Thermodynamic Study on the Solubility of N in High Cr, Ni and Mo Content Fe-Cr-Ni-Mo-O Melts
Abstract
1. Introduction
2. Materials and Methods
3. Results
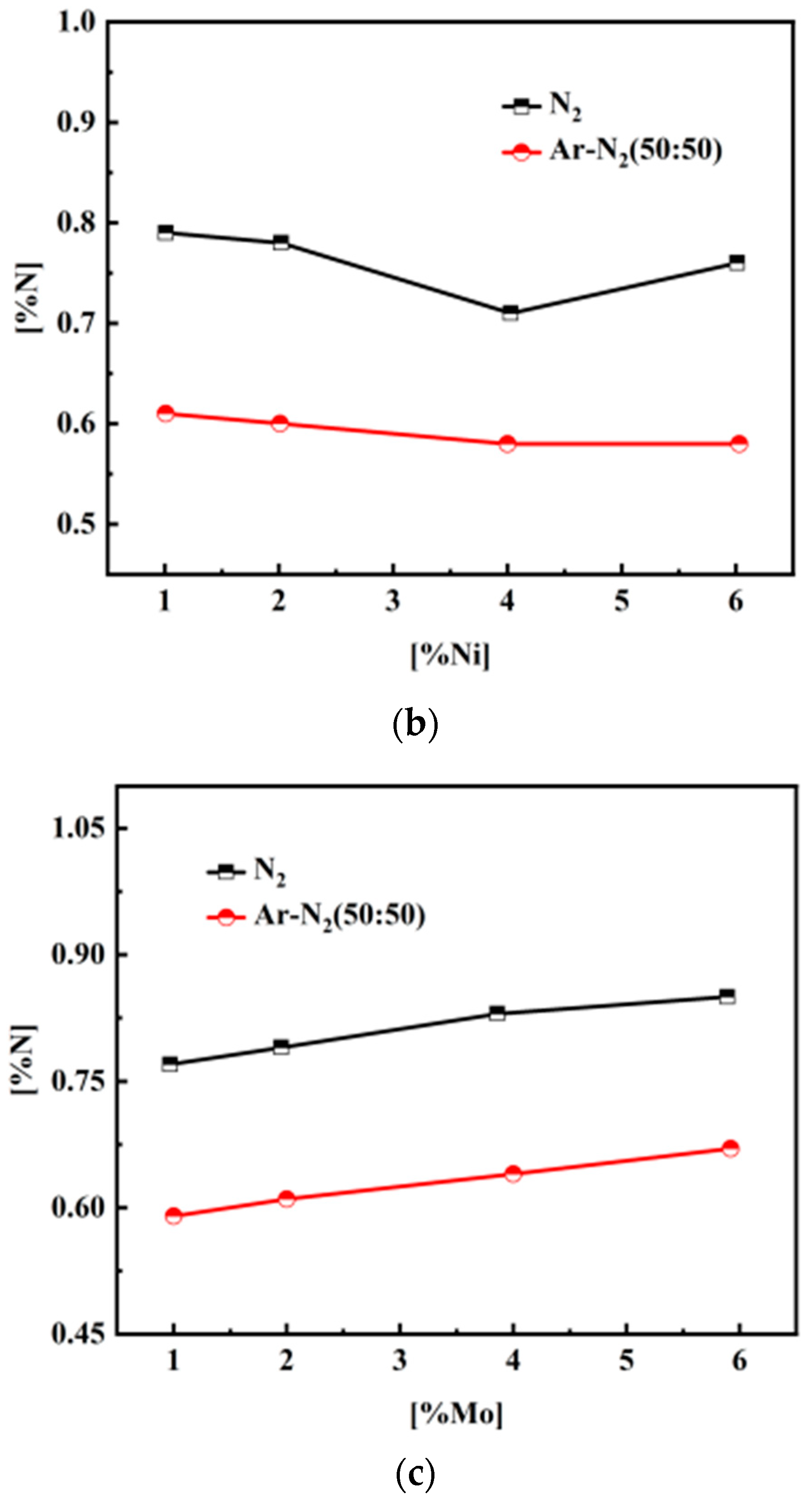
3.1. Experimental Principle and Results
3.2. WIPF Analysis of Fe-Cr-N-O System
3.3. WIPF Analysis of Fe−Cr−Ni−Mo−N−O System
4. Conclusions
Author Contributions
Funding
Data Availability Statement
Conflicts of Interest
References
- Chen, H.; Liang, H.; Shen, Z.; Wang, X. Improving the Interfacial Bonding Strength of Laser Direct Joining between Dissimilar 304 Stainless Steel and PCCF30 Plastic. Metals 2024, 14, 924. [Google Scholar] [CrossRef]
- Acuna, A.; Riffel, K.C.; Ramirez, A. A Comparison of Sigma Phase Formation in Solubilized Hyper Duplex Stainless Steel and Super Duplex Stainless Steel Filler Metals. Metall. Mater. Trans. A 2024, 55, 2881–2896. [Google Scholar] [CrossRef]
- Zhang, Y.; Zhang, Q.; Wang, Y.; Wang, X. Effect of microstructure tailoring on the deformation coordination of welded duplex stainless steel. Mater. Charact. 2023, 195, 112555. [Google Scholar] [CrossRef]
- Possoli, F.A.A.; Souza, A.P.N.; Berhardelli, E.A.; Borges, P.C. Tribocorrosion assessment of low-temperature plasma nitrided super duplex stainless steel. Surf. Coat. Technol. 2024, 479, 130572. [Google Scholar] [CrossRef]
- Suo, D.; Zhang, J.; Wu, W.; Lei, L.; Sun, Y.; Jiang, Y.; Li, J. Effect of molybdate on crevice corrosion initiation of hydrogen-charged duplex stainless steel. J. Mater. Res. Technol. 2023, 23, 5329–5340. [Google Scholar] [CrossRef]
- Pohl, M.; Storz, O.; Glogowski, T. Effect of intermetallic precipitations on the properties of duplex stainless steel. Mater. Charact. 2007, 58, 65–71. [Google Scholar] [CrossRef]
- Rokanopoulou, A.; Skarvelis, P.; Papadimitriou, G.D. Welding design methodology for optimization of phase balance in duplex stainless steels during autogenous arc welding under Ar-N2 atmosphere. Weld. World 2019, 63, 3–10. [Google Scholar] [CrossRef]
- de Paula Inacio, L.K.; Wolf, W.; Barsand de Leucas, B.C.; Stumpf, G.C.; Santos, D.B. Microtexture evolution of sigma phase in an aged fine-grained 2205 duplex stainless steel. Mater. Charact. 2021, 171, 110802. [Google Scholar] [CrossRef]
