Effects of Fe Contents on the Microstructure and Precipitate of Ti–Al–V Alloys Prepared by Direct Energy Deposition
Abstract
1. Introduction
2. Experimental Details
| Laser Power (W) | Scan Speed (mm/s) | Thickness of the Layer (mm) | Hatch (mm) | Volumetric Energy Density (J/mm3) |
|---|---|---|---|---|
| 800 | 11.67 | 0.40 | 1.30 | 131 |

3. Results and Discussion
3.1. Effects of Fe on the α/β-Ti Phases
3.2. Effects of Fe on Precipitates
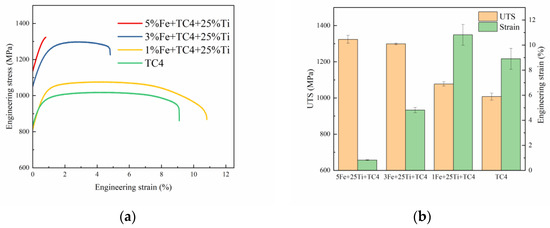
3.3. Mechanical Properties
| Material Type | (MPa) | (%) | Ref. |
|---|---|---|---|
| 5Fe + TC4 + 25Ti | 1323.75 ± 21.74 | 0.81 ± 0.02 | This work |
| 3Fe + TC4 + 25Ti | 1298.64 ± 5.26 | 4.82 ± 0.20 | This work |
| 1Fe + TC4 + 25Ti | 1076.95 ± 11.69 | 10.82 ± 0.82 | This work |
| TC4 | 1007.41 ± 19.43 | 8.91 ± 0.84 | This work |
| TC4 | 910.90 | 6.40 | [7] |
| Ti-4Fe | 1104.00 ± 58 | - | [13] |
| Ti6Al4V3Ni0.05B | 1230.00 | 6.97 | [9] |
| Samples | (MPa) | (MPa) | (MPa) | (MPa) |
|---|---|---|---|---|
| 5Fe + TC4 + 25Ti | 314.83 | 0.44 | 10.38 | 325.65 |
| 3Fe + TC4 + 25Ti | 255.50 | 2.14 | 9.84 | 267.48 |
| 1Fe + TC4 + 25Ti | 101.68 | 1.03 | 9.26 | 111.97 |
4. Conclusions
- The addition of Fe can significantly promote the preservation of the β-Ti phase and reduce the size of the α-Ti phase. The refinement of the microstructure makes a major contribution to the improvement in the sample’s strength. However, the effect will be weakened with an increase in the Fe content above 3 wt%.
- With low volumetric energy density, the incorporation of Fe elements facilitates the formation of shearable triclinic Ti precipitates in DED alloys, thereby enabling the achievement of an optimal balance between strength and ductility.
- The 1Fe + TC4 + 25Ti alloy obtained by utilizing commercially available Fe powder exhibited improved strength (UTS = 1076.95 ± 11.69 MPa) and ductility (elongation = 10.82% ± 0.82%) compared with the traditional TC4 alloy prepared by DED. This was attributed to the synergistic effect of refining the α-Ti phase’s structure and precipitating shearable triclinic Ti induced by the addition of Fe.
