First-Principle Investigation into Mechanical Properties of Al6Mg1Zr1 under Uniaxial Tension Strain on the Basis of Density Functional Theory
Abstract
:1. Introduction
2. Computational Methods
3. Results and Discussion
3.1. Mechanical Stability
3.2. Stress–Strain Relations
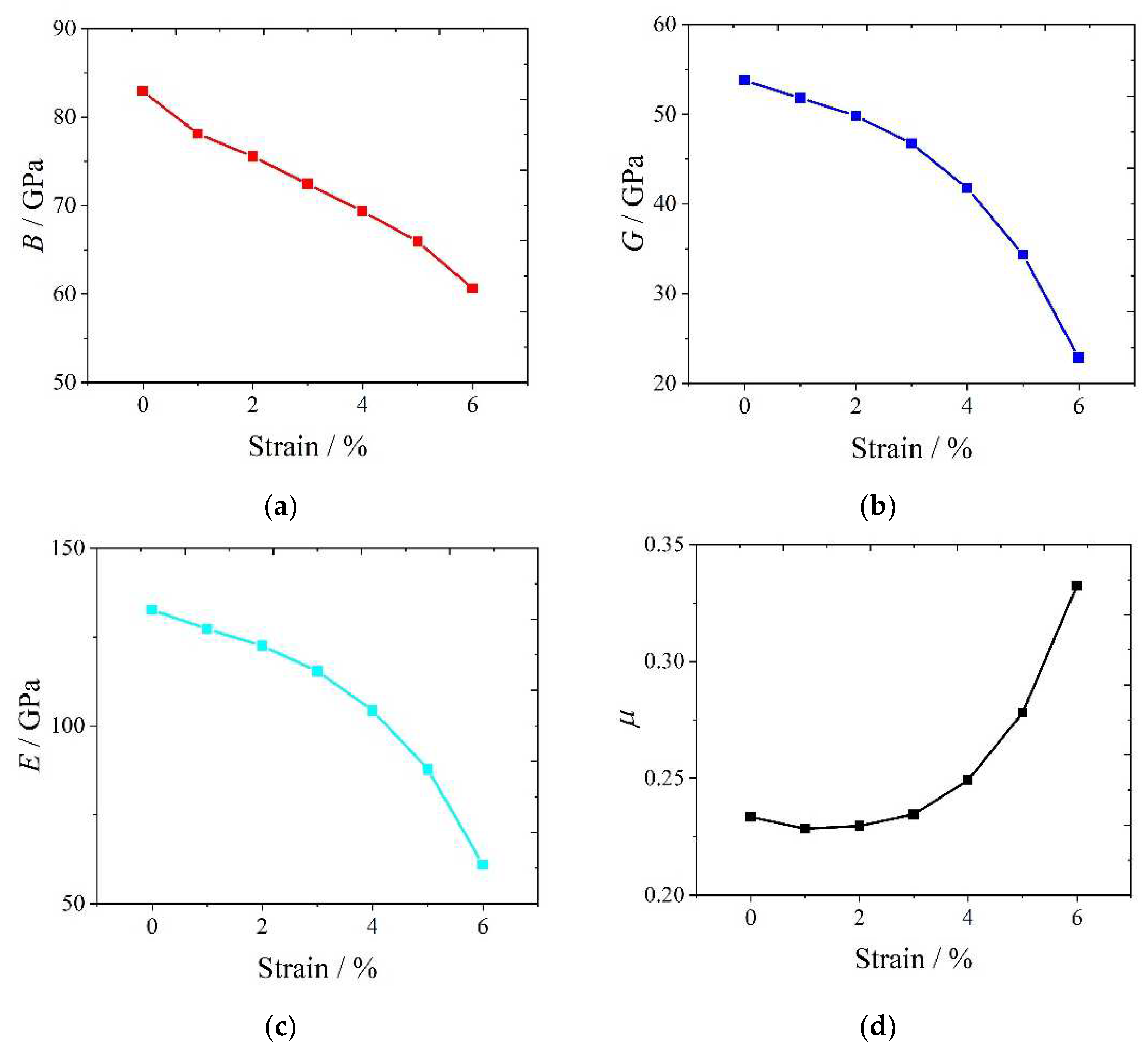
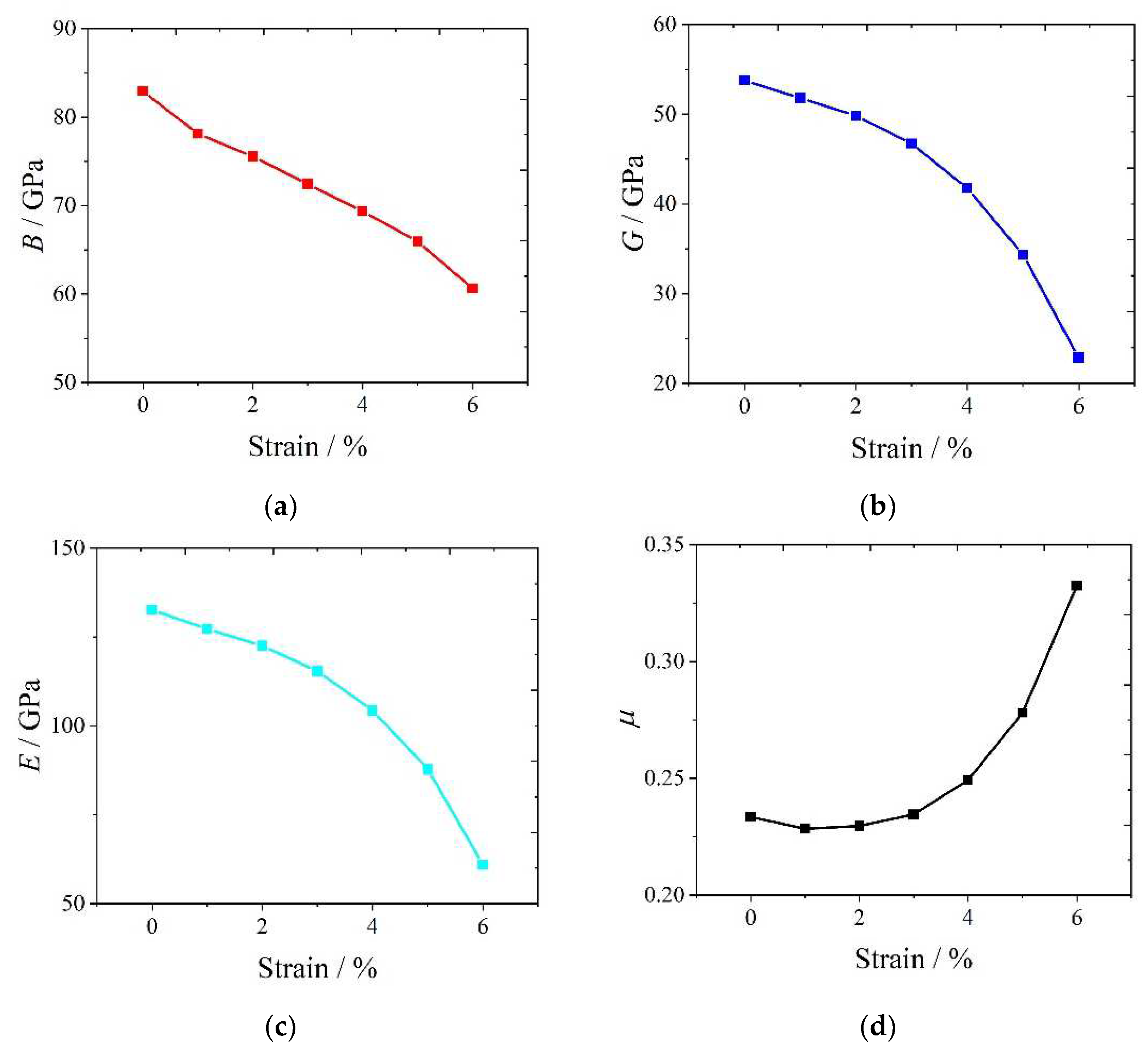
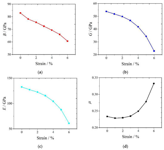
3.3. Elastic Properties of Polycrystalline Materials
3.4. Hardness and Ductility
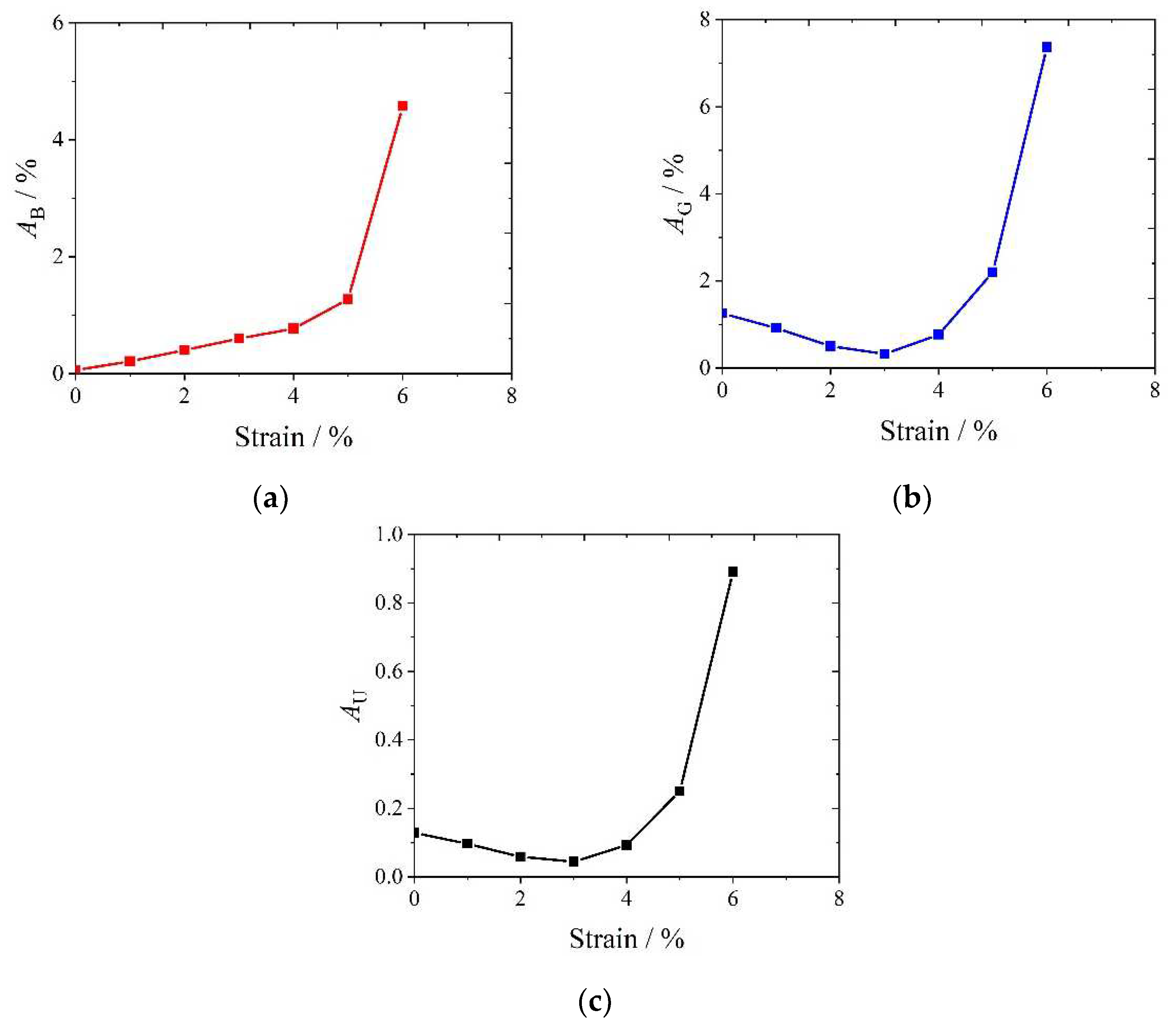
3.5. Elastic Anisotropy
4. Conclusions
Author Contributions
Funding
Institutional Review Board Statement
Informed Consent Statement
Data Availability Statement
Acknowledgments
Conflicts of Interest
References
- Dolce, D.; Swamy, A.; Hoyt, J.; Choudhury, P. Computing the solid-liquid interfacial free energy and anisotropy of the Al-Mg system using a MEAM potential with atomistic simulations. Comput. Mater. Sci. 2023, 217, 111901. [Google Scholar] [CrossRef]
- Xu, W.; Xin, Y.C.; Zhang, B.; Li, X.Y. Stress corrosion cracking resistant nanostructured Al-Mg alloy with low angle grain boundaries. Acta Mater. 2022, 225, 117607. [Google Scholar] [CrossRef]
- Koju, R.K.; Mishin, Y. Atomistic study of grain-boundary segregation and grainboundary diffusion in Al-Mg alloys. Acta Mater. 2020, 201, 596–603. [Google Scholar] [CrossRef]
- Pariyar, A.; Toth, L.S.; Kailas, S.V.; Peltier, L. Imparting high-temperature grain stability to an Al-Mg alloy. Scr. Mater. 2021, 190, 141–146. [Google Scholar] [CrossRef]
- Zhang, H.T.; Guo, C.; Li, S.S.; Li, B.M.; Nagaumi, H. Influence of cold pre-deformation on the microstructure, mechanical properties and corrosion resistance of Zn-bearing 5xxx aluminum alloy. J. Mater. Res. Technol. 2022, 16, 1202–1212. [Google Scholar] [CrossRef]
