Numerical Simulation and Experimental Verification of the Quenching Process for Ti Microalloying H13 Steel Used to Shield Machine Cutter Rings
Abstract
1. Introduction
2. Database Establishment, Numerical Procedure, Simulation Control
2.1. Database Establishment of H13-Ti Steel
2.2. Numerical Procedure
2.2.1. Determination of Temperature Distribution
2.2.2. Phase Transformation Kinetics
2.2.3. Determination of Stress and Strain Field
2.3. Simulation and Experiment Process
3. Results and Discussion

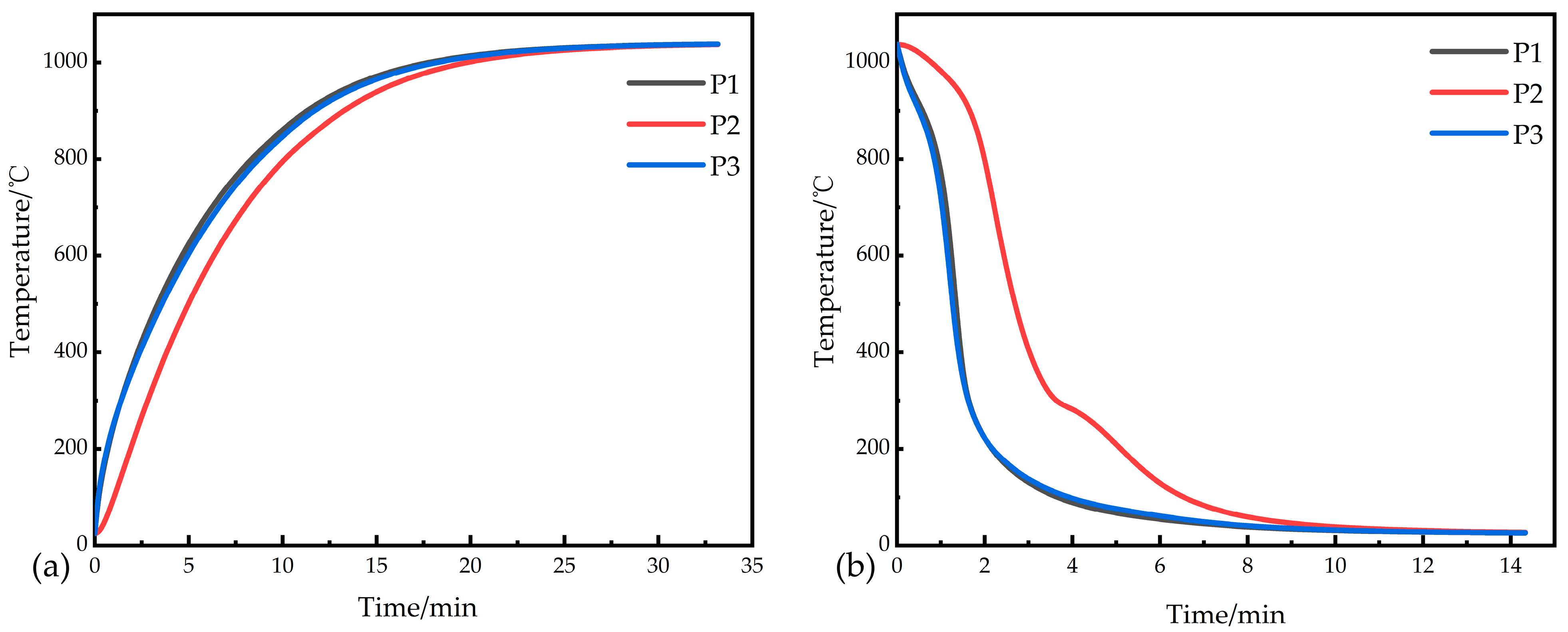
3.1. Temperature and Structure Field
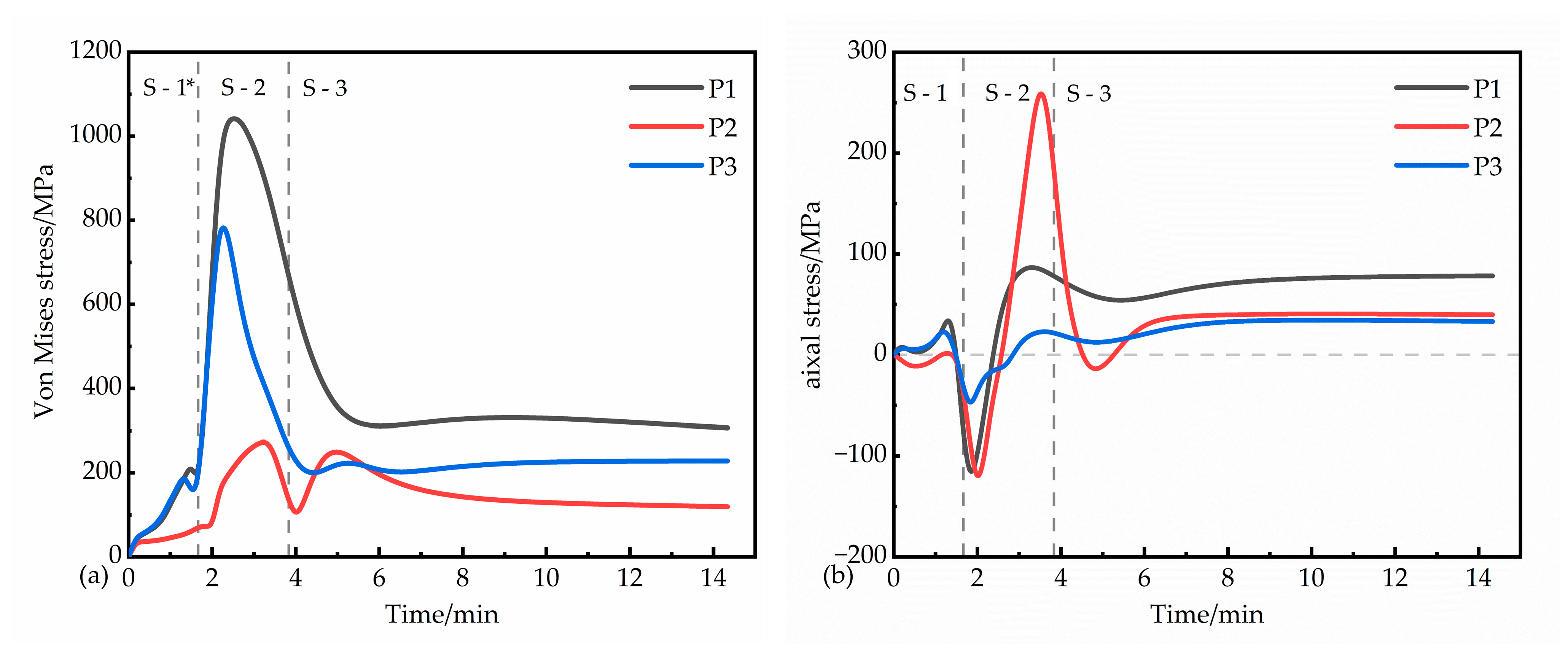
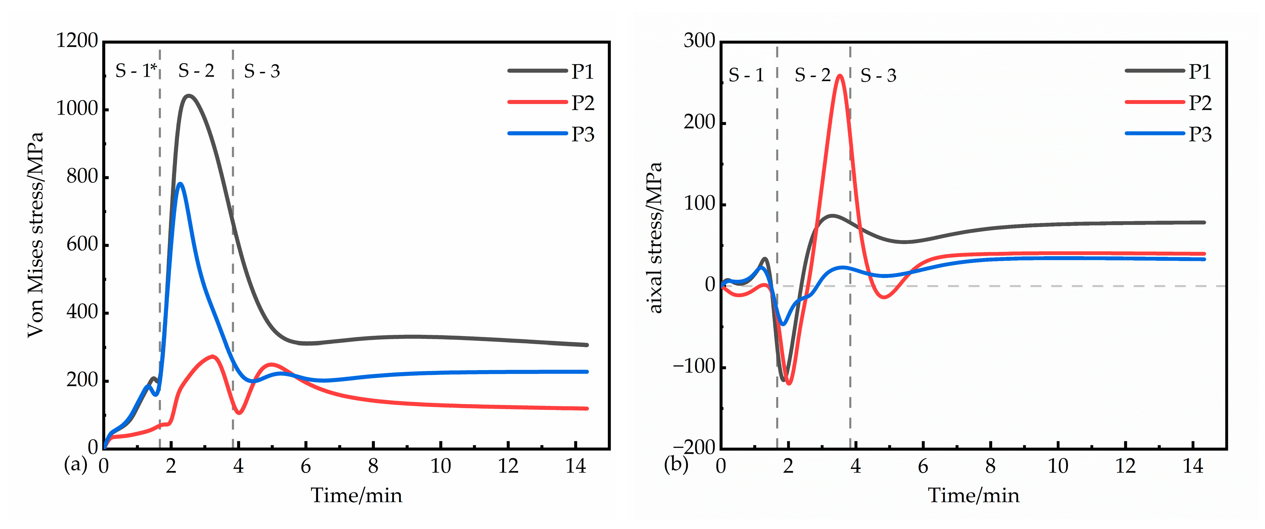
3.2. Stress and Displacement Amount Analysis
3.3. Experimental Verification
4. Conclusions
Author Contributions
Funding
Institutional Review Board Statement
Informed Consent Statement
Data Availability Statement
Conflicts of Interest
References
- Tikhe, O.; Doiphode, P.; Nichul, U.; Singh, R.; Hiwarkar, V. Development of Optimized Mechanical Properties of AISI 4340 Steel: Role of Quenching and Partitioning Process. Met. Mater. Int. 2023, 29, 2216–2227. [Google Scholar] [CrossRef]
- da Silva, A.D.; Pedrosa, T.A.; Gonzalez-Mendez, J.L.; Jiang, X.; Cetlin, P.R.; Altan, T. Distortion in quenching an AISI 4140 C-ring—Predictions and experiments. Mater. Des. 2012, 42, 55–61. [Google Scholar] [CrossRef]
- Nallathambi, A.K.; Kaymak, Y.; Specht, E.; Bertram, A. Sensitivity of material properties on distortion and residual stresses during metal quenching processes. J. Mater. Process. Technol. 2010, 210, 204–211. [Google Scholar] [CrossRef]
- Grum, J.; Božič, S.; Zupančič, M. Influence of quenching process parameters on residual stresses in steel. J. Mater. Process. Technol. 2001, 114, 57–70. [Google Scholar] [CrossRef]
- Samuel, A.; Prabhu, K.N. Residual Stress and Distortion during Quench Hardening of Steels: A Review. J. Mater. Eng. Perform. 2022, 31, 5161–5188. [Google Scholar] [CrossRef]