Author Contributions
Funding
Data Availability Statement
Conflicts of Interest
References
- Lin, Z.; Song, K.; Yu, X. A review on wire and arc additive manufacturing of titanium alloy. J. Manuf. Process. 2021, 70, 24–45. [Google Scholar] [CrossRef]
- Gupta, A.; Khatirkar, R.; Singh, J. A review of microstructure and texture evolution during plastic deformation and heat treatment of β-Ti alloys. J. Alloys Compd. 2022, 899, 163242. [Google Scholar] [CrossRef]
- Sieniawski, J.; Ziaja, W.; Kubiak, K.; Motyk, M. Microstructure and Mechanical Properties of High Strength Two-Phase Titanium Alloys. In Titanium Alloys—Advances in Properties Control; Sieniawski, J., Ed.; IntechOpen: London, UK, 2013; ISBN 978-953-51-1110-8. [Google Scholar]
- Zhao, Q.; Sun, Q.; Xin, S.; Chen, Y.; Wu, C.; Wang, H.; Xu, J.; Wan, M.; Zeng, W.; Zhao, Y. High-strength titanium alloys for aerospace engineering applications: A review on melting-forging process. Mater. Sci. Eng. A 2022, 845, 143260. [Google Scholar] [CrossRef]
- Weng, F.; Chen, C.; Yu, H. Research status of laser cladding on titanium and its alloys: A review. Mater. Des. 2014, 58, 412–425. [Google Scholar] [CrossRef]
- Zhang, T.; Huang, Z.; Yang, T.; Kong, H.; Luan, J.; Wang, A.; Wang, D.; Kuo, W.; Wang, Y.; Liu, C.-T. In situ design of advanced titanium alloy with concentration modulations by additive manufacturing. Science 2021, 374, 478–482. [Google Scholar] [CrossRef]
- Alcisto, J.; Enriquez, A.; Garcia, H.; Hinkson, S.; Steelman, T.; Silverman, E.; Valdovino, P.; Gigerenzer, H.; Foyos, J.; Ogren, J.; et al. Tensile Properties and Microstructures of Laser-Formed Ti-6Al-4V. J. Mater. Eng. Perform. 2010, 20, 203–212. [Google Scholar] [CrossRef]
- Shipley, H.; McDonnell, D.; Culleton, M.; Coull, R.; Lupoi, R.; O’Donnell, G.; Trimble, D. Optimisation of process parameters to address fundamental challenges during selective laser melting of Ti-6Al-4V: A review. Int. J. Mach. Tools Manuf. 2018, 128, 1–20. [Google Scholar] [CrossRef]
- Xue, A.; Lin, X.; Wang, L.; Lu, X.; Yuan, L.; Ding, H.; Huang, W. Achieving fully-equiaxed fine β-grains in titanium alloy produced by additive manufacturing. Mater. Res. Lett. 2022, 11, 60–68. [Google Scholar] [CrossRef]
- Ahmadi, M.; Tabary, S.B.; Rahmatabadi, D.; Ebrahimi, M.; Abrinia, K.; Hashemi, R. Review of selective laser melting of magnesium alloys: Advantages, microstructure and mechanical characterizations, defects, challenges, and applications. J. Mater. Res. Technol. 2022, 19, 1537–1562. [Google Scholar] [CrossRef]
- Wu, D.; Zhang, L.-G.; Liu, L.-B.; Bai, W.-M.; Zeng, L.-J. Effect of Fe content on microstructures and properties of Ti6Al4V alloy with combinatorial approach. Trans. Nonferrous Met. Soc. China 2018, 28, 1714–1723. [Google Scholar] [CrossRef]
- Azami, M.; Siahsarani, A.; Hadian, A.; Kazemi, Z.; Rahmatabadi, D.; Kashani-Bozorg, S.F.; Abrinia, K. Laser powder bed fusion of Alumina/Fe–Ni ceramic matrix particulate composites impregnated with a polymeric resin. J. Mater. Res. Technol. 2023, 24, 3133–3144. [Google Scholar] [CrossRef]
- Huang, S.; Zhao, Q.; Wu, C.; Lin, C.; Zhao, Y.; Jia, W.; Mao, C. Effects of β-stabilizer elements on microstructure formation and mechanical properties of titanium alloys. J. Alloys Compd. 2021, 876, 160085. [Google Scholar] [CrossRef]
- Welk, B.A.; Taylor, N.; Kloenne, Z.; Chaput, K.J.; Fox, S.; Fraser, H.L. Use of Alloying to Effect an Equiaxed Microstructure in Additive Manufacturing and Subsequent Heat Treatment of High-Strength Titanium Alloys. Met. Mater. Trans. A 2021, 52, 5367–5380. [Google Scholar] [CrossRef]
- Wang, X.; Zhang, L.-J.; Ning, J.; Li, S.; Zhang, L.-L.; Long, J.; Ma, W. Fe element promotes the transformation from columnar to equiaxed grains and the formation of ultrafine microstructure of Ti-6Al-4V alloy by laser wire deposition. Addit. Manuf. 2021, 48, 102442. [Google Scholar] [CrossRef]
- Song, T.; Chen, Z.; Cui, X.; Lu, S.; Chen, H.; Wang, H.; Dong, T.; Qin, B.; Chan, K.C.; Brandt, M.; et al. Strong and ductile titanium-oxygen-iron alloys by additive manufacturing. Nature 2023, 618, 63–68. [Google Scholar] [CrossRef]