- Bakare, F.; Schieren, L.; Rouxel, B.; Jiang, L.; Langan, T.; Kupke, A.; Weiss, M.; Dorin, T. The impact of L12 dispersoids and strain rate on the Portevin-Le-Chatelier effect and mechanical properties of Al–Mg alloys. Mat. Sci. Eng. A Struct. 2021, 811, 141040. [Google Scholar] [CrossRef]
- Yi, G.; Cullen, D.A.; Littrell, K.C.; Golumbfskie, W.; Sundberg, E.; Free, M.L. Characterization of Al-Mg alloy aged at low temperatures. Metall. Mater. Trans. A 2017, 48, 2040–2050. [Google Scholar] [CrossRef]
- Zhang, L.; Liu, C.Y.; Zhang, B.; Huang, H.F.; Xie, H.Y.; Cao, K. Mechanical properties of Al–Mg alloys with equiaxed grain structure produced by friction stir processing. Mater. Chem. Phys. 2023, 294, 127010. [Google Scholar] [CrossRef]
- Guo, C.; Zhang, H.T.; Li, J.H. Influence of Zn and/or Ag additions on microstructure and properties of Al-Mg based alloys. J. Alloys Compd. 2022, 904, 163998. [Google Scholar] [CrossRef]
- Stemper, L.; Tunes, M.A.; Paul, O.; Uggowitzer, P.J.; Pogatscher, S. Age-hardening response of AlMgZn alloys with Cu and Ag additions. Acta Mater. 2020, 195, 541–554. [Google Scholar] [CrossRef]
- Zhu, Z.X.; Jiang, X.X.; Wei, G.; Fang, X.G.; Zhong, Z.H.; Song, K.J.; Han, J.; Jiang, Z.Y. Influence of Zn Content on microstructures, mechanical properties and stress corrosion behavior of AA5083 aluminum alloy. Acta Metall. Sin. 2020, 33, 1369–1378. [Google Scholar] [CrossRef]
- Chen, X.L.; Marioara, C.D.; Andersen, S.J.; Friis, J.; Lervik, A.; Holmestad, R.; Kobayashi, E. Precipitation processes and structural evolutions of various GPB zones and two types of S phases in a cold- rolled Al-Mg-Cu alloy. Mater. Des. 2021, 199, 109425. [Google Scholar] [CrossRef]
