Ajuga orientalis L. Extract as a Green Corrosion Inhibitor of Aluminum in an Acidic Solution: An Experimental and DFT Study
Abstract
1. Introduction
2. Materials and Methods
2.1. Collection and Pretreatment of Plant Samples
2.2. Preparation of Plant Extract
2.3. LC-ESI-MS/MS
2.4. Specimen Preparation
2.5. Weight Loss Measurements
2.6. Electrochemical Measurements
2.7. Surface Analysis (Scanning Electron Microscopy (SEM))
2.8. DFT Computational Details
3. Results and Discussion
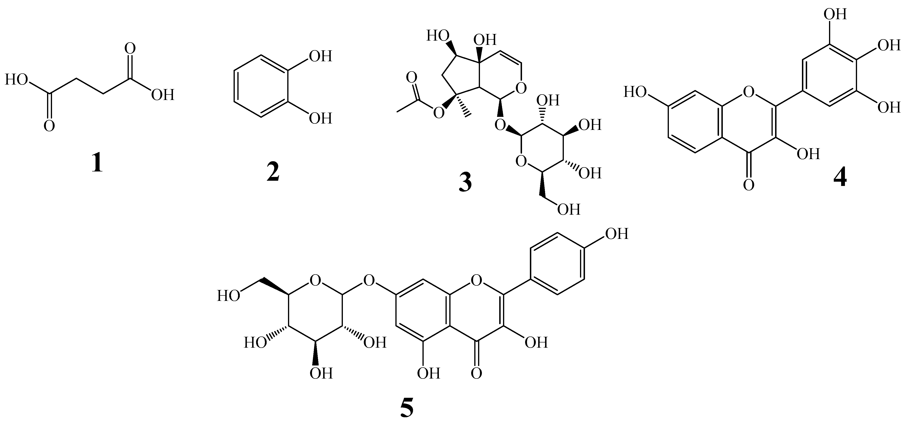
3.1. Identification and Elucidation of the Compounds Using LC-MS/MS
3.2. Effect of Inhibitor Concentration
3.3. Effect of Temperature
3.4. Thermodynamic Considerations
3.5. Adsorption Behavior
3.6. Potentiostatic Polarization Measurements
3.7. Scanning Electron Microscope (SEM)
3.8. Quantum Chemical Calculation
3.9. Mechanism of Inhibition
4. Conclusions
- The findings of weight loss experiments and polarization techniques suggest that A. orientalis crude (AO) is useful as a green corrosion inhibitor for aluminum in an acidic medium.
- The efficiency in an acidic medium decreases with an increasing temperature, until the temperature of 40 °C is attained, and then increases until the temperature of 50 °C is reached. The efficiency increases with increasing concentrations of A. orientalis crude (AO) to reach a maximum value of 300 ppm at 50 °C.
- It was discovered that the activation energy (Ea) for the dissolution of pure aluminum in solution is higher in the absence of an inhibitor than it is in the presence of an inhibitor in an acidic medium.
- The widely used isotherm models (Freundlich, Temkin, El Awady, and Redlich–Peterson (R-P) adsorption isotherm models) were used to investigate the equilibrium isotherms for the adsorption of AO on aluminum in HCl at different temperatures.
- The free Gibbs energy (ΔGads) value demonstrates that the inhibitory mechanism could be attributed to comprehensive physical and chemical adsorption in an acidic medium (1.0 M of HCl), and the sign of the free energy of adsorption suggests that the process is spontaneous.
- Polarization tests revealed that the inhibitor (AO) is an anodic and cathodic mixed-type inhibitor.
- EIS plots indicated that the charge transfer resistances increase with increasing the concentration of the extract.
- The SEM findings reveal that the inhibitor (AO) partially covers the metal surface, providing it with a respectable level of protection.
- Compound 4 demonstrates the best corrosion inhibition on the Al metal surface.
- Experimental and DFT calculations show an excellent agreement, validating the accuracy of the theoretical predictions.
