Enhancement of γ/γ’ Microstructured Cobalt Superalloys Produced from Atomized Powder by Creating a Harmonic Structure
Abstract
1. Introduction
2. Materials and Methods
3. Results
3.1. Powder Characterization
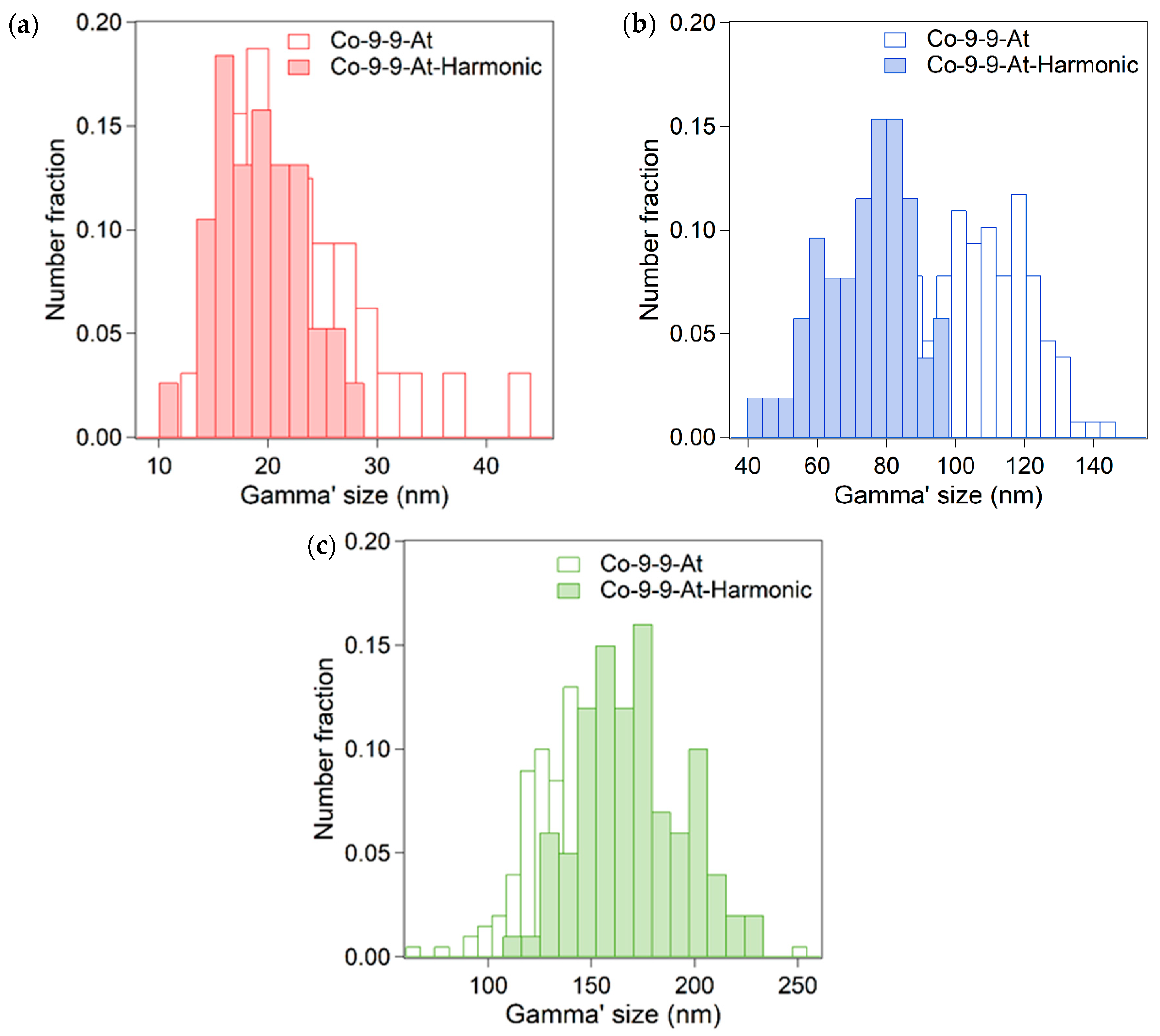
3.2. Microstructural Evolution of Consolidated Specimens
3.3. Mechanical Properties
4. Discussion
4.1. Structural and Microstructural Features
4.2. Effect of Harmonic Structure in Atomized Alloys
4.3. Mechanical Properties
5. Conclusions
- -
- When using atomized powder, γ’ is formed during the SPS consolidation process without the need for subsequent heat treatment.