- Jiang, L.; Zhang, Z.F.; Bai, Y.L.; Li, S.L.; Mao, W.M. Study on Sc microalloying and strengthening mechanism of Al-Mg alloy. Crystals 2022, 12, 673. [Google Scholar] [CrossRef]
- Zakharov, V.V.; Filatov, Y.A.; Fisenko, I.A. Scandium alloying of aluminum alloys. Met. Sci. Heat Treat. 2020, 62, 518–523. [Google Scholar] [CrossRef]
- Yan, K.; Chen, Z.W.; Lu, W.J.; Zhao, Y.N.; Le, W.; Naseem, S. Nucleation and growth of Al3Sc precipitates during isothermal aging of Al-0.55 wt% Sc alloy. Mater. Charact. 2021, 179, 111331. [Google Scholar] [CrossRef]
- Vo, N.Q.; Dunand, D.C.; Seidman, D.N. Atom probe tomographic study of a friction stir-processed Al-Mg-Sc alloy. Acta Mater. 2012, 60, 7078–7089. [Google Scholar] [CrossRef]
- Deng, Y.; Zhu, X.W.; Lai, Y.; Guo, Y.F.; Fu, L.; Xu, G.F.; Huang, J.W. Effects of Zr/(Sc+Zr) microalloying on dynamic recrystallization, dislocation density and hot workability of Al−Mg alloys during hot compression deformation. Trans. Nonferr. Metal. Soc. 2023, 33, 668–682. [Google Scholar] [CrossRef]
- Croteau, J.R.; Jung, J.G.; Whalen, S.A.; Darsell, J.; Mello, A.; Holstine, D.; Lay, K.; Hansen, M.; Dunand, D.C.; Vo, N.Q. Ultrafine-grained Al-Mg-Zr alloy processed by shear-assisted extrusion with high thermal stability. Scr. Mater. 2020, 186, 326–330. [Google Scholar] [CrossRef]
- Kaiser, M.S.; Rashed, H.M. Precipitation behavior prior to hot roll in the cold-rolled Al-Mg and Al-Mg-Zr alloys. Kov. Mater. 2022, 60, 247–256. [Google Scholar]
- Xu, R.; Li, R.D.; Yuan, T.C.; Zhu, H.B.; Wang, M.B.; Li, J.F.; Zhang, W.; Cao, P. Laser powder bed fusion of Al–Mg–Zr alloy: Microstructure, mechanical properties and dynamic precipitation. Mat. Sci. Eng. A Struct. 2022, 859, 144181. [Google Scholar] [CrossRef]