Author Contributions
Funding
Data Availability Statement
Acknowledgments
Conflicts of Interest
References
- Ali, A.; Foaud, N. Inhibition of aluminum corrosion in hydrochloric acid solution using black mulberry extract. J. Mater. Environ. Sci. 2012, 3, 917–924. [Google Scholar]
- Davis, J. (Ed.) Corrosion: Understanding the Basics; ASM International: Almere, The Netherlands, 2000. [Google Scholar]
- Bastidas, D. Corrosion and protection of metals. Metals 2020, 10, 458. [Google Scholar] [CrossRef]
- Ghali, E.; Sastri, V.; Elboujdaini, M. Corrosion Prevention and Protection: Practical Solutions; John Wiley & Sons: Hoboken, NJ, USA, 2007. [Google Scholar]
- Jones, D. Principles and prevention. Corrosion 1996, 2, 168. [Google Scholar]
- Berradja, A. Electrochemical techniques for corrosion and tribocorrosion monitoring: Methods for the assessment of corrosion rates. In Corrosion Inhibitors; IntechOpen: London, UK, 2019; pp. 1–26. [Google Scholar]
- Uhlig, H.; Revie, R. Corrosion and Corrosion Control; U.S. Department of Energy Office of Scientific and Technical Information: Oak Ridge, TN, USA, 1985.
- Romhanji, E.; Popovic, M. Problems and prospect of Al-Mg alloys application in marine constructions. Metalurgija 2006, 12, 297–307. [Google Scholar]
- Foley, R.; Nguyen, T. The chemical nature of aluminum corrosion: V. Energy transfer in aluminum dissolution. J. Electrochem. Soc. 1982, 129, 464. [Google Scholar] [CrossRef]
- Aramide, F.O. Corrosion inhibition of AISI/SAE steel in a marine environment. Leonardo J. Sci. 2009, 15, 47–52. [Google Scholar]
- de Souza, F.S.; Spinelli, A. Caffeic acid as a green corrosion inhibitor for mild steel. Corros. Sci. 2009, 51, 642–649. [Google Scholar] [CrossRef]
- Noor, E.A. Potential of aqueous extract of Hibiscus sabdariffa leaves for inhibiting the corrosion of aluminum in alkaline solutions. J. Appl. Electrochem. 2009, 39, 1465–1475. [Google Scholar] [CrossRef]
- Bataineh, T.; Al-Qudah, M.; Nawafleh, E.; Al-Rawashdeh, N. Sinapis alba extract as green corrosion inhibitor for aluminum in alkaline media. Int. J. Electrochem. 2014, 9, 3543–3557. [Google Scholar] [CrossRef]
- Bataineh, T.; Al-Qudah, M.; Nawafleh, E.; Ajlouni, A. Corrosion Control of Aluminium Alloy in Alkaline Solution Using Leave Extract of Plumbago Europaea. Jordan J. Chem. 2021, 8, 169–178. [Google Scholar] [CrossRef]
- Miralrio, A.; Espinoza Vázquez, A. Plant extracts as green corrosion inhibitors for different metal surfaces and corrosive media: A review. Processes 2020, 8, 942. [Google Scholar] [CrossRef]
- Rodrigues, S.; Dalmoro, V.; dos Santos, J. An evaluation of Acacia mearnsii tannin as an aluminum corrosion inhibitor in acid, alkaline, and neutral media. Mater. Corros. 2020, 71, 1160–1174. [Google Scholar] [CrossRef]
