Study on Microstructure and Hydrogen Storage Properties of Mg80Ni16−xAlxY4 (x = 2, 4, 8) Alloys
Abstract
1. Introduction
2. Experiment
2.1. Alloy Preparation
2.2. Characterization
2.3. Hydrogen Storage Property
3. Experimental Results and Discussion
3.1. Phase Composition of the Original as-Cast Alloys
3.2. Microstructure of the Original as-Cast Alloys
3.3. Hydrogen Absorption/Desorption Activation and Kinetic Properties
3.4. Hydrogen Absorption Thermodynamics and Low-Pressure Hydrogenation Properties
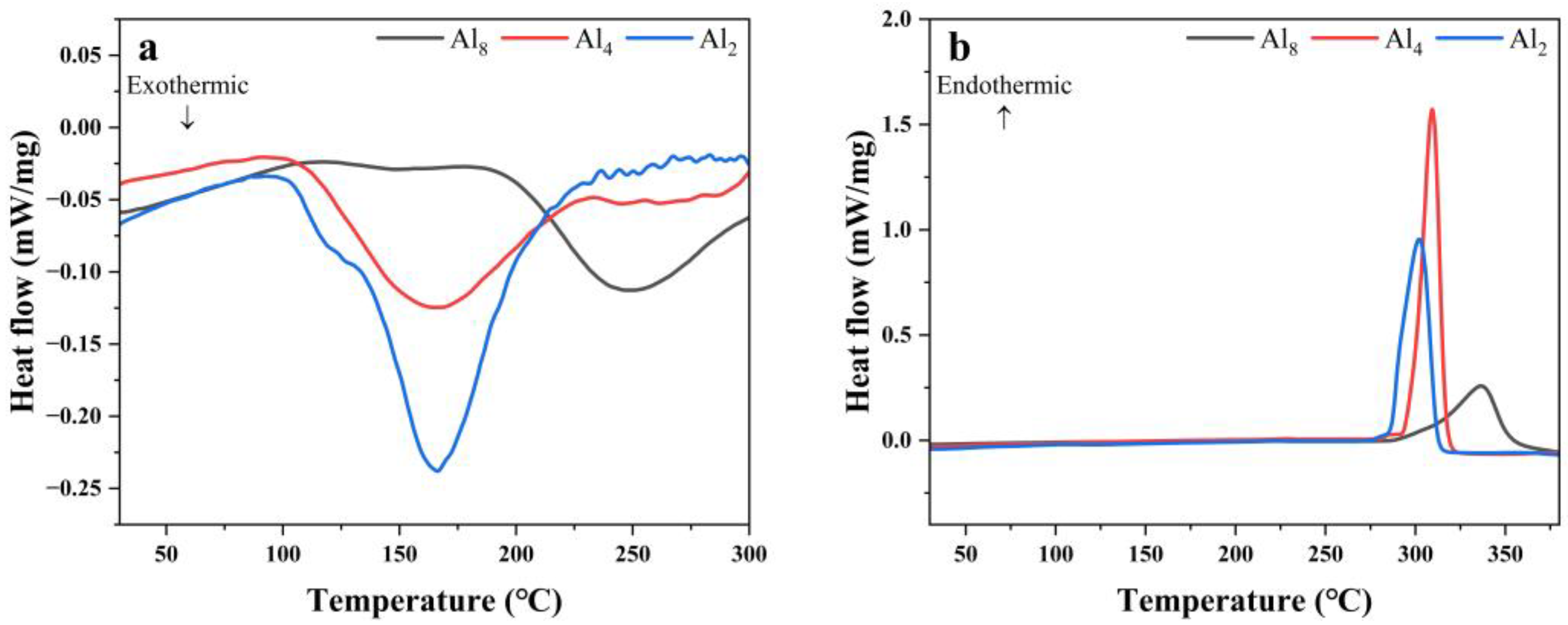
3.5. Phase Transformation during Hydrogen Ab/Desorption
4. Conclusions
- Mg80Ni16−xAlxY4 (x = 2, 4, 8) alloys present multi-phase microstructure, including Mg, Mg2Ni, YMgNi4, AlNi, Mg15NiY, and Al3Ni2Y. An increase in Al resulted in a decrease in Mg2Ni and YMgNi4 due to the reduction in Ni while promoting Al3Ni2Y;
- The Al4 alloy showed fine Mg, Mg2Ni, and Mg15NiY ternary eutectic. However, grain coarsening was induced by a further increase in Al. Instead of ternary eutectic, the Al8 alloy revealed binary eutectic and independently solidified Mg caused by alternation of the solidification path;
- The Al2 and Al4 alloys can be hydrogenated at no more than 200 °C. But increase in Al elevated the apparent activation energy and worsened the activation and hydrogen absorption kinetic property;
- More than 4 wt.% hydrogen can be absorbed by all the alloys at 300 °C. Al reduced the hydrogen absorption enthalpy, leading to an increase in the thermodynamic stability of MgH2. Al improved low-pressure hydrogen absorption ability, and 3.5 wt.% hydrogen could be absorbed by Al4 alloy under only 1 bar hydrogen pressure at 250 °C.