- Croteau, J.R.; Griffiths, S.; Rossell, M.D.; Leinenbach, C.; Kenel, C.; Jansen, V.; Seidman, D.N. Microstructure and mechanical properties of Al-Mg-Zr alloys processed by selective laser melting. Acta Mater. 2018, 153, 35–44. [Google Scholar] [CrossRef]
- Cho, H.; Lee, B.; Jang, D.; Yoon, J.; Chung, S.; Hong, Y. Recent progress in strain-engineered elastic platforms for stretchable thin-film devices. Mater. Horiz. 2022, 9, 2053–2075. [Google Scholar] [CrossRef] [PubMed]
- Chen, Y.M.; Lei, Y.S.; Li, Y.H.; Yu, Y.G.; Cai, J.Z.; Chiu, M.-H.; Rao, R.; Gu, Y.; Wang, C.; Choi, W.; et al. Strain engineering and epitaxial stabilization of halide perovskites. Nature 2020, 577, 209–215. [Google Scholar] [CrossRef] [PubMed]
- Dang, C.Q.; Chou, J.-P.; Dai, B.; Chou, C.-T.; Yang, Y.; Fan, R.; Lin, W.T.; Meng, F.; Hu, A.; Zhu, J.; et al. Achieving large uniform tensile elasticity in microfabricated diamond. Science 2021, 371, 76–78. [Google Scholar] [CrossRef] [PubMed]
- Steuer, O.; Schwarz, D.; Oehme, M.; Schulze, J.; Mączko, H.; Kudrawiec, R.; Fischer, I.A.; Heller, R.; Hübner, R.; Khan, M.M.; et al. Band-gap and strain engineering in GeSn alloys using post-growth pulsed laser melting. J. Phys. Condens. Mat. 2023, 35, 055302. [Google Scholar] [CrossRef] [PubMed]
- Fu, H.; He, W.H.; Mi, Z.S.; Yan, Y.; Zhang, J.L.; Li, J.X. Effects of heterogeneous plastic strain on hydrogen-induced cracking of twinning-induced plasticity steel: A quantitative approach. Corros. Sci. 2022, 209, 110782. [Google Scholar] [CrossRef]
- Liang, H.; He, R.Q.; Lin, W.T.; Liu, L.; Xiang, X.J.; Zhang, Z.G.; Guan, S.X.; Peng, F.; Fang, L. Strain-induced strengthening in superconducting β-Mo2C through high pressure and high temperature. J. Eur. Ceram. Soc. 2023, 43, 88–98. [Google Scholar] [CrossRef]
