Revisiting Rare Earth Permanent Magnetic Alloys of Nd-Fe-C
Abstract
1. Introduction
2. Materials and Methods
3. Results
3.1. Phase Constitution and Magnetic Properties of Directly Quenched Nd12Fe82C6 Alloy
3.2. Phase Precipitation Behavior and Magnetic Properties of Annealed Nd12Fe82C6 Alloy
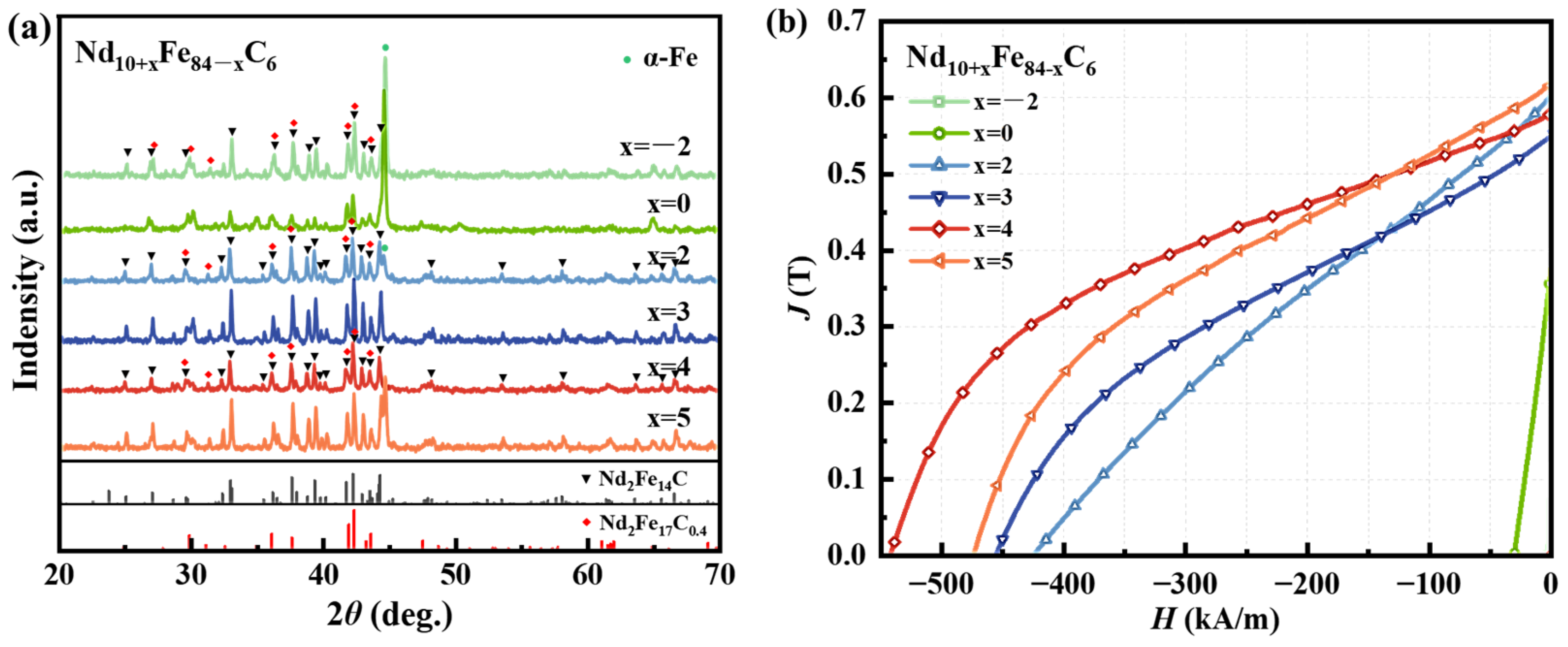
3.3. Effects of Nd Content on the Annealed Nd-Fe-C Alloys
3.4. Optimizing the Structure and Magnetic Properties of Nd14Fe80C6 Alloy
3.5. Microstructure of Annealed Nd14Fe80C6 Alloy
4. Discussion
5. Conclusions
Author Contributions
Funding
Data Availability Statement
Conflicts of Interest
References
- Sagawa, M.; Fujimura, S.; Togawa, N.; Yamamoto, H.; Matsuura, Y. New material for permanent magnets on a base of Nd and Fe. J. Appl. Phys. 1984, 55, 2083–2087. [Google Scholar] [CrossRef]
- Helmholdt, R.B.; Buschow, K.H.J. Neutron diffraction study of the crystallographic and magnetic structure of Nd2Fe14C. J. Less-Common Mat. 1988, 144, L33–L37. [Google Scholar] [CrossRef]
- De Mooij, D.B.; Buschow, K.H.J. Formation and magnetic properties of the compounds R2Fe14C. J. Less-Common Met. 1988, 142, 349–357. [Google Scholar] [CrossRef]
- Coehoorn, R.; Duchateau, J.P.W.B.; Denissen, C.J.M. Permanent magnetic materials based on Nd2Fe14C prepared by melt spinning. J. Appl. Phys. 1989, 65, 704–709. [Google Scholar] [CrossRef]
- Buschow, K.H.J.; De Mooij, D.B.; Denissen, C.J.M. Note on the formation and the magnetic properties of the compound Nd2Fe14C. J. Less-Common Met. 1988, 141, L15–L18. [Google Scholar] [CrossRef]
- Van Mens, R. Ternary phase studies of Nd-Fe-X where X = C, Si, Ge, Pb, Sn. J. Magn. Magn. Mater. 1986, 61, 24–28. [Google Scholar] [CrossRef]
- Denissen, C.J.M.; De Mooij, D.B.; Buschow, K.H.J. Spin reorientation in Nd2Fe14C. J. Less-Common Mat. 1988, 142, 195–202. [Google Scholar] [CrossRef]
- Grieb, B.; Henig, E.-T.; Matinek, G.; Stadelmaier, H.H.; Petzow, G. Phase relations and magnetic properties of new phases in the Fe-Nd-Al and Fe-Nd-C systems and their influence on magnets. IEEE Trans. Magn. 1990, 26, 1367–1369. [Google Scholar] [CrossRef]
- Grieb, B.; Fritz, K.; Henig, E.-T. As-cast magnets based on Fe-Nd-C. J. Appl. Phys. 1991, 10, 6447–6449. [Google Scholar] [CrossRef]
- Fernengel, W. Microstructure and magnetic properties of sintered Nd-Fe-C magnets. IEEE Trans. Magn. 1994, 30, 634–635. [Google Scholar] [CrossRef]
- Sui, Y.C.; Zhang, Z.D.; Xiao, Q.F.; Liu, W.; Zhao, X.G.; Zhao, T.; Chuang, Y.C. Nd–Fe–(C, B) permanent magnets made by mechanical alloying and subsequent annealing. J. Phys.-Condens. Mat. 1996, 8, 11231–11242. [Google Scholar] [CrossRef]