Supplementary Materials
Author Contributions
Funding
Data Availability Statement
Conflicts of Interest
References
- Shang, Y.Y.; Pistidda, C.; Gizer, G.; Klassen, T.; Dornheim, M. Mg-based materials for hydrogen storage. J. Magnes. Alloys 2021, 9, 1837–1860. [Google Scholar] [CrossRef]
- Han, B.; Yu, S.B.; Wang, H.; Lu, Y.S.; Lin, H.J. Nanosize effect on the hydrogen storage properties of Mg-based amorphous alloy. J. Scr. Mater. 2022, 216, 114736. [Google Scholar] [CrossRef]
- Edalati, K.; Akiba, E.; Botta, W.J.; Estrin, Y.; Floriano, R.; Fruchart, D.; Grosdidier, T.; Horita, Z.; Huot, J.; Li, H.W.; et al. Impact of severe plastic deformation on kinetics and thermodynamics of hydrogen storage in magnesium and its alloys. J. Mater. Sci. 2023, 146, 221–239. [Google Scholar] [CrossRef]
- Guo, M.C.; Wang, H.; Liu, J.W.; Ouyang, L.Z. Improving hydrogen-induced crystallization and electrochemical hydrogen storage properties of MgNi amorphous alloy with CoB addition. J. Non-Cryst. Solids 2022, 588, 121646. [Google Scholar] [CrossRef]
- Xu, N.; Yuan, Z.R.; Ma, Z.H.; Guo, X.L.; Zhu, Y.F.; Zou, Y.J.; Zhang, Y. Effects of highly dispersed Ni nanoparticles on the hydrogen storage performance of MgH2. Int. J. Miner. Met. Mater. 2023, 30, 54–62. [Google Scholar] [CrossRef]
- Cao, W.C.; Ding, X.; Zhang, Y.; Zhang, J.X.; Chen, R.R.; Su, Y.Q.; Guo, J.J.; Fu, H.Z. Enhanced de-/hydrogenation kinetics of a hyper-eutectic Mg85Ni15- xAgx alloy facilitated by Ag dissolving in Mg2Ni. J. Alloys Compd. 2022, 917, 165457. [Google Scholar] [CrossRef]
- Li, Z.J.; Zhou, C.S.; Fang, Z.G.Z.; Robert, C.B.J.; Lu, J.; Chai, R. Isothermal hydrogenation kinetics of ball-milled nano-catalyzed magnesium hydride. Materialia 2019, 5, 100227. [Google Scholar] [CrossRef]
- Imamura, H.; Masanari, K.; Kushara, M.; Katsuoto, H.; Sumi, T.; Sakata, Y. High hydrogen storage capacity of nanosized magnesium synthesized by high energy ball-milling. J. Alloys Compd. 2005, 386, 211–216. [Google Scholar] [CrossRef]
- Shao, H.; Felderhoff, M.; Schüth, F. Hydrogen storage properties of nanostructured MgH2/TiH2 composite prepared by ball milling under high hydrogen pressure. Int. J. Hydrogen Energy 2011, 36, 10828–10833. [Google Scholar] [CrossRef]
- Li, W.Y.; Li, C.S.; Ma, H.; Chen, J. Magnesium nanowires: Enhanced kinetics for hydrogen absorption and desorption. J. Am. Chem. Soc. 2007, 129, 6710–6711. [Google Scholar] [CrossRef]
- Sui, Y.Q.; Yuan, Z.M.; Zhou, D.S.; Zhai, T.T.; Li, X.M.; Feng, D.C.; Li, Y.M.; Zhang, Y.H. Recent progress of nanotechnology in enhancing hydrogen storage performance of magnesium-based materials: A review. Int. J. Hydrogen Energy 2022, 47, 30546–30566. [Google Scholar] [CrossRef]
