Mechanical Property and Microstructure of Rolled 7075 Alloy under Hot Compression with Different Original Grains
Abstract
1. Introduction
2. Experimental Procedures
3. Results and Discussion
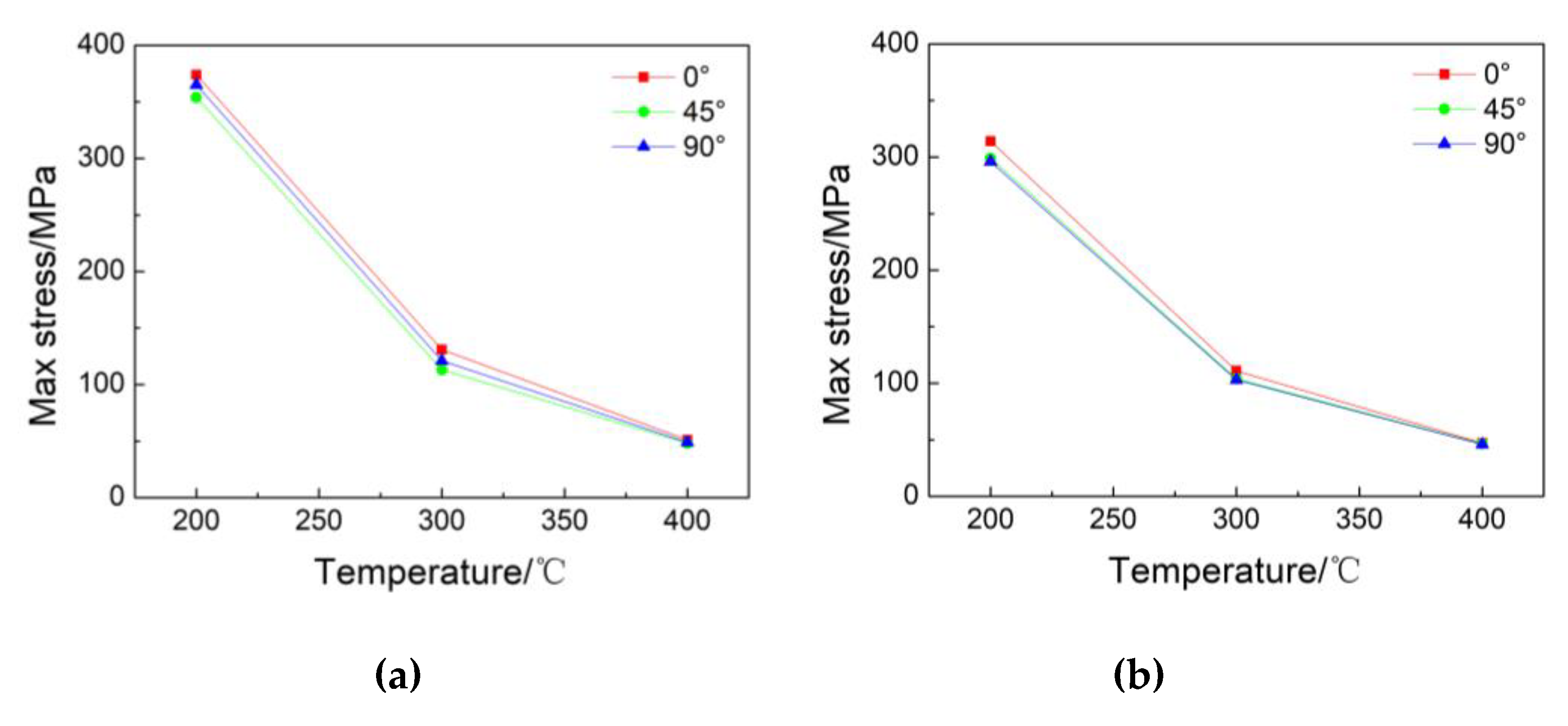
3.1. Mechanical Properties
3.2. Microstructure Characterization
4. Conclusions
- The flow stress decreases significantly with increasing temperature during compression. The flow stress rises rapidly with the increasing strain and reaches a maximum value, then gradually decreases before reaching a stable value; the compression process of the alloy is a competing result of work hardening and dynamic softening.
- The alloys in both conditions display evident anisotropic mechanical properties at 200 °C. For the original alloy, the 0° sample has the highest stress, and the 45° sample exhibits the lowest stress. For solution-treated alloy, the stress of the 0° sample is the highest, and the 90° sample owns the lowest stress. The anisotropy becomes less noticeable at 300 °C. There is no obvious anisotropy at 400 °C for both alloys.