- Wang, R.; Jiang, H.; Shao, W.; Yang, S.; Sun, X.; Cao, J.; Zhen, L. Quenching induced residue stress in M50 steel ring: A FEM simulation. J. Mater. Res. Technol. 2023, 24, 5298–5308. [Google Scholar] [CrossRef]
- Lopez, R.; Garcia-Pastor, F.; Maldonado-Reyes, A.; Jimémez-Gómez, M.A.; Rodríguez-García, J.A. Analysis of the effect of immersion rate on the distortion and residual stresses in quenched SAE 5160 steel using FEM. J. Mater. Res. Technol. 2019, 8, 5557–5571. [Google Scholar] [CrossRef]
- Brzoza, M.; Kaymak, Y.; Specht, E.; Bertram, A. Simulation of the Distortion of Long Steel Profiles during Cooling. J. Appl. Mech. 2007, 74, 427–437. [Google Scholar] [CrossRef]
- Gür, C.H.; Tekkaya, A.E. Numerical investigation of non-homogeneous plastic deformation in quenching process. Mater. Sci. Eng. A 2001, 319–321, 164–169. [Google Scholar] [CrossRef]
- Wang, S.; Gao, Z.; Wu, G.; Mao, X. Titanium microalloying of steel: A review of its effects on processing, microstructure and mechanical properties. Int. J. Miner. Metall. Mater. 2022, 29, 645–661. [Google Scholar] [CrossRef]
- An, X.; Tian, Y.; Wang, H.; Shen, Y.; Wang, Z. Suppression of Austenite Grain Coarsening by Using Nb–Ti Microalloying in High Temperature Carburizing of a Gear Steel. Adv. Eng. Mater. 2019, 21, 1900132. [Google Scholar] [CrossRef]
- Ray, A.; Bhadeshia, H.K.D.H. Niobium in Microalloyed Rail Steels. In HSLA Steels 2015, Microalloying 2015 & Offshore Engineering Steels 2015; Springer: Cham, Switzerland, 2016; pp. 33–39. [Google Scholar]
- Sun, L.-y.; Liu, X.; Xu, X.; Lei, S.-w.; Li, H.-g.; Zhai, Q.-j. Review on niobium application in microalloyed steel. J. Iron. Steel Res. Int. 2022, 29, 1513–1525. [Google Scholar] [CrossRef]
- Dong, F.; Venezuela, J.; Li, H.; Shi, Z.; Zhou, Q.; Chen, L.; Chen, J.; Du, L.; Atrens, A. Effect of vanadium and rare earth microalloying on the hydrogen embrittlement susceptibility of a Fe-18Mn-0.6C TWIP steel studied using the linearly increasing stress test. Corros. Sci. 2021, 185, 109440. [Google Scholar] [CrossRef]