- Wang, Z.X.; Tian, Z.H.; Yao, P.F.; Zhao, H.M.; Xia, C.Q.; Yang, T. Improved hydrogen storage kinetic properties of magnesium-based materials by adding Ni2P. Renew. Energy 2022, 189, 559–569. [Google Scholar]
- Lu, Z.Y.; Yu, H.J.; Lu, X.; Song, M.C.; Wu, F.Y.; Zheng, J.G.; Yuan, Z.F.; Zhang, L.T. Two-dimensional vanadium nanosheets as a remarkably effective catalyst for hydrogen storage in MgH2. Rare Met. 2021, 40, 3195–3204. [Google Scholar] [CrossRef]
- Jangir, M.; Jain, A.; Yamaguchi, S.; Ichikawa, T.; Lal, C.; Jain, I.P. Catalytic effect of TiF4 in improving hydrogen storage properties of MgH2. Int. J. Hydrogen Energy 2016, 41, 14178–14183. [Google Scholar] [CrossRef]
- Kuamr, S.; Jain, A.; Yamaguchi, S.; Miyaoka, H.; Ichikawa, T.; Mukherjee, A.; Dey, G.K.; Kojima, Y. Surface modification of MgH2 by ZrCl4 to tailor the reversible hydrogen storage performance. Int. J. Hydrogen Energy 2017, 42, 6152–6159. [Google Scholar] [CrossRef]
- Tan, X.F.; Kim, M.; Yasuda, K.; Nogita, K. Strategies to enhance hydrogen storage performances in bulk Mg-based hydrides. J. Mater. Sci. Technol. 2023, 153, 139–158. [Google Scholar] [CrossRef]
- Yang, X.L.; Lu, X.H.; Zhang, J.Q.; Hou, Q.H.; Zou, J.H. Progress in improving hydrogen storage properties of Mg-based materials. Mater. Today Adv. 2023, 19, 100387. [Google Scholar]
- Darriet, B.; Pezat, M.; Hbika, A.; Hagenmuller, P. Application of magnesium rich rare-earth alloys to hydrogen storage. Int. J. Hydrogen Energy 1980, 5, 173–178. [Google Scholar] [CrossRef]
- Hanada, N.; Ichikawa, T.; Fujii, H. Catalytic effect of nanoparticle 3d-transition metals on hydrogen storage properties in magnesium hydride MgH2 prepared by mechanical milling. J. Phys. Chem. B 2005, 109, 7188–7194. [Google Scholar] [CrossRef]
- Yong, H.; Wang, S.; Ma, J.W.; Zhang, K.W.; Zhao, D.L.; Hu, J.F.; Zhang, Y.H. Dual-tuning of de/hydrogenation kinetic properties of Mg-based hydrogen storage alloy by building a Ni-/Co-multi-platform collaborative system. Int. J. Hydrogen Energy 2021, 46, 24202–24213. [Google Scholar] [CrossRef]
- Yong, H.; Wei, X.; Wang, Y.H.; Guo, S.H.; Yuan, Z.M.; Qi, Y.; Zhao, D.L.; Zhang, Y.H. Phase evolution, thermodynamics and kinetics property of transition metal (TM = Zr, Ti, V) catalyzed Mg-Ce-Y-Ni hydrogen storage alloys. J. Phys. Chem. Solids 2020, 144, 109516. [Google Scholar] [CrossRef]
- Xie, L.S.; Li, J.S.; Zhang, T.B.; Kou, H.C. De/hydrogenation kinetics against air exposure and microstructure evolution during hydrogen absorption/desorption of Mg-Ni-Ce alloys. Renew. Energy 2017, 113, 1399–1407. [Google Scholar] [CrossRef]