- Du, Y.-X.; Zhou, L.-J.; Guo, J.-G. Investigation on micro-mechanism of strain-induced and defect-regulated negative Poisson’s ratio of grapheme. Mater. Chem. Phys. 2022, 288, 126412. [Google Scholar] [CrossRef]
- Rasidul Islam, M.; Rayid Hasan Mojumder, M.; Moshwan, R.; Jannatul Islam, A.S.M.; Islam, M.A.; Shizer Rahman, M.; Humaun Kabir, M. Strain-driven optical, electronic, and mechanical properties of inorganic halide perovskite CsGeBr3. ECS J. Solid State Sci. Technol. 2022, 11, 033001. [Google Scholar] [CrossRef]
- Tan, Y.; Ma, L.M.; Wang, Y.S.; Zhou, W.; Wang, X.L.; Guo, F. Mechanical and thermodynamic behaviors of AlSi2Sc2 under uniaxial tensile loading: A first-principles study. J. Phys. Chem. Solids 2023, 174, 111160. [Google Scholar] [CrossRef]
- Clark, S.J.; Segall, M.D.; Pickard, C.J.; Hasnip, P.J.; Probert, M.I.J.; Refson, K.; Payne, M.C. First Principles Methods Using CASTEP. Z. Krist. Cryst. Mater. 2005, 220, 567–570. [Google Scholar] [CrossRef]
- Hohenberg, P.; Kohn, W. Inhomogeneous electron gas. Phys. Rev. 1964, 136, B864–B871. [Google Scholar] [CrossRef]
- Kohn, W.; Sham, L.J. Self-consistent equations including exchange and correlation effects. Phys. Rev. 1965, 140, A1133–A1138. [Google Scholar] [CrossRef]
- Perdew, J.P.; Burke, K.; Ernzerhof, K.M. Generalized gradient approximation made simple. Phys. Rev. Lett. 1996, 77, 3865–3868. [Google Scholar] [CrossRef] [PubMed]
- Yang, J.Z.; Yang, D.F.; Wang, Y.Q.; Quan, X.J.; Li, Y.Y. First principles investigation of elastic and thermodynamic properties of CoSbS thermoelectric material. J. Solid State Chem. 2021, 302, 122443. [Google Scholar] [CrossRef]