- Zhang, Z.; Jing, H.; Xu, L.; Han, Y.; Zhao, L. Investigation on microstructure evolution and properties of duplex stainless steel joint multi-pass welded by using different methods. Mater. Des. 2016, 109, 670–685. [Google Scholar] [CrossRef]
- Marques, I.J.; Silva, F.J.; Santos, T.F.A. Rapid precipitation of intermetallic phases during isothermal treatment of duplex stainless steel joints produced by friction stir welding. J. Alloys Compd. 2020, 820, 153170. [Google Scholar] [CrossRef]
- Cojocaru, E.M.; Raducanu, D.; Nocivin, A.; Cojocaru, V.D. Influence of ageing treatment temperature and duration on σ-phase precipitation and mechanical properties of UNS S32750 SDSS alloy. J. Adv. Res. 2021, 30, 53–61. [Google Scholar] [CrossRef] [PubMed]
- Zhang, B.; Li, H.; Zhang, S.; Jiang, Z.; Lin, Y.; Feng, H.; Zhu, H. Effect of nitrogen on precipitation behavior of hyper duplex stainless steel S32707. Mater. Charact. 2021, 175, 111096. [Google Scholar] [CrossRef]
- Vandewalle, L.; Claeys, L.; Konstantinovic, M.J.; Verbeken, K.; Depover, T. Evaluation of hydrogen interactions with defects induced by deformation in the duplex stainless steel microstructure: An internal friction study. Acta Mater. 2024, 268, 119800. [Google Scholar] [CrossRef]
- Zhao, Y.; Wang, Y.; Tang, S.; Zhang, W.; Liu, Z. Edge cracking prevention in 2507 super duplex stainless steel by twin-roll strip casting and its microstructure and properties. J. Mater. Process. Technol. 2019, 266, 246–254. [Google Scholar] [CrossRef]
- Zhang, W.; Li, L.; Huang, C.; Gao, J.; Zou, L.; Li, Z.; Peng, Z. Achieving Homogeneous Microstructure and Superior Properties in High-N Austenitic Stainless Steel via a Novel Atmosphere-Switching Method. Metals 2024, 14, 795. [Google Scholar] [CrossRef]
- Park, Y.H.; Kim, J.W.; Kim, S.K.; Lee, Y.D.; Lee, Z.H. The critical amount of nitrogen on the formation of nitrogen gas pores during solidification of 25Cr-7Ni duplex stainless steels. Metall. Mater. Trans. B 2003, 34, 313–320. [Google Scholar] [CrossRef]
- Pitkala, J.; Holappa, L.; Jokilaakso, A. A Study of the Effect of Alloying Elements and Temperature on Nitrogen Solubility in Industrial Stainless Steelmaking. Metall. Mater. Trans. B 2022, 53, 2364–2376. [Google Scholar] [CrossRef]