- Li, Y.; Gu, Q.F.; Li, Q.; Zhang, T.F. In-situ synchrotron X-ray diffraction investigation on hydrogen-induced decomposition of long period stacking ordered structure in Mg–Ni–Y system. Scr. Mater. 2017, 127, 102–107. [Google Scholar] [CrossRef]
- Song, W.J.; Dong, H.P.; Zhang, G.; Liu, J.; Yang, G.; Liu, Y.H.; Li, Y.Z.; Li, J.S.; Shen, J.H.; Chen, Y.X.; et al. Enhanced hydrogen absorption kinetics by introducing fine eutectic and long-period stacking ordered structure in ternary eutectic Mg-Ni-Y alloy. J. Alloys Compd. 2020, 820, 153187. [Google Scholar] [CrossRef]
- Kang, H.L.; Yong, H.; Wang, J.Z.; Xu, S.X.; Li, L.J.; Wang, S.; Hu, J.F.; Zhang, Y.H. Characterization on the kinetics and thermodynamics of Mg-based hydrogen storage alloy by the multiple alloying of Ce, Ni and Y elements. Mater. Charact. 2021, 182, 111583. [Google Scholar] [CrossRef]
- Yu, Y.C.; Ji, S.Q.; Zhang, S.H.; Wang, S.; Chen, Y.W.; Yong, H.; Liu, B.S.; Zhang, Y.H. Microstructure characteristics, hydrogen storage thermodynamic and kinetic properties of Mg–Ni–Y based hydrogen storage alloys. Int. J. Hydrogen Energy 2022, 47, 27059–27070. [Google Scholar] [CrossRef]
- Zhou, S.C.; Pan, R.K.; Luo, T.P.; Wu, D.H.; Wei, L.T.; Tang, B.Y. Ab initio study of effects of Al and Y co-doping on destabilizing of MgH2. Int. J. Hydrogen Energy 2014, 39, 9254–9261. [Google Scholar] [CrossRef]
- Tang, R.; Liu, Y.Q.; Zhu, C.C.; Zhu, J.W.; Yu, G. Effect of Al substitution for Co on the hydrogen storage characteristics of Ml0.8Mg0.2Ni3.2Co0.6−xAlx (x = 0–0.6) alloys. Intermetallics 2006, 14, 361–366. [Google Scholar] [CrossRef]
- Yang, T.; Zhai, T.T.; Yuan, Z.M.; Bu, W.G.; Xu, S.; Zhang, Y.H. Hydrogen storage properties of LaMgNi3.6M0.4 (M = Ni, Co, Mn, Cu, Al) alloys. J. Alloys Compd. 2014, 617, 29–33. [Google Scholar] [CrossRef]
- Sun, X.Z.; Pan, H.G.; Gao, M.X.; Li, R.; Lin, Y.; Ma, S. Cycling stability of La-Mg-Ni-Co type hydride electrode with Al. Trans. Nonferrous Met. Soc. China 2006, 16, s834–s838. [Google Scholar] [CrossRef]
- Ershova, O.G.; Dobrovolaky, V.D.; Solonin, Y.M.; Khyzhun, O.Y.; Koval, A.Y. The effect of Al on thermal stability and kinetics of decomposition of MgH2 prepared by mechanochemical reaction at different conditions. Mater. Chem. Phys. 2015, 162, 408–416. [Google Scholar] [CrossRef]
- Kan, H.; Zhang, N.; Wang, H. Al-Mg Alloy powders for hydrogen storage. Adv. Chem. Eng. 2012, 550–553, 497–501. [Google Scholar] [CrossRef]
- Li, S.J.; Yang, L.L.; Zhu, Y.F.; Liu, Y.; Zhang, J.G.; Li, L.Q. Mechanism of improving hydrogenation of Mg by in-situ formation of Al* in hydriding combustion synthesis. J. Alloys Compd. 2022, 911, 164969. [Google Scholar] [CrossRef]
- Lan, Z.Q.; Peng, W.Q.; Wei, W.L.; Xu, L.Q.; Guo, J. Preparation and hydrogen storage properties of Mg-Al-Li solid solution. Int. J. Hydrogen Energy 2016, 41, 6134–6138. [Google Scholar] [CrossRef]