- -
- This method prevents the precipitation of secondary phases, resulting in a fully dual γ/γ’ microstructure.
- -
- The orientation of γ’ is altered by the ageing heat treatment based on the prior γ grain orientation.
- -
- The energy required to precipitate γ’ phases is easily increased after low energy milling due to the activation of the distorted matrix. The promotion of γ’ precipitation is facilitated by the harmonic structure.
- -
- The increase in δ misfit value in the aged harmonic samples suggests an effective hardening mechanism.
- -
- Low energy milling also promotes a γ/γ’ microstructure without secondary phases.
- -
- The mechanical properties of the free secondary alloys produced from atomized powders remain high at high temperatures, exhibiting the so-called anomalous behavior at around 700 °C.
- -
- The mechanical properties are significantly increased by the deformation lattice produced by LEM, even exhibiting anomalous behavior at higher temperatures, around 750 °C.
- -
- The material hardness is slightly decreased by the γ’ orientation that occurs after the ageing heat treatment.
- -
- The mechanical behavior is not affected by the nominal composition of the studied alloys, at least when it is a ternary alloy with a low number of alloying elements.
Supplementary Materials
Author Contributions
Funding
Data Availability Statement
Acknowledgments
Conflicts of Interest
References
- Sato, J.; Omori, T.; Oikawa, K.; Ohnuma, I.; Kainuma, R.; Ishida, K. Cobalt-Base High-Temperature Alloys. Science 2006, 312, 90–91. [Google Scholar] [CrossRef] [PubMed]
- Suzuki, A.; DeNolf, G.C.; Pollock, T.M. Flow Stress Anomalies in γ/γ’ Two-Phase Co–Al–W-Base Alloys. Scr. Mater. 2007, 56, 385–388. [Google Scholar] [CrossRef]
- Cui, Y.F.; Zhang, X.; Xu, G.L.; Zhu, W.J.; Liu, H.S.; Jin, Z.P. Thermodynamic Assessment of Co–Al–W System and Solidification of Co-Enriched Ternary Alloys. J. Mater. Sci. 2011, 46, 2611–2621. [Google Scholar] [CrossRef]
- Yao, Q.; Xing, H.; Sun, J. Structural Stability and Elastic Property of the L12 Ordered Co3(Al,W) Precipitate. Appl. Phys. Lett. 2006, 89, 161906. [Google Scholar] [CrossRef]
- Jiang, C. First-Principles Study of Co3(Al,W) Alloys Using Special Quasi-Random Structures. Scr. Mater. 2008, 59, 1075–1078. [Google Scholar] [CrossRef]
- Ishida, K. Intermetallic Compounds in Co-Base Alloys-Phase Stability and Application to Superalloys. MRS Online Proc. Libr. 2008, 1128, 606. [Google Scholar] [CrossRef]
- Kobayashi, S.; Tsukamoto, Y.; Takasugi, T.; Chinen, H.; Omori, T.; Ishida, K.; Zaefferer, S. Determination of Phase Equilibria in the Co-Rich Co-Al-W Ternary System with a Diffusion-Couple Technique. Intermetallics 2009, 17, 1085–1089. [Google Scholar] [CrossRef]
- Chen, J.; Guo, M.; Yang, M.; Liu, L.; Zhang, J. Double Minimum Creep Processing and Mechanism for γ’ Strengthened Cobalt-Based Superalloy. J. Mater. Sci. Technol. 2022, 112, 123–129. [Google Scholar] [CrossRef]
- Chen, J.; Guo, M.; Yang, M.; Su, H.; Liu, L.; Zhang, J. Phase-Field Simulation of Γʹ Coarsening Behavior in Cobalt-Based Superalloy. Comput. Mater. Sci. 2021, 191, 110358. [Google Scholar] [CrossRef]
- Miura, S.; Ohkubo, K.; Mohri, T. Mechanical Properties of Co-Based L12 Intermetallic Compound Co3(Al,W). Mater. Trans. 2007, 48, 2403–2408. [Google Scholar] [CrossRef]