- Humbert, J.C.; Elliott, J.F. The solubility of nitrogen in liquid Fe-Cr-Ni alloys. Trans. AIME 1960, 218, 1076–1088. [Google Scholar]
- Jiang, Z.H.; Li, H.B.; Chen, Z.P.; Huang, Z.Z.; Zou, D.L.; Liang, L.K. The nitrogen solubility in molten stainless steel. Steel Res. Int. 2005, 76, 740–745. [Google Scholar] [CrossRef]
- Kim, W.-Y.; Lee, C.-O.; Yun, C.-W.; Pak, J.-J. Effect of Chromium on Nitrogen Solubility in Liquid Fe-Cr Alloys Containing 30 mass% Cr. ISIJ Int. 2009, 49, 1668–1672. [Google Scholar] [CrossRef]
- Anson, D.R.; Pomfret, R.J.; Hendry, A. Prediction of the solubility of nitrogen in molten duplex stainless steel. Isij Int. 1996, 36, 750–758. [Google Scholar] [CrossRef]
- Fujimura, H.; Tsuge, S.; Komizo, Y.; Nishizawa, T. Effect of oxide composition on solidification structure of ti added ferritic stainless steel. Tetsu Hagane—J. Iron Steel Inst. Jpn. 2001, 87, 707–712. [Google Scholar] [CrossRef]
- Feichtinger, H.; Zheng, X.H.; Rennhard, C. Measurements of nitrogen solubility in iron and iron-nickel alloys, using a new temperature gradient method. Steel Res. 1990, 61, 26. [Google Scholar] [CrossRef]
- Lin, J.C.; Schmid, R.; Chang, Y.A. Comparison of solution models for nonmetallic solutes in binary liquid alloys: Nitrogen in Fe-Cr and Fe-Ni. Metall. Mater. Trans. B 1986, 17, 785–789. [Google Scholar] [CrossRef]
- Shahapurkar, D.S.; Small, W.M. Effect of titanium on the nitrogen solubility in complex liquid Fe-Cr-Ni alloys. Metall. Trans. B 1987, 18, 231–235. [Google Scholar] [CrossRef]
- Chipman, J.; Corrigan, D.A.J. Prediction of the solubility of nitrogen in molten steel. Trans. Metall. Soc. AIME 1965, 233, 1249–1252. [Google Scholar]
- Itoh, T.; Nagasaka, T.; Hino, M. Equilibrium between dissolved chromium and oxygen in liquid high chromium alloyed steel saturated with pure Cr2O3. ISIJ Int. 2000, 40, 1051–1058. [Google Scholar] [CrossRef]
- Zhang, J.; Han, L.; Yan, B. Reassessment of Aluminium-Oxygen Equilibrium in High Al Molten Steel During Aluminium Deoxidation Process at 1873 K. Metall. Mater. Trans. B 2022, 53, 2512–2522. [Google Scholar] [CrossRef]
- Wang, D.; Hou, K.; Liu, B. Research Progress of Catalysts for Deoxidation of Syngas. Shandong Chem. Ind. 2021, 50, 96–97. [Google Scholar]