- Sui, Y.C.; Zhang, Z.D.; Liu, W.; Xiao, Q.F.; Zhao, X.G.; Zhao, T.; Chuang, Y.C. Mechanically alloyed isotropic (Nd,Dy)-Fe-C magnets. J. Magn. Magn. Mater. 1997, 170, L17–L21. [Google Scholar] [CrossRef]
- Sui, Y.C.; Zhang, Z.D.; Xiao, Q.F.; Liu, W.; Zhao, T.; Zhao, X.G.; Chuang, Y.C. Structure, phase transformation and magnetic properties of Nd-Fe-C alloys made by mechanical alloying and subsequent annealing. J. Alloys Compd. 1998, 267, 215–223. [Google Scholar] [CrossRef]
- Hayashi, N.; Daniil, M.; Zhang, Y.; Hadjipanayis, G.C. Structural and magnetic properties of Nd-(Fe,M)-(C,B) melt-spun ribbons. J. Alloys Compd. 2000, 305, 290–297. [Google Scholar] [CrossRef]
- Geng, H.M.; Ji, Y.; Zhang, J.J.; Gao, Y.C.; Yan, Y.; Wang, W.Q.; Su, F.; Du, X.B. Nd2Fe14C-based magnet with better permanent magnetic properties prepared by a simple mechanochemical method. J. Magn. Magn. Mater. 2017, 441, 209–216. [Google Scholar] [CrossRef]
- Yang, J.B.; Gutfleisch, O.; Handstein, A.; Eckert, D.; Müller, K.H. High coercivity of Nd-Dy-Fe-(C,B) ribbons prepared by melt spinning. Appl. Phys. Lett. 2000, 76, 3627–3629. [Google Scholar] [CrossRef]
- Yang, J.B.; Handstein, A.; Kirchner, A.; Gutfleisch, O.; Müller, K.H. Magnetic properties of melt-spun (Nd,Dy)2Fe14(B,C). J. Alloys Compd. 2001, 316, 290–295. [Google Scholar] [CrossRef]
- Vystavkina, V.; Brekharya, G.; Vasil’yeva, E.; Leonowicz, M. Magnetic properties and microstructure of Nd-Fe-B-C magnets with Cu addition. J. Magn. Magn. Mater. 2004, 284, 69–76. [Google Scholar] [CrossRef]
- Zhang, W.Y.; Zhang, J.; Zhang, S.Y.; Shen, B.G. High coercivity Nd2(Fe,Co)14C-type ribbons prepared by melt spinning. J. Magn. Magn. Mater. 2001, 234, 284–288. [Google Scholar] [CrossRef]
- Tu, H.R.; Yan, Y.; Cai, D.; Wang, J.X.; Shang, X.Y.; Tian, H.; Su, F.; Du, X.B. Effects of solvent and annealing on phase evolutions and magnetic properties of Nd2(Fe,Co)14C hard magnetic powders prepared by mechanochemical method. Mater. Des. 2019, 183, 108140. [Google Scholar] [CrossRef]
- Liu, Z.W.; He, J.Y.; Zhou, Q.; Huang, Y.L.; Jiang, Q.Z. Development of non-rare earth grain boundary modification techniques for Nd-Fe-B permanent magnets. J. Mater. Sci. Technol. 2022, 98, 51–61. [Google Scholar] [CrossRef]
- He, J.Y.; Zhou, B.; Liao, X.F.; Liu, Z.W. Nanocrystalline alternative rare earth-iron-boron permanent magnets without Nd, Pr, Tb and Dy: A review. J. Mater. Res. Technol. 2024, 28, 2535–2551. [Google Scholar] [CrossRef]
- Wang, L.; Wang, J.; Rong, M.H.; Rao, G.H.; Zhou, H.Y. Effect of wheel speed on phase formation and magnetic properties of (Nd0.4La0.6)-Fe-B melt-spun ribbons. J. Rare Earths 2018, 36, 1179–1183. [Google Scholar] [CrossRef]