- Wang, J.-f.; Wang, L.-z.; Chen, C.-y.; Wang, X.; Zhao, F. Effect of rare earth on primary carbides in H13 die steel and their addition method: A review. J. Iron. Steel Res. Int. 2024. [Google Scholar] [CrossRef]
- Chen, Y.; Ye, C.; Chen, X.; Zhai, Q.; Hu, H. Effect of Alloying and Microalloying Elements on Carbides of High-Speed Steel: An Overview. Metals 2024, 14, 175. [Google Scholar] [CrossRef]
- Chen, R.; Wang, Z.; He, J.; Zhu, F.; Li, C. Effects of Rare Earth Elements on Microstructure and Mechanical Properties of H13 Die Steel. Metals 2020, 10, 918. [Google Scholar] [CrossRef]
- Jiang, Z.; Wang, P.; Li, D.; Li, Y. Effects of rare earth on microstructure and impact toughness of low alloy Cr-Mo-V steels for hydrogenation reactor vessels. J. Mater. Sci. Technol. 2020, 45, 1–14. [Google Scholar] [CrossRef]
- Zhu, J.; Lin, G.T.; Zhang, Z.H.; Xie, J.X. The martensitic crystallography and strengthening mechanisms of ultra-high strength rare earth H13 steel. Mater. Sci. Eng. A 2020, 797, 140139. [Google Scholar] [CrossRef]
- Saunders, N.; Guo, U.K.Z.; Li, X.; Miodownik, A.P.; Schillé, J.P. Using JMatPro to model materials properties and behavior. JOM 2003, 55, 60–65. [Google Scholar] [CrossRef]
- Ma, Q.; Li, X.; Xin, R.; Liu, E.; Gao, Q.; Sun, L.; Zhang, X.; Zhang, C. Thermodynamic calculation and machine learning aided composition design of new nickel-based superalloys. J. Mater. Res. Technol. 2023, 26, 4168–4178. [Google Scholar] [CrossRef]
- Wang, J.; Li, X.; Yi, K.; Elmi, S.A. Research on the Temperature and Thermal Stress of the Roll Quenching Process of Thin Plates. Metals 2024, 14, 83. [Google Scholar] [CrossRef]
- Kaoumi, D.; Liu, J. Deformation induced martensitic transformation in 304 austenitic stainless steel: In-situ vs. ex-situ transmission electron microscopy characterization. Mater. Sci. Eng. A 2018, 715, 73–82. [Google Scholar] [CrossRef]
- Simsir, C.; Gür, C.H. Simulation of Quenching. In Handbook of Thermal Process Modeling of Steels; Routledge: Abingdon, UK, 2009; pp. 341–425. [Google Scholar]