- Al-Qudah, M.; Hamaideh, R.; Al-Momani, I.; Al-Bataineh, N. Capparis decidua: A green inhibitor for pure aluminum corrosion in basic media. J. Surf. Sci. Technol. 2020, 36, 109. [Google Scholar] [CrossRef]
- Al-Qudah, M.A.; Algethami, F.K.; Fodeh, O.A.; Al-Momani, I.F.; Bataineh, T.T.; Alakhras, A.I.; Al-Mazaideh, G.M. Eco-friendly methanolic Ajuga orientalis extract as corrosion inhibitor for aluminium in 1.0 M NaOH. Corros. Eng. Sci. Technol. 2024, 59, 297–310. [Google Scholar] [CrossRef]
- Al-Qudah, M.; Al-Keifi, H.; Al-Momani, I.; Abu-Orabi, S. Capparis aegyptia as a green inhibitor for aluminum corrosion in alkaline media. Int. J. Corros. Scale Inhib. 2020, 9, 201–218. [Google Scholar]
- Al-Qudah, M. Inhibition of Copper Corrosion by Flavonoids in Nitric Acid. J. Chem. 2011, 8, 326–332. [Google Scholar] [CrossRef]
- Udunwa, D.I.; Onukwuli, O.D.; Menkiti, M.C.; Nwanonenyi, S.C.; Ezekannagha, C.B.; Aniagor, C.O. Experimental, computational, and theoretical studies on the corrosion inhibition potential of green Gongronema latifolium extract as corrosion inhibitor for aluminum alloy in HCl solutions. J. Mol. Struct. 2024, 1302, 137508. [Google Scholar] [CrossRef]
- Boussalah, N.; Ghalem, S.; El Kadiri, S.; Hammouti, B.; Touzani, R. Theoretical study of the corrosion inhibition of some bipyrazolic derivatives: A conceptual DFT investigation. Res. Chem. Intermed. 2012, 38, 2009–2023. [Google Scholar] [CrossRef]
- Obot, A.S.; BoEkom, E.J.; Ituen, E.B.; Ugi, B.U.; Essien, K.E.; Jonah, N.B. Thermodynamic investigation and quantum chemical evaluation of n-hexane extracts of Costus lucanusianus as corrosion inhibitors for mild steel and aluminum in 1 M HCl solution. J. Appl. Phys. Sci. Int. 2021, 13, 6–27. [Google Scholar]
- Al-Qudah, M.; Al-Smadi, Z.; Al-Jaber, H.; Tashtoush, H.; Alkhatib, R.; Bataineh, T.; Al-Dalahmeh, Y.; Abu-Orabi, S. GC/MS and LC-MS/MS phytochemical evaluation of the essential oil and selected secondary metabolites of Ajuga orientalis from Jordan and its antioxidant activity. Arab. J. Chem. 2023, 16, 104641. [Google Scholar] [CrossRef]
- Frisch, M.J.E.A.; Trucks, G.W.; Schlegel, H.B.; Scuseria, G.E.; Robb, M.A.; Cheeseman, J.R.; Scalmani, G.; Barone, V.P.G.A.; Mennucci, B.; Petersson, G.A.; et al. Gaussian 09; Gaussian, Inc.: Wallingford, CT, USA, 2009. [Google Scholar]
- Amin, M.; Abd EI-Rehim, S.; El-Sherbini, E.; Hazzazi, O.; Abbas, M. Polyacrylic acid as a corrosion inhibitor for aluminium in weakly alkaline solutions. Part I: Weight loss, polarization, impedance EFM and EDX studies. Corros. Sci. 2009, 51, 658–667. [Google Scholar] [CrossRef]
- Sherif, E.; Erasmus, R.; Comins, J. Inhibition of copper corrosion in acidic chloride pickling solutions by 5-(3-aminophenyl)-tetrazole as a corrosion inhibitor. Corros. Sci. 2008, 50, 3439–3445. [Google Scholar] [CrossRef]