- At 200 °C, the stress of the original alloy is much higher than that of the solution-treated alloy at the same compression condition. The small and uniformly distributed precipitates can enhance the stress level by impeding the motion of dislocation and the slide of subgrains.
- For the 7075 alloys in both conditions, with increasing temperature, the density of the dislocation decreases. The structure of subgrains was found when deformed at 400 °C due to the higher driving force and a higher rate of atomic migration. Meanwhile, the coarsening of the precipitate is found.
Author Contributions
Funding
Institutional Review Board Statement
Data Availability Statement
Conflicts of Interest
References
- Chambrin, N.; Dalverny, O.; Descamps-Mandine, A.; Cloue, J.M.; Brucelle, O.; Alexis, J. Influence of heat treatments on microstructure and hardness of a high-strength Al-Zn-Mg-Cu-Zr alloy processed by laser powder bed fusion. Metals 2023, 13, 1173. [Google Scholar] [CrossRef]
- Lin, R.; Liu, B.; Zhang, J.; Zhang, S. Microstructure evolution and properties of 7075 aluminum alloy recycled from scrap aircraft aluminum alloys. J. Mater. Res. Technol. 2022, 19, 354–367. [Google Scholar] [CrossRef]
- Ji, H.C.; Qiao, J.H.; Kang, N.Z.; Wang, X.L.; Huang, J.H. Optimization of hot extrusion process parameters for 7075 aluminum alloy rims based on HyperXtrude. J. Mater. Res. Technol. 2023, 25, 4913–4928. [Google Scholar] [CrossRef]
- Liu, M.; Shan, Z.; Li, X.; Zang, Y. Hot tensile deformation behavior and microstructure evolution of 7075 aluminum alloy sheet. J. Mater. Res. Technol. 2023, 24, 724–736. [Google Scholar] [CrossRef]
- Geng, H.C.; Wang, Y.L.; Zhu, B.; Wang, Z.J.; Zhang, Y.S. Effect of solution treatment time on plasticity and ductile fracture of 7075 aluminum alloy sheet in hot stamping process. T. Nonferrous Met. Soc. 2022, 32, 3516–3533. [Google Scholar] [CrossRef]
- El-Shenawy, E.; Farahat, A.I.Z.; Ragab, A.E.; Elsayed, A.; Reda, R. Flow behavior and mechanical properties of multi-pass thermomechanically processed 7075 Al-alloy. Metals 2023, 13, 1158. [Google Scholar] [CrossRef]
- Jiang, F.; Masumura, T.; Hirata, K.; Tsuchiyama, T.; Takaki, S. A new diffraction line profile breadth analysis approach for evaluating plastic lattice strain anisotropy in cold-worked nickel under various strain paths. Int. J. Plast. 2019, 112, 89–107. [Google Scholar] [CrossRef]
- Zhu, S.Y.; Zhao, M.; Mao, J.; Liang, S.Y. Study on hot deformation behavior and texture evolution of aluminum alloy 7075 based on visco-plastic self-consistent model. Metals 2022, 12, 1648. [Google Scholar] [CrossRef]
- Jiang, F.; Zhang, H.; Li, L.; Chen, J. The kinetics of dynamic and static softening during multistage hot deformation of 7150 aluminum alloy. Mater. Sci. Eng. A 2012, 552, 269–275. [Google Scholar] [CrossRef]
- Yang, Y.; Zhang, Z.; Li, X.; Wang, Q.; Zhang, Y. The effects of grain size on the hot deformation and processing map for 7075 aluminum alloy. Mater. Des. 2013, 51, 592–597. [Google Scholar] [CrossRef]
- Sun, Z.C.; Zheng, L.S.; Yang, H. Softening mechanism and microstructure evolution of as-extruded 7075 aluminum alloy during hot deformation. Mater. Charact. 2014, 90, 71–80. [Google Scholar] [CrossRef]
- Taheri-Mandarjani, M.; Zarei-Hanzaki, A.; Abedi, H.R. Hot ductility behavior of an extruded 7075 aluminum alloy. Mater. Sci. Eng. A 2015, 637, 107–122. [Google Scholar] [CrossRef]
- Du, Z.H.; Deng, Z.S.; Cui, X.H.; Xiao, A. Deformation behavior and properties of 7075 aluminum alloy under electromagnetic hot forming. Materials 2021, 14, 4954. [Google Scholar] [CrossRef]