- Sugianto, A.; Narazaki, M.; Kogawara, M.; Shirayori, A.; Kim, S.-Y.; Kubota, S. Numerical simulation and experimental verification of carburizing-quenching process of SCr420H steel helical gear. J. Mater. Process. Technol. 2009, 209, 3597–3609. [Google Scholar] [CrossRef]
- Li, H.; Zhao, G.; Huang, C.; Niu, S. Technological parameters evaluation of gas quenching based on the finite element method. Comput. Mater. Sci. 2007, 40, 282–291. [Google Scholar] [CrossRef]
- Kang, S.-H.; Im, Y.-T. Three-dimensional thermo-elastic–plastic finite element modeling of quenching process of plain-carbon steel in couple with phase transformation. Int. J. Mech. Sci. 2007, 49, 423–439. [Google Scholar] [CrossRef]
- Cahn, J.W. Transformation kinetics during continuous cooling. Acta Metall. 1956, 4, 572–575. [Google Scholar] [CrossRef]
- Çetinel, H.; Toparlι, M.; Özsoyeller, L. A finite element based prediction of the microstructural evolution of steels subjected to the Tempcore process. Mech. Mater. 2000, 32, 339–347. [Google Scholar] [CrossRef]
- Reti, T.; Fried, Z.; Felde, I. Computer simulation of steel quenching process using a multi-phase transformation model. Comput. Mater. Sci. 2001, 22, 261–278. [Google Scholar] [CrossRef]
- Koistinen, D.P.; Marburger, R.E. A general equation prescribing the extent of the austenite-martensite transformation in pure iron-carbon alloys and plain carbon steels. Acta Metall. 1959, 7, 59–60. [Google Scholar] [CrossRef]
- Fluhrer, J. DEFORMIM-3D Version 5.0 User’s Manual; Corporation SFT, Ed.; Corporation SFT: Columbus, OH, USA, 2005. [Google Scholar]
- Wang, S.; Yang, B.; Zhang, M.; Wu, H.; Peng, J.; Gao, Y. Numerical simulation and experimental verification of microstructure evolution in large forged pipe used for AP1000 nuclear power plants. Ann. Nucl. Energy 2016, 87, 176–185. [Google Scholar] [CrossRef]
- Qian, D.; Pan, Y. 3D coupled macro–microscopic finite element modelling and simulation for combined blank-forging and rolling process of alloy steel large ring. Comput. Mater. Sci. 2013, 70, 24–36. [Google Scholar] [CrossRef]