- Pehlke, R.D. Solubility of Nitrogen in Liquid Iron Alloys, 1. Thermodynamics. Trans. AIME 1960, 218, 1088–1101. [Google Scholar]




| Temperature (K) | [wt pct Cr] | Ref. | ||||||
|---|---|---|---|---|---|---|---|---|
| −0.045 | 0 | - | - | - | - | 1873 | <18.8 | [18] |
| −0.048 (−157/T + 0.036) | 0.00035 (1.15/T − 0.000263) | 0.011 (36/T − 0.008) | 0.000035 (0.11/T − 0.0000263) | −0.009 (−33/T + 0.008) | 0.000079 (0.26/T − 0.0000593) | 1793~1853 | <35 | [19] |
| −0.06 | 0.0007 | - | - | - | - | 1873~1973 | <30 | [20] |
| 0.04523 (−361.924/T + 0.148) | 0.000568 (9.71/T − 0.0049) | 0.00895 (110.23/T − 0.0499) | - | −0.00985 (−298.28/T + 0.1494) | −0.00015 (21.507/T − 0.0115) | 1823~1923 | 10~30 | [21] |
| −0.047 | 0.00017 | - | - | - | - | 1873 | 0~18 | [22] |
| Raw Materials | Purity | Provider |
|---|---|---|
| Fe powder | 99.99% | Shanghai Macklin Biochemical Technology Co., Ltd. |
| Cr powder | 99.99% | |
| Ni powder | 99.99% | |
| Mo powder | 99.99% | |
| N2 gas | 99.999% | Beijing Huan Yu Jing Hui Jing Cheng Gas Technology Co., Ltd. |
| Ar-N2 (50:50) gas | 99.999% |
| Atmosphere | Cr | No. |
|---|---|---|
| N2 | 30 | 1-1 |
| 32 | 1-2 | |
| 34 | 1-3 | |
| 36 | 1-4 | |
| 40 | 1-5 | |
| Ar-N2(50:50) | 30 | 1-6 |
| 32 | 1-7 | |
| 34 | 1-8 | |
| 36 | 1-9 | |
| 40 | 1-10 |
| Atmosphere | Cr | Ni | Mo | No. |
|---|---|---|---|---|
| N2 | 35 | 1 | - | 2-1 |
| 2 | 2-2 | |||
| 4 | 2-3 | |||
| 6 | 2-4 | |||
| 35 | 5 | 1 | 2-5 | |
| 2 | 2-6 | |||
| 4 | 2-7 | |||
| 6 | 2-8 | |||
| Ar-N2(50:50) | 35 | 1 | - | 2-9 |
| 2 | 2-10 | |||
| 4 | 2-11 | |||
| 6 | 2-12 | |||
| 35 | 5 | 1 | 2-13 | |
| 2 | 2-14 | |||
| 4 | 2-15 | |||
| 6 | 2-16 |
| No. | Atmosphere | The Composition of the Alloy at Equilibrium (wt pct) | ||
|---|---|---|---|---|
| Cr | N | O | ||
| 1-1 | N2 | 29.34 | 0.56 | 0.049 |
| 1-2 | 31.46 | 0.68 | 0.056 | |
| 1-3 | 33.33 | 0.75 | 0.047 | |
| 1-4 | 35.36 | 0.85 | 0.050 | |
| 1-5 | 39.29 | 1.07 | 0.052 | |
| 1-6 | Ar-N2(50:50) | 29.40 | 0.46 | 0.040 |
| 1-7 | 31.32 | 0.55 | 0.042 | |
| 1-8 | 33.32 | 0.58 | 0.043 | |
| 1-9 | 35.19 | 0.65 | 0.047 | |
| 1-10 | 39.26 | 0.77 | 0.053 | |
| No. | Atmosphere | The Composition of the Alloy at Equilibrium (wt pct) | ||||