- Rajalakshmi, R.; Subhashini, S.; Nanthini, M.; Srimathi, M. Inhibiting effect of seed extract of Abrus precatorius on corrosion of aluminium in sodium hydroxide. Orient. J. Chem. 2009, 25, 313. [Google Scholar]
- Raghavendra, N. Latest exploration on natural corrosion inhibitors for industrial important metals in hostile fluid environments: A comprehensive overview. J. Bio- Tribo-Corros. 2019, 5, 54. [Google Scholar] [CrossRef]
- Nnanna, L.; Onwuagba, B.; Mejeha, I.; Okeoma, K. Inhibition effects of some plant extracts on the acid corrosion of aluminum alloy. Afr. J. Pure Appl. Chem. 2010, 4, 11–16. [Google Scholar]
- Refaey, S.; Taha, F.; Abd El-Malak, A. Corrosion and Inhibition of 316L stainless steel in neutral medium by 2-Mercaptobenzimidazole. Int. J. Electrochem. Sci. 2006, 1, 80–91. [Google Scholar] [CrossRef]
- Jung, J.; Oh, S.; Kwon, H. Effects of environmental factors on corrosion behavior of aluminum. Mater. Corros. 2021, 72, 557–563. [Google Scholar] [CrossRef]
- Oguzie, E.; Onuoha, G.; Onuchukwu, A. Inhibitory mechanism of mild steel corrosion in 2 M sulphuric acid solution by methylene blue dye. Mater. Chem. Phys. 2005, 89, 305–311. [Google Scholar] [CrossRef]
- Mu, G.; Li, X.; Liu, G. Synergistic inhibition between tween 60 and NaCl on the corrosion of cold rolled steel in 0.5 M sulfuric acid. Corros. Sci. 2005, 47, 1932–1952. [Google Scholar] [CrossRef]
- Abd El Rehim, S.; Ibrahim, M.; Khalid, K. The inhibition of 4-(2′-amino-5′-methylphenylazo) antipyrine on corrosion of mild steel in HCl solution. Mater. Chem. Phys. 2001, 70, 268–273. [Google Scholar] [CrossRef]
- Benabdellah, M.; Ousslim, A.; Hammouti, B.; Elidrissi, A.; Aouniti, A.; Dafali, A.; Bekkouch, k.; Benkaddour, M. The effect of poly (vinyl caprolactone-co-vinyl pyridine) and poly (vinyl imidazol-co-vinyl pyridine) on the corrosion of steel in H3PO4 media. J. Appl. Electrochem. 2007, 37, 819–826. [Google Scholar] [CrossRef]
- Hamdy, A.; El-Gendy, N. Thermodynamic, adsorption and electrochemical studies for corrosion inhibition of carbon steel by henna extract in acid medium. Egypt. J. Pet. 2013, 22, 17–25. [Google Scholar] [CrossRef]
- Ituen, E.; Akaranta, O.; James, A. Evaluation of performance of corrosion inhibitors using adsorption isotherm models: An overview. Chem. Sci. Int. J. 2017, 18, 1–34. [Google Scholar] [CrossRef]
- Kokalj, A. Corrosion inhibitors: Physisorbed or chemisorbed? Corros. Sci. 2022, 196, 109939. [Google Scholar] [CrossRef]
- Eddy, N.; Momoh-Yahaya, H.; Oguzie, E. Theoretical and experimental studies on the corrosion inhibition potentials of some purines for aluminum in 0.1 M HCl. J. Adv. Res. 2015, 6, 203–217. [Google Scholar] [CrossRef]
- Mehra, R.; Soni, A. Cast iron deterioration with time in various aqueous salt solutions. Bull. Mater. Sci. 2002, 25, 53–58. [Google Scholar] [CrossRef]
