuan, Y.X.; He, J.F.; Li, Y.N.; Wang, Y.S.; Du, T. A comprehensive assessment on material, exergy and emission networks for the integrated iron and steel industry. Energy 2021, 235, 121429. [Google Scholar] [CrossRef]
- GB/T14909‒2021; Technical Guidelines for Exergy Analysis in Energy Systems. National Energy Foundation and Management Standardization Technical Committee: Washington, DC, USA, 2021.
- Shen, F.M.; Jiang, X.; Gao, Q.J.; Zheng, H.Y. Theoretical Basis for Suitable Magnesium Aluminum Ratio of Blast Furnace Slag. Ironmaking 2019, 38, 17–21. [Google Scholar]
- Hu, Y.P. Effect of Al2O3 on Metallurgical Properties of Blast Furnace Slag and Viscosity Prediction Model. Master’s Thesis, Northeast University, Shenyang, China, 2017. [Google Scholar]
- Guo, T.L. Basic Research on a New Low Carbon Iron Making Process by Injecting Coke Oven Gas into Blast Furnace. Ph.D. Thesis, Northeast University, Shenyang, China, 2015. [Google Scholar]









| Exergy Analysis Model | Implication | Characteristics | ||
|---|---|---|---|---|
| Calculate Complexity | Analysis Accuracy | Data Acquisition | ||
| Black box exergy analysis model | The structure of the model is simple: macro-analysis system energy consumption. | Simple | Fuzzy | Easy to obtain, but not accurate |
| Gray box exergy analysis model | An analysis model between the black box analysis model and the white box analysis model, which can analyze the system energy consumption in detail. | Relatively complex | Relatively accurate | Easy to obtain and relatively accurate |
| White box exergy analysis model | The structure is complex, and the energy consumption of each part in the system is analyzed in detail. | Complex | Accurate | Difficulty in obtaining |
| Calculation Method | No. |
|---|---|
| Chemical exergy of fuel (MJ) | |
| (1) | |
| Physical exergy of blast (MJ) | |
| (2) | |
| Chemical exergy of blast (MJ) | |
| (3) | |
| Chemical exergy of iron ore (MJ) | |
| (4) | |
| Chemical exergy of flux (MJ) | |
| (5) | |
| Physical exergy of hot metal (MJ) | |
| (6) | |
| Chemical exergy of hot metal (MJ) | |
| (7) | |
| Physical exergy of slag (MJ) | |
| (8) | |
| Chemical exergy of slag (MJ) | |
| (9) | |
| Physical exergy of dry gas (MJ) | |
| (10) | |
| Chemical exergy of dry gas (MJ) | |
| (11) | |
| Physical exergy of water in gas (MJ) | |
| (12) | |
| Chemical exergy of water in gas (MJ) | |
| (13) | |
| Exergy loss of chemical reaction (MJ) | |
| (14) | |
| Exergy loss during heat transfer (MJ) | |
| (15) | |
| Exergy loss of pressure and mixing process (MJ) | |
| (16) | |
| Exergy efficiency (%) | |
| (17) |
| Variable | Definition | Unit |
|---|---|---|
| Ex, ch, i | Chemical exergy of i (i = fuel, blast, iron ore, flux, hot metal (HM), slag, dry gas, and water in gas) | MJ |
| Ex, ph, i | Physical exergy of i (i = fuel, blast, iron ore, flux, hot metal (HM), slag, dry gas, and water in gas) | MJ |
| Ex, ch, i, j | Chemical exergy of each component (j) in i (i = blast, iron ore, flux, hot metal (HM), slag, dry gas, and water in gas) (j = each component in i) | MJ |
| xi, j | Molar composition of each component (j) in i (i = blast, iron ore, flux, hot metal (HM), slag, dry gas, and water in gas) (j = each component in i) | % |
| Vg | Volume of gas | m³ |
| Specific heat capacity of i (i = blast, hot metal, slag, dry gas, and water in gas) | MJ·kg−1·K−1 | |
| Ti | Temperature of i (i = blast, hot metal, slag, dry gas, and water in gas) | K |
| T0 | Temperature of reference state | K |
| p0 | Pressure of reference state | Pa |
| Tc, i | Phase transition temperature of i (i = hot metal, slag, and water in gas) | K |
| mi | Mass of i(i = blast, hot metal, slag, fuel, dry gas, and water in gas) | kg |
| vi | Velocity of i (i = blast and gas) | m·s−1 |
| ni | Mole of i (i = blast and dry gas) | mol |