|---|---|---|---|---|---|---|
| Cr | Ni | Mo | N | O | ||
| 2-1 | N2 | 34.17 | 1.01 | - | 0.79 | 0.049 |
| 2-2 | 34.16 | 2.02 | 0.78 | 0.052 | ||
| 2-3 | 33.72 | 4.03 | 0.71 | 0.062 | ||
| 2-4 | 34.02 | 6.01 | 0.76 | 0.066 | ||
| 2-5 | 34.31 | 5.00 | 0.97 | 0.77 | 0.058 | |
| 2-6 | 34.15 | 5.00 | 1.95 | 0.79 | 0.049 | |
| 2-7 | 34.28 | 4.99 | 3.86 | 0.83 | 0.053 | |
| 2-8 | 34.18 | 4.98 | 5.89 | 0.85 | 0.049 | |
| 2-9 | Ar-N2(50:50) | 34.14 | 1.01 | - | 0.61 | 0.045 |
| 2-10 | 34.29 | 2.01 | 0.60 | 0.046 | ||
| 2-11 | 34.30 | 4.00 | 0.58 | 0.046 | ||
| 2-12 | 34.28 | 6.03 | 0.58 | 0.045 | ||
| 2-13 | 34.18 | 5.01 | 1.00 | 0.59 | 0.045 | |
| 2-14 | 34.30 | 5.03 | 2.00 | 0.61 | 0.042 | |
| 2-15 | 34.28 | 5.05 | 4.00 | 0.64 | 0.049 | |
| 2-16 | 34.11 | 5.05 | 5.92 | 0.67 | 0.047 | |
Disclaimer/Publisher’s Note: The statements, opinions and data contained in all publications are solely those of the individual author(s) and contributor(s) and not of MDPI and/or the editor(s). MDPI and/or the editor(s) disclaim responsibility for any injury to people or property resulting from any ideas, methods, instructions or products referred to in the content. |
© 2024 by the authors. Licensee MDPI, Basel, Switzerland. This article is an open access article distributed under the terms and conditions of the Creative Commons Attribution (CC BY) license (https://creativecommons.org/licenses/by/4.0/).
Share and Cite
Zhang, J.; Luo, X.; Yan, B. Thermodynamic Study on the Solubility of N in High Cr, Ni and Mo Content Fe-Cr-Ni-Mo-O Melts. Metals 2024, 14, 1366. https://doi.org/10.3390/met14121366
Zhang J, Luo X, Yan B. Thermodynamic Study on the Solubility of N in High Cr, Ni and Mo Content Fe-Cr-Ni-Mo-O Melts. Metals. 2024; 14(12):1366. https://doi.org/10.3390/met14121366
Chicago/Turabian StyleZhang, Jie, Xinru Luo, and Baijun Yan. 2024. "Thermodynamic Study on the Solubility of N in High Cr, Ni and Mo Content Fe-Cr-Ni-Mo-O Melts" Metals 14, no. 12: 1366. https://doi.org/10.3390/met14121366
APA StyleZhang, J., Luo, X., & Yan, B. (2024). Thermodynamic Study on the Solubility of N in High Cr, Ni and Mo Content Fe-Cr-Ni-Mo-O Melts. Metals, 14(12), 1366. https://doi.org/10.3390/met14121366