- Stern, M.; Geary, A.L. Electrochemical polarization: I. A theoretical analysis of the shape of polarization curves. J. Electrochem. Soc. 1957, 104, 56. [Google Scholar] [CrossRef]
- Yan, Y.; Li, W.; Cai, L.; Hou, B. Electrochemical and quantum chemical study of purines as corrosion inhibitors for mild steel in 1 M HCl solution. Electrochim. Acta 2008, 53, 5953–5960. [Google Scholar] [CrossRef]
- Ali, A. Melia azedarach L as eco-friendly corrosion inhibitor for Aluminum in 2M HCl. J. Mater. Environ. Sci. 2014, 5, 793–802. [Google Scholar]
- Quraishi, M.; Singh, A.; Singh, V.; Yadav, D.; Singh, A. Green approach to corrosion inhibition of mild steel in hydrochloric acid and sulphuric acid solutions by the extract of Murraya koenigii leaves. Mater. Chem. Phys. 2010, 122, 114–122. [Google Scholar] [CrossRef]
- Lebrini, M.; Robert, F.; Lecante, A.; Roos, C. Corrosion inhibition of C38 steel in 1 M hydrochloric acid medium by alkaloids extract from Oxandra asbeckii plant. Corros. Sci. 2011, 53, 687–695. [Google Scholar] [CrossRef]
- Kamal, C.; Sethuraman, M. Spirulina platensis–A novel green inhibitor for acid corrosion of mild steelArab. J. Chem. 2012, 5, 155–161. [Google Scholar]
- Santhini, N.; Jeyaraj, T. The inhibition effect of [3-(4-hydroxy-3-methoxy-phenyl)-1-phenyl-propenone] on the corrosion of the aluminium in alkaline medium. J. Chem. Pharm. Res. 2012, 4, 3550–3556. [Google Scholar]
- Lewis, D.; Ioannides, C.; Parke, D. Interaction of a series of nitriles with the alcohol-inducible isoform of P450: Computer analysis of structure—Activity relationships. Xenobiotica 1994, 24, 401–408. [Google Scholar] [CrossRef] [PubMed]
- Zhou, Z.; Parr, R. Activation hardness: New index for describing the orientation of electrophilic aromatic substitution. J. Am. Chem. Soc. 1990, 112, 5720–5724. [Google Scholar] [CrossRef]
- Adejoro, I.; Ibeji, C.; Akintayo, D. Quantum descriptors and corrosion inhibition potentials of Amodaquine and Nivaquine. Chem. Sci. J. 2017, 8, 149. [Google Scholar]
- Fang, J.; Li, J. Quantum chemistry study on the relationship between molecular structure and corrosion inhibition efficiency of amides. J. Mol. Struct. 2002, 593, 179–185. [Google Scholar] [CrossRef]











| Conc. (ppm) | (%IE) | ||
|---|---|---|---|
| (2 h) | (4 h) | (6 h) | |
| 80 | 23.3 | 55.3 | 60.9 |
| 120 | 26.7 | 61.2 | 63.9 |
| 160 | 30.2 | 62.9 | 67.0 |
| 200 | 46.5 | 67.6 | 69.6 |
| 240 | 53.5 | 70.6 | 71.7 |
| 300 | 58.1 | 72.9 | 78.3 |
| Conc. (ppm) | Rc (mg/h·cm2) | ||||
|---|---|---|---|---|---|
| 303 K | 308 K | 313 K | 318 K | 323 K | |
| 0 | 0.071 | 0.092 | 0.108 | 0.171 | 0.336 |
| 80 | 0.032 | 0.050 | 0.064 | 0.085 | 0.146 |
| 120 | 0.028 | 0.046 | 0.058 | 0.076 | 0.119 |
| 160 | 0.026 | 0.042 | 0.050 | 0.064 | 0.088 |
| 200 | 0.023 | 0.038 | 0.045 | 0.061 | 0.068 |
| 240 | 0.021 | 0.030 | 0.042 | 0.053 | 0.060 |