- Mouhat, F.; Coudert, F.-X. Necessary and sufficient elastic stability conditions in various crystal systems. Phys. Rev. B 2014, 90, 224104. [Google Scholar] [CrossRef]
- Peng, M.J.; Wang, R.F.; Wu, Y.J.; Yang, A.C.; Duan, Y.H. Elastic anisotropies, thermal conductivities and tensile properties of MAX phases Zr2AlC and Zr2AlN: A first-principles calculation. Vacuum 2022, 196, 110715. [Google Scholar] [CrossRef]
- Li, L.H.; Wang, W.L.; Wei, B. First-principle and molecular dynamics calculations for physical properties of Ni-Sn alloy system. Comput. Mater. Sci. 2015, 99, 274–284. [Google Scholar] [CrossRef]
- Chen, X.Q.; Niu, H.Y.; Li, D.Z.; Li, Y.Y. Modeling hardness of polycrystalline materials and bulk metallic glasses. Intermetallics 2011, 19, 1275–1281. [Google Scholar] [CrossRef]
- Pugh, S.F. XCII. Relations between the elastic moduli and the plastic properties of polycrystalline pure metals. Lond. Edinb. Dublin Philos. Mag. J. Sci. 1954, 45, 823–843. [Google Scholar] [CrossRef]
- Zhu, H.Y.; Shi, L.W.; Li, S.Q.; Zhang, S.B.; Xia, W.S. Pressure effects on structural, electronic, elastic and lattice dynamical properties of XSi2 (X = Cr, Mo, W) from first principles. Int. J. Mod. Phys. B 2018, 32, 1850120. [Google Scholar] [CrossRef]
- Yang, A.C.; Bao, L.K.; Peng, M.J.; Duan, Y.H. Explorations of elastic anisotropies and thermal properties of the hexagonal TMSi2 (TM = Cr, Mo, W) silicides from first-principles calculations. Mater. Today Commun. 2021, 27, 102474. [Google Scholar] [CrossRef]
- Zhu, H.Y.; Shi, L.W.; Li, S.Q.; Zhang, S.B.; Xia, W.S. Effects of biaxial strains on electronic and elastic properties of hexagonal XSi2 (X = Cr, Mo, W) from first-principles. Solid State Commun. 2018, 270, 99–106. [Google Scholar] [CrossRef]