- Shinagawa, K.; Omori, T.; Oikawa, K.; Kainuma, R.; Ishida, K. Ductility Enhancement by Boron Addition in Co-Al-W High-Temperature Alloys. Scr. Mater. 2009, 61, 612–615. [Google Scholar] [CrossRef]
- Suzuki, A.; Pollock, T.M. High-Temperature Strength and Deformation of γ/γ’ Two-Phase Co–Al–W-Base Alloys. Acta Mater. 2008, 56, 1288–1297. [Google Scholar] [CrossRef]
- Singh, M.P.; Olu, E.F.; Pandey, P.; Chattopadhyay, K. Thermophysical and Magnetic Properties of Co-Ni-Mo-Al-Ta Class of Tungsten Free Co-Based Superalloys. J. Alloys Compd. 2021, 879, 160379. [Google Scholar] [CrossRef]
- Long, F.R.; Baik, S.I.; Chung, D.W.; Xue, F.; Lass, E.A.; Seidman, D.N.; Dunand, D.C. Microstructure and Creep Performance of a Multicomponent Co-Based L12–Ordered Intermetallic Alloy. Acta Mater. 2020, 196, 396–408. [Google Scholar] [CrossRef]
- Chung, D.-W.; Toinin, J.P.; Lass, E.A.; Seidman, D.N.; Dunand, D.C. Effects of Cr on the Properties of Multicomponent Cobalt-Based Superalloys with Ultra High γ’ Volume Fraction. J. Alloys Compd. 2020, 832, 154790. [Google Scholar] [CrossRef]
- Lass, E.A. The Effects of Fe and Si on the Phase Equilibria in a γ’-Strengthened Co–Al–W-Based Superalloy. J. Alloys Compd. 2020, 825, 154158. [Google Scholar] [CrossRef]
- Shinagawa, K.; Omori, T.; Sato, J.; Oikawa, K.; Ohnuma, I.; Kainuma, R.; Ishida, K. Phase Equilibria and Microstructure on γ’ Phase in Co-Ni-Al-W System. Mater. Trans. 2008, 49, 1474–1479. [Google Scholar] [CrossRef]
- Omori, T.; Oikawa, K.; Sato, J.; Ohnuma, I.; Kattner, U.R.; Kainuma, R.; Ishida, K. Partition Behavior of Alloying Elements and Phase Transformation Temperatures in Co-Al-W-Base Quaternary Systems. Intermetallics 2013, 32, 274–283. [Google Scholar] [CrossRef]
- Ooshima, M.; Tanaka, K.; Okamoto, N.L.; Kishida, K.; Inui, H. Effects of Quaternary Alloying Elements on the γ’ Solvus Temperature of Co-Al-W Based Alloys with Fcc/L12 Two-Phase Microstructures. J. Alloys Compd. 2010, 508, 71–78. [Google Scholar] [CrossRef]
- Mottura, A.; Janotti, A.; Pollock, T.M. A First-Principles Study of the Effect of Ta on the Superlattice Intrinsic Stacking Fault Energy of L12-Co3(Al,W). Intermetallics 2012, 28, 138–143. [Google Scholar] [CrossRef]
- Mottura, A.; Janotti, A.; Pollock, T.M. Alloying Effects in the Gamma Prime Phase of Co-Base Superalloys. In Proceedings of the Superalloys 2012: 12th International Symposium on Superalloys, Seven Springs, PA, USA, 9–13 September 2012; pp. 685–693. [Google Scholar] [CrossRef]
- Xue, F.; Wang, M.; Feng, Q. Alloying Effects on Heat-Treated Microstructure in Co-Al-W-Base Superalloys at 1300 °C and 900 °C. Superalloys 2012, 2012, 813–821. [Google Scholar] [CrossRef]
- Makineni, S.K.; Samanta, A.; Rojhirunsakool, T.; Alam, T.; Nithin, B.; Singh, A.K.; Banerjee, R.; Chattopadhyay, K. A New Class of High Strength High Temperature Cobalt Based γ–γ’ Co–Mo–Al Alloys Stabilized with Ta Addition. Acta Mater. 2015, 97, 29–40. [Google Scholar] [CrossRef]
- Davydov, D.; Kazantseva, N.; Ezhov, I.; Popova, E. Effect of Alloying on the γ-γ’ Microstructure of W-Free Co-Based Superalloys. Mater. Today Proc. 2021, 38, 1971–1973. [Google Scholar] [CrossRef]
- Reyes Tirado, F.L.; Taylor, S.V.; Dunand, D.C. Low-Density, W-Free Co–Nb–V–Al-Based Superalloys with γ/γ’ Microstructure. Mater. Sci. Eng. A 2020, 796, 139977. [Google Scholar] [CrossRef]