| 300 | 0.019 | 0.026 | 0.039 | 0.044 | 0.053 |
| Conc. (mg/L) | R2 | ∆S* (J/mol. K) | Ea (kJ/mol) | ∆H* (kJ/mol) |
|---|---|---|---|---|
| 0 | 0.9159 | −0.08 | 60.49 | 57.89 |
| 80 | 0.9760 | −0.09 | 58.21 | 55.61 |
| 120 | 0.9815 | −0.10 | 56.04 | 53.44 |
| 160 | 0.9782 | −0.13 | 46.17 | 43.57 |
| 200 | 0.9482 | −0.14 | 43.41 | 40.80 |
| 240 | 0.9685 | −0.14 | 43.24 | 40.63 |
| 300 | 0.9614 | −0.15 | 41.40 | 38.80 |
| Adsorption Isotherm | Temp. (K) | 303 | 308 | 313 | 318 | 323 |
|---|---|---|---|---|---|---|
| Freundlich Adsorption Isotherm | R2 | 0.9868 | 0.9717 | 0.9836 | 0.9882 | 0.9665 |
| Slope | 0.2113 | 0.3513 | 0.3572 | 0.2930 | 0.3207 | |
| Intercept | −0.6584 | −1.0242 | −1.0660 | −0.8579 | −0.8509 | |
| Kads | 0.2196 | 0.0946 | 0.0859 | 0.1387 | 0.1410 | |
| ΔGads (kJ/mol) | −30.99 | −29.34 | −29.57 | −31.31 | −31.84 | |
| 1/n | 0.2113 | 0.3513 | 0.3572 | 0.2930 | 0.3207 | |
| Temkin Isotherm | R2 | 0.9853 | 0.9497 | 0.9863 | 0.9822 | 0.9748 |
| Slope | 0.3107 | 0.4616 | 0.4271 | 0.4130 | 0.5177 | |
| Intercept | −0.0400 | −0.4478 | −0.4082 | −0.2914 | −0.4158 | |
| Log K | −0.1287 | −0.9702 | −0.9559 | −0.7055 | −0.8030 | |
| K | 0.7434 | 0.1071 | 0.1107 | 0.1970 | 0.1574 | |
| a | 7.41 | 4.99 | 5.39 | 5.58 | 4.45 | |
| ΔGads (kJ/mol) | −34.06 | −29.66 | −30.23 | −32.23 | −32.14 | |
| El Awady Adsorption Isotherm | R2 | 0.982 | 0.940 | 0.987 | 0.975 | 0.984 |
| slope | 0.595 | 0.841 | 0.756 | 0.776 | 1.150 | |
| Intercept | −1.047 | −1.726 | −1.606 | −1.494 | −2.086 | |
| 1/y | 1.682 | 1.190 | 1.323 | 1.288 | 0.870 | |
| Kads | 0.090 | 0.019 | 0.025 | 0.032 | 0.008 | |
| Redlich–Peterson (R-P) Isotherm | R2 | 0.9990 | 0.9914 | 0.9949 | 0.9979 | 0.9924 |
| slope | 1.2613 | 1.5227 | 1.5424 | 1.4058 | 1.4542 | |
| Intercept | −1.8800 | −3.5225 | −3.7372 | −2.7402 | −2.7802 | |
| αR | 0.1526 | 0.0295 | 0.0238 | 0.0646 | 0.0620 | |
| β | 1.2613 | 1.5227 | 1.5424 | 1.4058 | 1.4542 | |
| KR | 1 | |||||
| [inhibitor] (mg/L) | Ecorr (V) | Icorr (mA/cm2) | βa (mV/dec) | −βc (mV/dec) | RP (kΩcm2) | I% | Rc mm/y |
|---|---|---|---|---|---|---|---|
| Blank | −0.794 | 18.68 | 413.87 | 199.23 | 3.13 | - | 80.32 |
| 120 | −0.798 | 12.27 | 560.16 | 204.40 | 5.30 | 34.31 | 52.76 |
| 200 | −0.805 | 8.788 | 578.40 | 183.64 | 6.89 | 52.90 | 37.79 |
| 300 | −0.807 | 6.710 | 645.28 | 198.79 | 9.82 | 64.00 | 28.85 |
| [OA] (mol/L) | RS Ωcm2 | Rct Ωcm2 | n | Cdl μF·cm−2 | Yo (Ω−1 sn cm−2) | I.E. |
|---|---|---|---|---|---|---|
| Blank | 1.29 | 32.82 | 0.74 | 594.88 | 2.43 × 10−3 | |
| 120 | 2.24 | 57.87 | 0.74 | 484.46 | 1.65 × 10−3 | 43.29 |
| 200 | 1.76 | 87.15 | 0.73 | 360.75 | 1.21 × 10−3 | 62.34 |
| 300 | 2.51 | 102.13 | 0.74 | 430.32 | 1.29 × 10−3 | 67.87 |
| Quantum Parameters | 1 | 2 | 3 | 4 | 5 | |||||
|---|---|---|---|---|---|---|---|---|---|---|
| Gas | Acidic | Gas | Acidic | Gas | Acidic | Gas | Acidic | Gas | Acidic | |