- Liu, T.; Qin, C.G.; Zhu, M.; Cao, Y.R.; Shen, H.L.; Li, X.G. Synthesis and hydrogen storage properties of Mg-La-Al nanoparticles. J. Power Sources 2012, 219, 100–105. [Google Scholar] [CrossRef]
- Crivello, J.-C.; Nobuki, T.; Kato, S.; Abe, M.; Kuji, T. Hydrogen absorption properties of the γ-Mg17Al12 phase and its Al-richer domain. J. Alloys Compd. 2007, 446–447, 157–161. [Google Scholar] [CrossRef]
- Lu, W.C.; Ou, S.F.; Lin, M.H.; Wong, M.F. Hydrogen absorption/desorption performance of Mg-Al alloys synthesized by reactive mechanical milling and hydrogen pulverization. J. Alloys Compd. 2016, 682, 318–325. [Google Scholar] [CrossRef]
- Zhong, H.C.; Wang, H.; Ouyang, L.Z. Improving the hydrogen storage properties of MgH2 by reversibly forming Mg-Al solid solution alloys. Int. J. Hydrogen Energy 2014, 39, 3320–3326. [Google Scholar] [CrossRef]
- Cao, W.C.; Ding, X.; Zhang, Y.; Zhang, J.X.; Chen, R.R.; Su, Y.Q.; Guo, J.J.; Fu, H.Z. Formation of AlNi phase and its influence on hydrogen absorption kinetics of Mg77Ni23-xAlx alloys at intermediate temperatures. Int. J. Hydrogen Energy 2022, 47, 25733–25744. [Google Scholar] [CrossRef]
- Ren, L.; Li, Y.H.; Lin, X.; Ding, W.J.; Zou, J.X. Promoting hydrogen industry with high-capacity Mg-based solid-state hydrogen storage materials and systems. Front. Energy 2023, 17, 320–323. [Google Scholar] [CrossRef]
- Wang, H.G.; Liu, Y.F.; Zhang, J. Hydrogen purification by Mg alloy hydrogen adsorbent. Adsorption 2022, 28, 85–95. [Google Scholar] [CrossRef]
- Saville, A.I.; Creuziger, A.; Mitchell, E.B.; Vogel, S.C.; Benzing, J.T.; Klemm-Toole, J.; Clarke, K.D.; Clarke, A.J. MAUD Rietveld Refinement Software for Neutron Diffraction Texture Studies of Single and Dual-Phase Materials. Integr. Mater. Manuf. Innov. 2021, 10, 36936346. [Google Scholar] [CrossRef] [PubMed]
- Sheppard, D.A.; Paskevicius, M.; Javadian, P.; Davies, I.J.; Buckley, C.E. Methods for accurate high-temperature Sieverts-type hydrogen measurements of metal hydrides. J. Alloys Compd. 2019, 787, 1225–1237. [Google Scholar] [CrossRef]
- Zhu, Y.M.; Morton, A.J.; Nie, J.F. The 18R and 14H long-period stacking ordered structures in Mg–Y–Zn alloys. Acta Mater. 2010, 58, 2936–2947. [Google Scholar] [CrossRef]
- Asadi, A.H.; Kalayeh, P.M.; Mirzadeh, H.; Malekan, M.; Emamy, M. Precipitation kinetics and mechanical properties of Mg–Y–Zn and Mg–Y–Ni alloys containing long-period stacking ordered (LPSO) structures. J. Mater. Res. Technol. 2023, 24, 9513–9522. [Google Scholar] [CrossRef]
- Jiang, M.; Zhang, S.; Bi, Y.D.; Li, Y.P.; Qin, G.W. Phase equilibria of the long-period stacking ordered phase in the Mg–Ni–Y system. Intermetallics 2015, 57, 127–132. [Google Scholar] [CrossRef]