- Reyes Tirado, F.L.; Dunand, D.C. Increasing γ’ Volume Fraction in Co–Nb–V- and Co–Ta–V-Based Superalloys. J. Mater. Res. Technol. 2021, 11, 2305–2313. [Google Scholar] [CrossRef]
- Liu, X.; Chen, Z.; Chen, Y.; Yang, S.; Pan, Y.; Lu, Y.; Qu, S.; Li, Y.; Yang, Y.; Wang, C. Multicomponent Co-Ti-Based Superalloy with High Solvus Temperature and Low Lattice Misfit. Mater. Lett. 2021, 284, 128910. [Google Scholar] [CrossRef]
- Im, H.J.; Choi, W.S.; Ryou, K.; Seol, J.B.; Kang, T.H.; Ko, W.-S.; Choi, P.-P. Enhanced Microstructural Stability of γ/γ’-Strengthened Co-Ti-Mo-Based Alloys through Al Additions. Acta Mater. 2021, 214, 117011. [Google Scholar] [CrossRef]
- Liang, Z.; Göken, M.; Lorenz, U.; Neumeier, S.; Oehring, M.; Pyczak, F.; Stark, A.; Wang, L. Influence of Small Amounts of Si and Cr on the High Temperature Oxidation Behavior of Novel Cobalt Base Superalloys. Corros. Sci. 2021, 184, 109388. [Google Scholar] [CrossRef]
- Cartón-Cordero, M.; Campos, M.; Freund, L.P.; Kolb, M.; Neumeier, S.; Göken, M.; Torralba, J.M. Microstructure and Compression Strength of Co-Based Superalloys Hardened by γ’ and Carbide Precipitation. Mater. Sci. Eng. A 2018, 734, 437–444. [Google Scholar] [CrossRef]
- Casas, R.; Gálvez, F.; Campos, M. Microstructural Development of Powder Metallurgy Cobalt-Based Superalloys Processed by Field Assisted Sintering Techniques (FAST). Mater. Sci. Eng. A 2018, 724, 461–468. [Google Scholar] [CrossRef]
- Vajpai, S.K.; Ameyama, K. A Novel Powder Metallurgy Processing Approach to Prepare Fine-Grained Ti-Rich TiAl-Based Alloys from Pre-Alloyed Powders. Intermetallics 2013, 42, 146–155. [Google Scholar] [CrossRef]
- Sawangrat, C.; Yamaguchi, O.; Vajpai, S.K.; Ameyama, K. Application of Harmonic Structure Design to Biomedical Co-Cr-Mo Alloy for Improved Mechanical Properties. Mater. Trans. 2014, 55, 99–105. [Google Scholar] [CrossRef]
- Yuan, Y.; Wang, Z.; Zheng, R.; Hao, X.; Ameyama, K.; Ma, C. Effect of Mechanical Alloying and Sintering Process on Microstructure and Mechanical Properties of Al-Ni-Y-Co-La Alloy. Trans. Nonferrous Met. Soc. China 2014, 24, 2251–2257. [Google Scholar] [CrossRef]
- Vajpai, S.K.; Sawangrat, C.; Yamaguchi, O.; Ciuca, O.P.; Ameyama, K. Effect of Bimodal Harmonic Structure Design on the Deformation Behaviour and Mechanical Properties of Co-Cr-Mo Alloy. Mater. Sci. Eng. C 2016, 58, 1008–1015. [Google Scholar] [CrossRef] [PubMed]
- Zhang, Z.; Vajpai, S.K.; Orlov, D.; Ameyama, K. Improvement of Mechanical Properties in SUS304L Steel through the Control of Bimodal Microstructure Characteristics. Mater. Sci. Eng. A 2014, 598, 106–113. [Google Scholar] [CrossRef]
- Thompson, K.; Lawrence, D.; Larson, D.J.; Olson, J.D.; Kelly, T.F.; Gorman, B. In Situ Site-Specific Specimen Preparation for Atom Probe Tomography. Ultramicroscopy 2007, 107, 131–139. [Google Scholar] [CrossRef]
- Mughrabi, H. The Importance of Sign and Magnitude of γ/γ’ Lattice Misfit in Superalloys—With Special Reference to the New γ’-Hardened Cobalt-Base Superalloys. Acta Mater. 2014, 81, 21–29. [Google Scholar] [CrossRef]
- Davis, J.R. ASM Specialty Handbook: Nickel, Cobalt, and Their Alloys; ASM International: Almere, The Netherlands, 2000; ISBN 978-0-87170-685-0. [Google Scholar]
- Li, M.; Coakley, J.; Isheim, D.; Tian, G.; Shollock, B. Influence of the Initial Cooling Rate from γ’ Supersolvus Temperatures on Microstructure and Phase Compositions in a Nickel Superalloy. J. Alloys Compd. 2018, 732, 765–776. [Google Scholar] [CrossRef]