| pi | Pressure of gas i (i = blast, dry gas; position: furnace top and hearth) | Pa |
| Qlow | Standard low calorific value of fuel | MJ·kg−1 |
| w | Mass fraction of water in fuel | % |
| r | Gasification latent heat of water: the heat for water to change from a liquid to a gaseous state | MJ·kg−1 |
| ∆H | Melting heat during slag melting | MJ·kg−1 |
| ∆S | Entropy changes of chemical reaction | kJ·mol−1 |
| ξi | The reaction limit of reaction i | mol |
| Qtans | Heat Transfer Quantity | MJ |
| TL | Low temperature | K |
| TH | High temperature | K |
| Etotal | Total exergy input | MJ |
| Exl,i | Exergy loss of i (i = chemical reaction, heat transfer, pressure, and mixing process) | MJ |
| η | Exergy efficiency | % |
| Parameter | Calculation Conditions | |
|---|---|---|
| Fuel ratio * | Coke ratio | 310 kg |
| Coal ratio | 180 kg | |
| Blast | Pressure | 0.4 MPa |
| Humidity | 1.55% | |
| Temperature | 1373 K | |
| Furnace top | Temperature | 473.15 K |
| Pressure | 0.25 MPa | |
| Variable | Unit | Definition | Variable | Unit | Definition |
|---|---|---|---|---|---|
| kg | Consumption of sinter | % | Content of S in hot metal | ||
| kg | Consumption of pellet | % | Content of Si in hot metal | ||
| kg | Consumption of lump ore | % | Content of P in hot metal | ||
| kg | Consumption of coke | % | Content of Mn in hot metal | ||
| kg | Consumption of coal | % | Content of C in hot metal | ||
| m³ | Blast volume | kg | Quantity of slag | ||
| m³ | Gas volume | kg | Amount of flux A | ||
| % | Content of Fe in hot metal | kg | Amount of flux B |
| Input | Output | ||||
|---|---|---|---|---|---|
| Parameter | Quantity (kg) | Percent (%) | Parameter | Quantity (kg) | Percent (%) |
| Ore | 1825.82 | 47.34 | Hot metal | 1000.00 | 25.94 |
| Coke | 338.46 | 8.78 | Slag | 518.47 | 13.44 |
| Coal | 180.00 | 4.67 | Gas | 2307.30 | 59.84 |
| Flux | 198.40 | 5.14 | Dust | 29.90 | 0.78 |
| Blast | 1314.24 | 34.07 | ∑ | 3855.67 | 100.00 |
| ∑ | 3856.92 | 100.00 | |||
| Parameter | Definition | Constraint Condition |
|---|---|---|
| Product composition constraints | Constraints on hot metal composition | |
| Constraints on Si content in hot metal | ||
| Constraints on coal injection volume |
| Parameter | Constraint Condition |
|---|---|
| R constraint | |
| w(MgO)/w(Al2O3) constraint | |
| w(Al2O3) constraint | |
| Fe | |
| C | |
| P | |
| S | |
| Mn | |
| Slag balance constraint | |
| Blast balance constraint | |
| Gas balance constraint | |
| Material balance constraint |
Disclaimer/Publisher’s Note: The statements, opinions and data contained in all publications are solely those of the individual author(s) and contributor(s) and not of MDPI and/or the editor(s). MDPI and/or the editor(s) disclaim responsibility for any injury to people or property resulting from any ideas, methods, instructions or products referred to in the content. |
© 2024 by the authors. Licensee MDPI, Basel, Switzerland. This article is an open access article distributed under the terms and conditions of the Creative Commons Attribution (CC BY) license (https://creativecommons.org/licenses/by/4.0/).
Share and Cite
Wang, Z.; Zheng, H.; Zhang, Y.; Ge, L. Optimization of High-Alumina Blast Furnace Slag Based on Exergy Analysis. Metals 2024, 14, 465. https://doi.org/10.3390/met14040465
Wang Z, Zheng H, Zhang Y, Ge L. Optimization of High-Alumina Blast Furnace Slag Based on Exergy Analysis. Metals. 2024; 14(4):465. https://doi.org/10.3390/met14040465
Chicago/Turabian StyleWang, Zhen, Haiyan Zheng, Yan Zhang, and Liang Ge. 2024. "Optimization of High-Alumina Blast Furnace Slag Based on Exergy Analysis" Metals 14, no. 4: 465. https://doi.org/10.3390/met14040465
APA StyleWang, Z., Zheng, H., Zhang, Y., & Ge, L. (2024). Optimization of High-Alumina Blast Furnace Slag Based on Exergy Analysis. Metals, 14(4), 465. https://doi.org/10.3390/met14040465