- Schneider, G.; Henig, E.-T.; Petzow, G.; Stadelmaier, H.H. Phase relations in the system Fe-Nd-B. Int. J. Mater. Res. 1986, 77, 755–761. [Google Scholar] [CrossRef]
- Poenaru, I.; Patroi, E.A.; Patroi, D.; Iorga, A.; Manta, E. HDDR as advanced processing method and recycling technology to address the rare-earth resource criticality in high performance Nd2Fe14B. J. Magn. Magn. Mater. 2023, 577, 170777. [Google Scholar] [CrossRef]
- Hütten, A.; Thomas, G. Microstructural parameters of melt-spun Nd15Fe77B8 ribbons. Ultramicroscopy 1992, 47, 447–454. [Google Scholar] [CrossRef]
- Zeng, X.R.; Sheng, H.S.; Jin, C.J.; Qian, H.X. Magnetic properties and microstructure of melt-spun Nd2Fe14B/α-Fe nanocomposite magnets with a perpendicular anisotropy. J. Magn. Magn. Mater. 2016, 401, 1155–1158. [Google Scholar] [CrossRef]
- Mishra, R.K. Microstructure of melt-spun Nd-Fe-B magnequench magnets. J. Magn. Magn. Mater. 1986, 54, 450–456. [Google Scholar] [CrossRef]
- Hashino, H.; Tazaki, Y.; Ino, H.; Ohkubo, T. Effects of Zr and C additions on the magnetic properties and structures of melt-spun Fe83Nd10B7-based nanocomposite magnets. J. Magn. Magn. Mater. 2004, 278, 68–75. [Google Scholar] [CrossRef]
- Pei, K.; Zhang, X.; Lin, M.; Yan, A. Effects of Ce-substitution on magnetic properties and microstructure of Nd–Pr–Fe–B melt-spun powders. J. Magn. Magn. Mater. 2016, 398, 96–100. [Google Scholar] [CrossRef]







Disclaimer/Publisher’s Note: The statements, opinions and data contained in all publications are solely those of the individual author(s) and contributor(s) and not of MDPI and/or the editor(s). MDPI and/or the editor(s) disclaim responsibility for any injury to people or property resulting from any ideas, methods, instructions or products referred to in the content. |
© 2024 by the authors. Licensee MDPI, Basel, Switzerland. This article is an open access article distributed under the terms and conditions of the Creative Commons Attribution (CC BY) license (https://creativecommons.org/licenses/by/4.0/).
Share and Cite
Fan, J.; Zhou, B.; Yu, H.; Liu, Z. Revisiting Rare Earth Permanent Magnetic Alloys of Nd-Fe-C. Metals 2024, 14, 1115. https://doi.org/10.3390/met14101115
Fan J, Zhou B, Yu H, Liu Z. Revisiting Rare Earth Permanent Magnetic Alloys of Nd-Fe-C. Metals. 2024; 14(10):1115. https://doi.org/10.3390/met14101115
Chicago/Turabian StyleFan, Jianing, Bang Zhou, Hongya Yu, and Zhongwu Liu. 2024. "Revisiting Rare Earth Permanent Magnetic Alloys of Nd-Fe-C" Metals 14, no. 10: 1115. https://doi.org/10.3390/met14101115
APA StyleFan, J., Zhou, B., Yu, H., & Liu, Z. (2024). Revisiting Rare Earth Permanent Magnetic Alloys of Nd-Fe-C. Metals, 14(10), 1115. https://doi.org/10.3390/met14101115