- Mitchell, R.J.; Preuss, M.; Hardy, M.C.; Tin, S. Influence of Composition and Cooling Rate on Constrained and Unconstrained Lattice Parameters in Advanced Polycrystalline Nickel–Base Superalloys. Mater. Sci. Eng. A 2006, 423, 282–291. [Google Scholar] [CrossRef]
- Singh, A.R.P.; Nag, S.; Chattopadhyay, S.; Ren, Y.; Tiley, J.; Viswanathan, G.B.; Fraser, H.L.; Banerjee, R. Mechanisms Related to Different Generations of γ’ Precipitation during Continuous Cooling of a Nickel Base Superalloy. Acta Mater. 2013, 61, 280–293. [Google Scholar] [CrossRef]









| Atomizing Co-9-9-At | Low Energy Milling Co-9-9-At-Harmonic | |
|---|---|---|
| Gas atomizing N2 | Milling tools | Stainless Steel |
| Speed (rpm) | 150 | |
| Ball: Powder ratio (wt.) | 1.8:1 | |
| Atmosphere | Ar | |
| Sample | Plane (1 1 1) of γ-Phase | ||
|---|---|---|---|
| L (nm) | <ε2>1/2·10−3 | a (Å) | |
| Pure fcc-Co | 12.2 | 0.005 | 3.540 |
| Co-9-9-At | 26.6 | 0.002 | 3.567 |
| Co-9-9-At-Harmonic | 12.6 | 0.005 | 3.588 |
| Material | Curie T (°C) |
|---|---|
| Pure powder Co-fcc | 470 |
| Co-9-9-At | 260 |
| Co-9-9-At-Harmonic | 350 |
| Sample | γ’ Size (nm) | ||
| As-Sintered | Homogenized | Aged | |
| Co-9-9-At | 28 ± 5 | 106 ± 15 | 146 ± 26 |
| Co-9-9-At-Harmonic | 19 ± 4 | 75 ± 13 | 173 ± 30 |
| γ’ volume fraction | |||
| As-sintered | Homogenized | Aged | |
| Co-9-9-At | 75% | 71% | 65% |
| Co-9-9-At-Harmonic | 82% | 76% | 59% |
Disclaimer/Publisher’s Note: The statements, opinions and data contained in all publications are solely those of the individual author(s) and contributor(s) and not of MDPI and/or the editor(s). MDPI and/or the editor(s) disclaim responsibility for any injury to people or property resulting from any ideas, methods, instructions or products referred to in the content. |
© 2024 by the authors. Licensee MDPI, Basel, Switzerland. This article is an open access article distributed under the terms and conditions of the Creative Commons Attribution (CC BY) license (https://creativecommons.org/licenses/by/4.0/).
Share and Cite
Campos, M.; Cartón-Cordero, M.; García de la Cruz, L.; Caballero, F.G.; Poplawsky, J.D.; Torralba, J.M. Enhancement of γ/γ’ Microstructured Cobalt Superalloys Produced from Atomized Powder by Creating a Harmonic Structure. Metals 2024, 14, 70. https://doi.org/10.3390/met14010070
Campos M, Cartón-Cordero M, García de la Cruz L, Caballero FG, Poplawsky JD, Torralba JM. Enhancement of γ/γ’ Microstructured Cobalt Superalloys Produced from Atomized Powder by Creating a Harmonic Structure. Metals. 2024; 14(1):70. https://doi.org/10.3390/met14010070
Chicago/Turabian StyleCampos, Mónica, Marta Cartón-Cordero, Lucía García de la Cruz, Francisca G. Caballero, Jonathan D. Poplawsky, and José M. Torralba. 2024. "Enhancement of γ/γ’ Microstructured Cobalt Superalloys Produced from Atomized Powder by Creating a Harmonic Structure" Metals 14, no. 1: 70. https://doi.org/10.3390/met14010070
APA StyleCampos, M., Cartón-Cordero, M., García de la Cruz, L., Caballero, F. G., Poplawsky, J. D., & Torralba, J. M. (2024). Enhancement of γ/γ’ Microstructured Cobalt Superalloys Produced from Atomized Powder by Creating a Harmonic Structure. Metals, 14(1), 70. https://doi.org/10.3390/met14010070