- Narayana, P.L.; Lee, S.; Choi, S.-W.; Li, C.-L.; Park, C.H.; Yeom, J.-T.; Reddy, N.S.; Hong, J.-K. Microstructural response of β-stabilized Ti–6Al–4V manufactured by direct energy deposition. J. Alloys Compd. 2019, 811, 152021. [Google Scholar] [CrossRef]
- Zhang, J.; Liu, Y.; Sha, G.; Jin, S.; Hou, Z.; Bayat, M.; Yang, N.; Tan, Q.; Yin, Y.; Liu, S.; et al. Designing against phase and property heterogeneities in additively manufactured titanium alloys. Nat. Commun. 2022, 13, 4660. [Google Scholar] [CrossRef]
- Chen, M.; Van Petegem, S.; Zou, Z.; Simonelli, M.; Tse, Y.Y.; Chang, C.S.T.; Makowska, M.G.; Sanchez, D.F.; Swygenhoven, H.M.-V. Microstructural engineering of a dual-phase Ti-Al-V-Fe alloy via in situ alloying during laser powder bed fusion. Addit. Manuf. 2022, 59, 103173. [Google Scholar] [CrossRef]
- Wang, H.; Yu, C.; Yu, Z.; Huang, Y.; Zhang, X.; Mei, L.; Chen, J.; Wang, Y.; Lu, H.; Xu, J. Revealing the evolution of microstructure and mechanical properties with energy density to achieve high-strength Ti-6wt%Cu alloy by laser metal deposition. Mater. Sci. Eng. A 2023, 885, 145599. [Google Scholar] [CrossRef]
- Dobromyslov, A.V.; Elkin, V.A. The orthorhombic α″-phase in binary titanium-base alloys with d-metals of V–VIII groups. Mater. Sci. Eng. A 2006, 438–440, 324–326. [Google Scholar] [CrossRef]
- Jiang, X.J.; Jing, R.; Ma, M.Z.; Liu, R.P. The orthorhombic α″ martensite transformation during water quenching and its influence on mechanical properties of Ti-41Zr-7.3Al alloy. Intermetallics 2014, 52, 32–35. [Google Scholar] [CrossRef]
- Li, X.; Wang, Q.; Fan, J.; Wang, Y.; Zhang, Z.; Wang, J. Shock-induced α" martensitic transformation in Nb single crystals. Mater. Sci. Eng. A 2022, 846, 143274. [Google Scholar] [CrossRef]
- Li, S.; Wang, X.; Wei, Z.; Han, Y.; Shi, H.; Le, J.; Huang, G.; Zhang, D.; Lu, W. Simultaneously improving the strength and ductility of the assintered (TiB+La2O3)/Ti composites by in-situ planting ultra-fine networks into the composite powder. Scr. Mater. 2022, 218, 114835. [Google Scholar] [CrossRef]
- Liu, C.; Jin, K.-H.; Ye, J.; Gao, X.; Wei, X.; Zhang, Z.; Peng, H.-X. Additive manufacturing of (TiB+TiC)/Ti6Al4V composites with tailored network reinforcement architecture. Compos. Commun. 2023, 40, 101611. [Google Scholar] [CrossRef]
- Liu, S.; Wang, Y.; Muthuramalingam, T.; Anbuchezhiyan, G. Effect of B4C and MOS2 reinforcement on micro structure and wear properties of aluminum hybrid composite for automotive applications. Compos. Part B Eng. 2019, 176, 107329. [Google Scholar] [CrossRef]
- Zhou, W.; Sahara, R.; Tsuchiya, K. First-principles study of the phase stability and elastic properties of Ti-X alloys (X = Mo, Nb, Al, Sn, Zr, Fe, Co, and O). J. Alloys Compd. 2017, 727, 579–595. [Google Scholar] [CrossRef]
- Sibum, H. Titanium and titanium alloys—From raw material to semi-finished products. Adv. Eng. Mater. 2003, 5, 393–398. [Google Scholar] [CrossRef]
- Pang, X.; Xiong, Z.; Sun, J.; Li, Z. Enhanced strength-ductility synergy in laser additive manufactured TC4 titanium alloy by grain refinement. Mater. Lett. 2022, 326, 132949. [Google Scholar] [CrossRef]
- Simonelli, M.; McCartney, D.G.; Barriobero-Vila, P.; Aboulkhair, N.T.; Tse, Y.Y.; Clare, A.; Hague, R. The Influence of Iron in Minimizing the Microstructural Anisotropy of Ti-6Al-4V Produced by Laser Powder-Bed Fusion. Met. Mater. Trans. A 2020, 51, 2444–2459. [Google Scholar] [CrossRef]
- Pang, H.; Liu, Y.; Luo, J.; Li, C.; Li, H. Phase/grain boundary assisted-3D static globularization mechanism of TC17 alloy based on the microstructure reconstruction and in-situ TEM observation. J. Mater. Sci. Technol. 2023, 157, 246–261. [Google Scholar] [CrossRef]
- Fang, Y.; Liu, C.; Jin, K.; Wei, X.; Zhao, X.; Bei, H.; Zhang, Z. Additive manufacturing of titanium alloys with enhanced strength and uniform ductility via multi-element alloying. J. Mater. Res. Technol. 2023, 24, 6854–6860. [Google Scholar] [CrossRef]
- Shyam Dwaraknath, M.A. The Materials Project. Ti-mp-1245006. Available online: https://next-gen.materialsproject.org/materials/mp-1245006?chemsys=Ti (accessed on 26 September 2023).