| εx (%) | C11 | C12 | C13 | C22 | C23 | C33 | C44 | C55 | C66 |
|---|---|---|---|---|---|---|---|---|---|
| 0 | 157.17 | 41.58 | 41.56 | 170.16 | 41.57 | 170.08 | 40.52 | 53.70 | 53.71 |
| 1% | 146.98 | 36.34 | 36.37 | 163.72 | 42.30 | 163.79 | 42.19 | 49.69 | 49.90 |
| 2% | 136.71 | 35.30 | 35.32 | 156.80 | 45.54 | 156.82 | 44.84 | 47.06 | 47.06 |
| 3% | 124.44 | 35.59 | 35.57 | 146.39 | 48.13 | 146.36 | 48.54 | 43.25 | 43.25 |
| 4% | 111.37 | 37.46 | 37.46 | 133.26 | 50.68 | 133.26 | 51.02 | 37.65 | 37.65 |
| 5% | 94.62 | 39.78 | 39.78 | 118.19 | 55.44 | 118.19 | 50.42 | 29.91 | 29.91 |
| 6% | 65.16 | 44.63 | 44.63 | 99.25 | 64.20 | 99.26 | 46.10 | 19.98 | 19.98 |
| 7% | 17.81 | 52.18 | 52.20 | 75.93 | 75.41 | 75.95 | 40.10 | 8.17 | 8.17 |
| εx (%) | σx (GPa) | σy (GPa) | σz (GPa) |
|---|---|---|---|
| 0 | 0 | 0 | 0 |
| 1% | 1.57 | 0.42 | 0.42 |
| 2% | 3.04 | 0.78 | 0.78 |
| 3% | 4.41 | 1.13 | 1.13 |
| 4% | 5.65 | 1.49 | 1.49 |
| 5% | 6.77 | 1.87 | 1.86 |
| 6% | 7.71 | 2.26 | 2.26 |
| εx (%) | B (GPa) | G (GPa) | E (GPa) | μ |
|---|---|---|---|---|
| 0 | 82.93 | 53.77 | 132.63 | 0.23 |
| 1% | 78.12 | 51.81 | 127.28 | 0.23 |
| 2% | 75.55 | 49.82 | 122.53 | 0.230 |
| 3% | 72.43 | 46.72 | 115.36 | 0.24 |
| 4% | 69.37 | 41.76 | 104.34 | 0.25 |
| 5% | 65.94 | 34.36 | 87.81 | 0.28 |
| 6% | 60.63 | 22.88 | 60.96 | 0.33 |
| εx (%) | HV (GPa) | B/G |
|---|---|---|
| 0 | 11.97 | 1.54 |
| 1% | 12.03 | 1.51 |
| 2% | 11.67 | 1.52 |
| 3% | 10.95 | 1.55 |
| 4% | 9.45 | 1.66 |
| 5% | 7.11 | 1.92 |
| 6% | 3.83 | 2.65 |
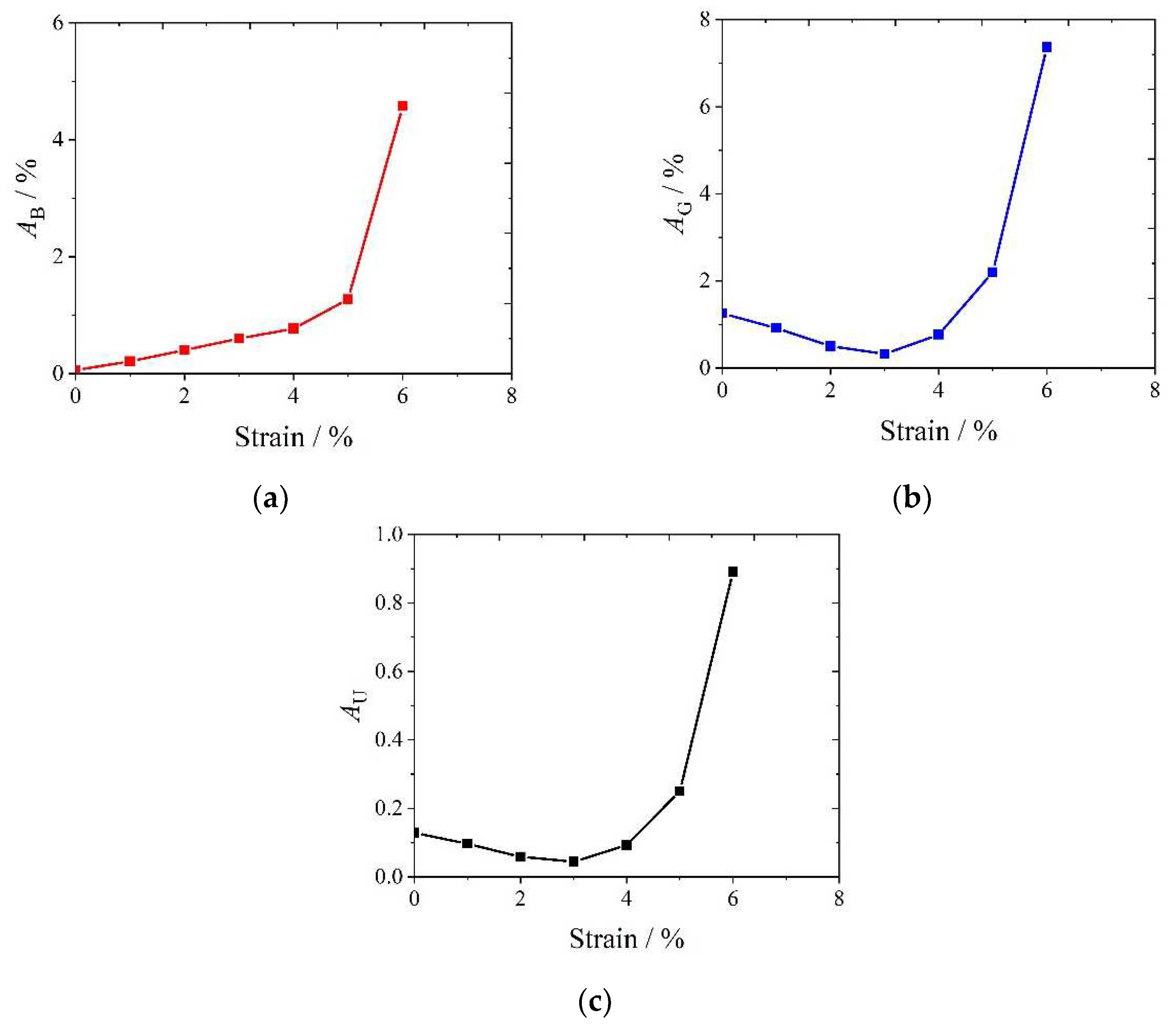
| εx (%) | AB | AG | AU |
|---|---|---|---|
| 0 | 0.06% | 1.26% | 0.13 |
| 1% | 0.21% | 0.92% | 0.10 |
| 2% | 0.40% | 0.50% | 0.06 |
| 3% | 0.60% | 0.32% | 0.04 |
| 4% | 0.77% | 0.77% | 0.09 |