- Lu, R.P.; Jiao, K.; Li, N.T.; Hou, H.; Wang, J.F.; Zhao, Y.H. Microstructure and damping properties of LPSO phase dominant Mg-Ni-Y and Mg-Zn-Ni-Y alloys. J. Alloys Compd. 2022, 250543791. [Google Scholar] [CrossRef]
- Song, W.J.; Ma, W.H.; He, S.; Chen, W.; Shen, J.H.; Sun, D.L.; Wei, Q.M.; Yu, X.B. TiO2@C catalyzed hydrogen storage performance of Mg-Ni-Y alloy with LPSO and ternary eutectic structure. J. Alloys Compd. 2023, 258666888. [Google Scholar] [CrossRef]
- Friedrichs, O.; Sánchez-López, J.C.; López-Cartes, C.; Dornheim, M.; Klasssen, T.; Bormann, R.; Fernández, A. Chemical and microstructural study of the oxygen passivation behaviour of nanocrystalline Mg and MgH2. Appl. Surf. Sci. 2006, 252, 2334–2345. [Google Scholar] [CrossRef]
- Avrami, M. Kinetics of Phase Change. I General Theory. J. Chem. Phys. 1939, 7, 1103–1112. [Google Scholar] [CrossRef]
- Xu, E.; You, X.M.; Bu, C.; Zhang, L.F.; Wang, Q.; Zhao, Z.G. Influence of micro-amount O2 or N2 on the hydrogenation/dehydrogenation kinetics of hydrogen-storage material MgH2. Int. J. Hydrogen Energy 2017, 42, 8057–8062. [Google Scholar] [CrossRef]
- Hou, Q.H.; Zhang, J.Q.; Guo, X.T.; Xu, G.Z.; Yang, X.L. Synthesis of low-cost biomass charcoal-based Ni nanocatalyst and evaluation of their kinetic enhancement of MgH2. Int. J. Hydrogen Energy 2022, 47, 15209–15223. [Google Scholar] [CrossRef]
- Dong, J.J.; Panda, S.; Zhu, W.; Zou, J.X.; Ding, W.J. Enhanced hydrogen sorption properties of MgH2 when doped with mechanically alloyed amorphous Zr0.67Ni0.33 particles. Int. J. Hydrogen Energy 2020, 45, 28144–28153. [Google Scholar] [CrossRef]
- Aono, K.; Orimo, S.; Fujii, H. Structural and hydriding properties of MgYNi4:: A new intermetallic compound with C15b-type Laves phase structure. J. Alloys Compd. 2000, 309, L1–L4. [Google Scholar] [CrossRef]
















| Alloys | Position | Atomic Percent (%) | Phase | |||
|---|---|---|---|---|---|---|
| Mg | Ni | Al | Y | |||
| Al2 | A | 98.42 | 1.58 | - | - | Mg |
| B | 15.16 | 63.84 | 5.41 | 16.00 | YMgNi4 | |
| C | - | 48.51 | 51.49 | - | AlNi | |
| D | 71.15 | 25.47 | - | 3.38 | Mg2Ni | |
| E | 94.06 | 2.85 | - | 3.09 | Mg15NiY (LPSO) | |
| Al4 | A | 98.50 | 1.50 | - | - | Mg |
| B | - | 49.69 | 51.31 | - | AlNi | |
| C | 15.78 | 59.80 | 6.54 | 17.88 | YMgNi4 | |
| D E | 91.66 73.01 | 5.22 22.63 | 4.12 - | - 4.36 | Mg15NiY (LPSO) Mg2Ni | |
| Al8 | A | 99.55 | 0.45 | - | - | Mg |
| B | - | 33.86 | 48.03 | 18.11 | Al3Ni2Y | |
| C | 90.14 | 4.07 | - | 5.46 | Mg15NiY (LPSO) | |
| D | 70.23 | 26.56 | - | 3.21 | Mg2Ni | |
| Samples | Temperature (°C) | Hab (wt.%) | Pab (Bar) |