- Srivastava, D.; Chang, I.; Loretto, M. The effect of process parameters and heat treatment on the microstructure of direct laser fabricated TiAl alloy samples. Intermetallics 2001, 9, 1003–1013. [Google Scholar] [CrossRef]
- Gasson, P.C. Book Reviews: Aerospace Materials Handbook. Aeronaut. J. 2013, 117, 1178–1180. [Google Scholar] [CrossRef]
- Cai, J.M.; Ma, J.M.; Huang, X.; Cao, C.X. Diffusion Behavior of Impurity Iron in High Temperature Titanium Alloys and Its Detrimental Effect on Creep Resistance. J. Mater. Eng. 2009, 30, 84–88. [Google Scholar]
- Wang, W.; Yuan, L.; Zhang, H.; Wei, Z.; Zhang, H.; Zhang, W. Cold-rolled Ti-Al-V-Zr-Fe titanium alloy tubing with outstanding tensile properties. J. Alloys Compd. 2023, 931, 167558. [Google Scholar] [CrossRef]
- Qi, X.; Li, Y.; Xu, X.; Liu, Y.; Zhang, H.; Zhu, Q.; Zhu, G.; Wang, J.; Huang, M.; Zeng, X. Enhancing strength–ductility synergy in a Mg–Gd–Y–Zr alloy at sub-zero temperatures via high dislocation density and shearable precipitates. J. Mater. Sci. Technol. 2023, 166, 123–132. [Google Scholar] [CrossRef]







| Fe | Al | V | Ti | |
|---|---|---|---|---|
| Spot 1 | 0.68 | 1.67 | 4.31 | Bal. |
| Spot 2 | 1.20 | 7.79 | 2.20 | Bal. |
| Spot 3 | 8.18 | 3.35 | 4.41 | Bal. |
Disclaimer/Publisher’s Note: The statements, opinions and data contained in all publications are solely those of the individual author(s) and contributor(s) and not of MDPI and/or the editor(s). MDPI and/or the editor(s) disclaim responsibility for any injury to people or property resulting from any ideas, methods, instructions or products referred to in the content. |
© 2024 by the authors. Licensee MDPI, Basel, Switzerland. This article is an open access article distributed under the terms and conditions of the Creative Commons Attribution (CC BY) license (https://creativecommons.org/licenses/by/4.0/).
Share and Cite
He, Z.; Yang, W.; Liu, C.; Wei, X.; Wang, J. Effects of Fe Contents on the Microstructure and Precipitate of Ti–Al–V Alloys Prepared by Direct Energy Deposition. Metals 2024, 14, 198. https://doi.org/10.3390/met14020198
He Z, Yang W, Liu C, Wei X, Wang J. Effects of Fe Contents on the Microstructure and Precipitate of Ti–Al–V Alloys Prepared by Direct Energy Deposition. Metals. 2024; 14(2):198. https://doi.org/10.3390/met14020198
Chicago/Turabian StyleHe, Zijian, Wanwan Yang, Cheng Liu, Xiao Wei, and Jiangwei Wang. 2024. "Effects of Fe Contents on the Microstructure and Precipitate of Ti–Al–V Alloys Prepared by Direct Energy Deposition" Metals 14, no. 2: 198. https://doi.org/10.3390/met14020198
APA StyleHe, Z., Yang, W., Liu, C., Wei, X., & Wang, J. (2024). Effects of Fe Contents on the Microstructure and Precipitate of Ti–Al–V Alloys Prepared by Direct Energy Deposition. Metals, 14(2), 198. https://doi.org/10.3390/met14020198