| 5% | 1.27% | 2.20% | 0.25 |
| 6% | 4.58% | 7.37% | 0.89 |
Disclaimer/Publisher’s Note: The statements, opinions and data contained in all publications are solely those of the individual author(s) and contributor(s) and not of MDPI and/or the editor(s). MDPI and/or the editor(s) disclaim responsibility for any injury to people or property resulting from any ideas, methods, instructions or products referred to in the content. |
© 2023 by the authors. Licensee MDPI, Basel, Switzerland. This article is an open access article distributed under the terms and conditions of the Creative Commons Attribution (CC BY) license (https://creativecommons.org/licenses/by/4.0/).
Share and Cite
Zhang, L.; Li, J.; Zhang, J.; Liu, Y.; Lin, L. First-Principle Investigation into Mechanical Properties of Al6Mg1Zr1 under Uniaxial Tension Strain on the Basis of Density Functional Theory. Metals 2023, 13, 1569. https://doi.org/10.3390/met13091569
Zhang L, Li J, Zhang J, Liu Y, Lin L. First-Principle Investigation into Mechanical Properties of Al6Mg1Zr1 under Uniaxial Tension Strain on the Basis of Density Functional Theory. Metals. 2023; 13(9):1569. https://doi.org/10.3390/met13091569
Chicago/Turabian StyleZhang, Lihua, Jijun Li, Jing Zhang, Yanjie Liu, and Lin Lin. 2023. "First-Principle Investigation into Mechanical Properties of Al6Mg1Zr1 under Uniaxial Tension Strain on the Basis of Density Functional Theory" Metals 13, no. 9: 1569. https://doi.org/10.3390/met13091569
APA StyleZhang, L., Li, J., Zhang, J., Liu, Y., & Lin, L. (2023). First-Principle Investigation into Mechanical Properties of Al6Mg1Zr1 under Uniaxial Tension Strain on the Basis of Density Functional Theory. Metals, 13(9), 1569. https://doi.org/10.3390/met13091569