- Esfahani, A.K.; Babaei, M.; Sarrami-Foroushani, S. A numerical model coupling phase transformation to predict microstructure evolution and residual stress during quenching of 1045 steel. Math. Comput. Simul. 2021, 179, 1–22. [Google Scholar] [CrossRef]










| C | Cr | Mo | Si | V | Mn | S | Ti | Fe |
|---|---|---|---|---|---|---|---|---|
| 0.42 | 4.96 | 1.23 | 0.96 | 0.99 | 0.43 | <0.003 | 0.13 | Bal. |
Disclaimer/Publisher’s Note: The statements, opinions and data contained in all publications are solely those of the individual author(s) and contributor(s) and not of MDPI and/or the editor(s). MDPI and/or the editor(s) disclaim responsibility for any injury to people or property resulting from any ideas, methods, instructions or products referred to in the content. |
© 2024 by the authors. Licensee MDPI, Basel, Switzerland. This article is an open access article distributed under the terms and conditions of the Creative Commons Attribution (CC BY) license (https://creativecommons.org/licenses/by/4.0/).
Share and Cite
Feng, X.; Wang, Y.; Han, J.; Li, Z.; Jiang, L.; Yang, B. Numerical Simulation and Experimental Verification of the Quenching Process for Ti Microalloying H13 Steel Used to Shield Machine Cutter Rings. Metals 2024, 14, 313. https://doi.org/10.3390/met14030313
Feng X, Wang Y, Han J, Li Z, Jiang L, Yang B. Numerical Simulation and Experimental Verification of the Quenching Process for Ti Microalloying H13 Steel Used to Shield Machine Cutter Rings. Metals. 2024; 14(3):313. https://doi.org/10.3390/met14030313
Chicago/Turabian StyleFeng, Xingwang, Yunxin Wang, Jinxin Han, Zhipeng Li, Likun Jiang, and Bin Yang. 2024. "Numerical Simulation and Experimental Verification of the Quenching Process for Ti Microalloying H13 Steel Used to Shield Machine Cutter Rings" Metals 14, no. 3: 313. https://doi.org/10.3390/met14030313
APA StyleFeng, X., Wang, Y., Han, J., Li, Z., Jiang, L., & Yang, B. (2024). Numerical Simulation and Experimental Verification of the Quenching Process for Ti Microalloying H13 Steel Used to Shield Machine Cutter Rings. Metals, 14(3), 313. https://doi.org/10.3390/met14030313