| EHOMO (eV) | −7.874 | −7.891 | −5.960 | −6.086 | −6.454 | −6.549 | −6.088 | −6.113 | −5.874 | −6.068 |
| ELUMO (eV) | −0.583 | −0.527 | −0.385 | −0.434 | −0.605 | −0.414 | −1.935 | −2.082 | −1.649 | −1.921 |
| ∆Egap (eV) | 7.291 | 7.364 | 5.575 | 5.652 | 5.849 | 6.135 | 4.153 | 4.031 | 4.225 | 4.147 |
| σ | 0.274 | 0.271 | 0.358 | 0.353 | 0.341 | 0.325 | 0.481 | 0.496 | 0.473 | 0.482 |
| η | 3.645 | 3.682 | 2.787 | 2.826 | 2.924 | 3.067 | 2.076 | 2.015 | 2.112 | 2.073 |
| X | 4.228 | 4.209 | 3.172 | 3.26 | 3.529 | 3.481 | 4.011 | 4.097 | 3.761 | 3.994 |
| ω | 1.412 | 1.398 | 1.847 | 1.821 | 1.76 | 1.678 | 2.479 | 2.554 | 2.437 | 2.483 |
| ΔN | 0.079 | 0.077 | 0.003 | 0.004 | 0.0281 | 0.023 | 0.082 | 0.0927 | 0.056 | 0.08 |
| Dipole moment µ (Debye) | 0.0117 | 0.015 | 1.447 | 1.91 | 7.376 | 9.658 | 6.021 | 8.317 | 7.421 | 10.833 |
Disclaimer/Publisher’s Note: The statements, opinions and data contained in all publications are solely those of the individual author(s) and contributor(s) and not of MDPI and/or the editor(s). MDPI and/or the editor(s) disclaim responsibility for any injury to people or property resulting from any ideas, methods, instructions or products referred to in the content. |
© 2024 by the authors. Licensee MDPI, Basel, Switzerland. This article is an open access article distributed under the terms and conditions of the Creative Commons Attribution (CC BY) license (https://creativecommons.org/licenses/by/4.0/).
Share and Cite
Abu Orabi, F.M.; Abu-Orabi, S.T.; Fodeh, O.A.; Algethami, F.K.; Rawashdeh, A.M.M.; Bataineh, T.T.; Al-Mazaideh, G.M.; Al-Qudah, M.A. Ajuga orientalis L. Extract as a Green Corrosion Inhibitor of Aluminum in an Acidic Solution: An Experimental and DFT Study. Metals 2024, 14, 1227. https://doi.org/10.3390/met14111227
Abu Orabi FM, Abu-Orabi ST, Fodeh OA, Algethami FK, Rawashdeh AMM, Bataineh TT, Al-Mazaideh GM, Al-Qudah MA. Ajuga orientalis L. Extract as a Green Corrosion Inhibitor of Aluminum in an Acidic Solution: An Experimental and DFT Study. Metals. 2024; 14(11):1227. https://doi.org/10.3390/met14111227
Chicago/Turabian StyleAbu Orabi, Faten M., Sultan T. Abu-Orabi, Omaima A. Fodeh, Faisal K. Algethami, Abdel Monem M. Rawashdeh, Tareq T. Bataineh, Ghassab M. Al-Mazaideh, and Mahmoud A. Al-Qudah. 2024. "Ajuga orientalis L. Extract as a Green Corrosion Inhibitor of Aluminum in an Acidic Solution: An Experimental and DFT Study" Metals 14, no. 11: 1227. https://doi.org/10.3390/met14111227
APA StyleAbu Orabi, F. M., Abu-Orabi, S. T., Fodeh, O. A., Algethami, F. K., Rawashdeh, A. M. M., Bataineh, T. T., Al-Mazaideh, G. M., & Al-Qudah, M. A. (2024). Ajuga orientalis L. Extract as a Green Corrosion Inhibitor of Aluminum in an Acidic Solution: An Experimental and DFT Study. Metals, 14(11), 1227. https://doi.org/10.3390/met14111227