|---|---|---|---|
| Mg80Ni14Al2Y4 | 200 | 3.63 | 0.07 |
| 250 | 3.72 | 0.49 | |
| 300 | 4.14 | 2.16 | |
| Mg80Ni12Al4Y4 | 200 | 4.46 | 0.06 |
| 250 | 4.16 | 0.42 | |
| 300 | 4.54 | 1.92 | |
| Mg80Ni8Al8Y4 | 200 | 3.50 | 0.06 |
| 250 | 3.45 | 0.20 | |
| 300 | 4.31 | 1.90 |
| Phase | Hydrogenated (wt.%) | Dehydrogenated (wt.%) | ||||
|---|---|---|---|---|---|---|
| Al2 | Al4 | Al8 | Al2 | Al4 | Al8 | |
| MgH2 | 65.26 (±4.57) | 71.41 (±2.07) | 73.32 (±0.87) | - | - | - |
| Mg2NiH4 | 16.62 (±1.17) | 13.94 (±0.38) | 1.89 (±0.10) | - | - | - |
| Mg2NiH0.29 | 4.59 (±0.44) | 3.94 (±0.90) | - | - | - | - |
| YH2 | 1.35 (±0.0) | 2.73 (±0.61) | 1.16 (±0.05) | 1.85 (±0.08) | 3.34 (±0.01) | 1.93 (±0.07) |
| YH3 | 1.10 (±0.14) | 1.32 (±0.30) | 0.01 (±0.05) | 1.71 (±0.10) | 0.78 (±0.09) | 0.28 (±0.07) |
| AlNi | 9.46 (±0.69) | 6.12 (±1.40) | - | 1.95 (±0.13) | 7.81 (±0.25) | - |
| Mg | - | - | 5.48 (±0.20) | 51.67 (±0.01) | 65.14 (±1.72) | 75.56 (±0.0) |
| Al3Ni2Y | - | - | 18.14 (±0.0) | - | - | 16.91 (±0.25) |
| YMgNi4 | 1.61 (±0.21) | 0.53 (±0.01) | - | 11.81 (±0.19) | 0.78 (±0.13) | - |
| Mg2Ni | - | - | - | 31.02 (±0.42) | 22.16 (±0.62) | 5.61 (±0.23) |
Disclaimer/Publisher’s Note: The statements, opinions and data contained in all publications are solely those of the individual author(s) and contributor(s) and not of MDPI and/or the editor(s). MDPI and/or the editor(s) disclaim responsibility for any injury to people or property resulting from any ideas, methods, instructions or products referred to in the content. |
© 2024 by the authors. Licensee MDPI, Basel, Switzerland. This article is an open access article distributed under the terms and conditions of the Creative Commons Attribution (CC BY) license (https://creativecommons.org/licenses/by/4.0/).
Share and Cite
Dong, X.; Li, Y.; Zhai, Y.; Liu, Z.; Zhang, G.; Yang, F. Study on Microstructure and Hydrogen Storage Properties of Mg80Ni16−xAlxY4 (x = 2, 4, 8) Alloys. Metals 2024, 14, 126. https://doi.org/10.3390/met14010126
Dong X, Li Y, Zhai Y, Liu Z, Zhang G, Yang F. Study on Microstructure and Hydrogen Storage Properties of Mg80Ni16−xAlxY4 (x = 2, 4, 8) Alloys. Metals. 2024; 14(1):126. https://doi.org/10.3390/met14010126
Chicago/Turabian StyleDong, Xia, Yiming Li, Yutao Zhai, Zhuocheng Liu, Guofang Zhang, and Fei Yang. 2024. "Study on Microstructure and Hydrogen Storage Properties of Mg80Ni16−xAlxY4 (x = 2, 4, 8) Alloys" Metals 14, no. 1: 126. https://doi.org/10.3390/met14010126
APA StyleDong, X., Li, Y., Zhai, Y., Liu, Z., Zhang, G., & Yang, F. (2024). Study on Microstructure and Hydrogen Storage Properties of Mg80Ni16−xAlxY4 (x = 2, 4, 8) Alloys. Metals, 14(1), 126. https://doi.org/10.3390/met14010126