- Li, H.B.; Chen, M.S.; Tian, Y.Q.; Chen, L.S.; Chen, L.Q. Ultra-fine-grained ferrite prepared from dynamic reversal austenite during warm deformation. Acta Metall. Sin. 2020, 33, 290–298. [Google Scholar] [CrossRef]
- Zhu, B.; Liu, X.; Xie, C.; Su, J.; Guo, P.; Tang, C.; Liu, W. Unveiling the underlying mechanism of forming edge cracks upon high strain-rate rolling of magnesium alloy. J. Mater. Sci. Sci Technol. 2020, 50, 59–65. [Google Scholar] [CrossRef]
- Jiang, F.; Zurob, H.S.; Purdy, G.R.; Zhang, H. Characterizing precipitate evolution of an Al-Zn-Mg-Cu-based commercial alloy during artificial aging and non-isothermal heat treatments by in situ electrical resistivity monitoring. Mater. Charact. 2016, 117, 47–56. [Google Scholar] [CrossRef]
- Moghaddam, M.; Zarei-Hanzaki, A.; Pishbin, M.H.; Shafieizad, A.H.; Oliveira, V.B. Characterization of the microstructure, texture and mechanical properties of 7075 aluminum alloy in early stage of severe plastic deformation. Mater. Charact. 2016, 119, 137–147. [Google Scholar] [CrossRef]
- Ma, J.; Wang, Q.; Zhang, T.; Cao, H.; Yang, Y.; Zhang, Z. Effect of natural aging time on tensile and fatigue anisotropy of extruded 7075 Al alloy. J. Mater. Res. Technol. 2022, 18, 4683–4697. [Google Scholar] [CrossRef]
- Senthil, K.; Iqbal, M.A.; Chandel, P.S.; Gupta, N.K. Study of the constitutive behavior of 7075-T651 aluminum alloy. Int. J. Impact Eng. 2017, 108, 171–190. [Google Scholar] [CrossRef]
- Singh, R.K.; Singh, A.K.; Prasad, N.E. Texture and mechanical property anisotropy in an Al-Mg-Si-Cu alloy. Mater. Sci. Eng. A 2000, 277, 114–122. [Google Scholar] [CrossRef]
- Yang, Y.; Xie, Z.P.; Zhang, Z.; Li, X.; Wang, Q.; Zhang, Y. Processing maps for hot deformation of the extruded 7075 aluminum alloy bar, Anisotropy of hot workability. Mater. Sci. Eng. A 2014, 615, 183–190. [Google Scholar] [CrossRef]
- Hu, H.; Wang, X. Effect of heat treatment on the in-plane anisotropy of as-rolled 7050 aluminum alloy. Metals 2016, 6, 79. [Google Scholar] [CrossRef]
- Choi, S.H.; Brem, J.C.; Barlat, F.; Oh, K.H. Macroscopic anisotropy in AA5019A sheets. Acta Mater. 2000, 48, 1853–1863. [Google Scholar] [CrossRef]
- Choi, S.H.; Barlat, F.; Liu, J. Effect of precipitates on plastic anisotropy for polycrystalline aluminum alloys. Metall. Mater. Trans. A 2001, 32, 2239–2247. [Google Scholar] [CrossRef]
- Wu, H.; Wen, S.P.; Huang, H.; Wu, X.L.; Gao, K.Y.; Wang, W.; Nie, Z.R. Hot deformation behavior and constitutive equation of a new type Al-Zn-Mg-Er-Zr alloy during isothermal compression. Mater. Sci. Eng. A 2016, 651, 415–424. [Google Scholar] [CrossRef]
- Yang, H.B.; Bu, H.Y.; Li, M.N.; Lu, X. Prediction of flow stress of annealed 7075 Al alloy in hot deformation using strain-compensated arrhenius and neural network models. Materials 2021, 14, 5986. [Google Scholar] [CrossRef]
- Jiang, F.; Zhang, H.; Su, J.; Sun, Y. Constitutive characteristics and microstructure evolution of 7150 aluminum alloy during isothermal and non-isothermal multistage hot compression. Mater. Sci. Eng. A 2015, 636, 459–469. [Google Scholar] [CrossRef]
- Tang, J.; Wang, J.H.; Teng, J.; Wang, G.; Fu, D.F.; Zhang, H.; Jiang, F.L. Effect of Zn content on the dynamic softening of Al-Zn-Mg-Cu alloys during hot compression deformation. Vacuum 2021, 184, 109941. [Google Scholar] [CrossRef]
- Yang, W.P.; Li, J.R.; Liu, S.Z.; Shi, Z.X.; Zhao, J.Q.; Wang, X.G. Orientation dependence of transverse tensile properties of nickel-based third generation single crystal superalloy DD9 from 760 to 1100 °C. T. Nonferr. Metal Soc. 2019, 29, 558–568. [Google Scholar] [CrossRef]
- Bois-Brochu, A.; Blais, C.; Goma, F.A.T.; Larouche, D.; Boselli, J.; Brochu, M. Characterization of Al–Li 2099 extrusions and the influence of fiber texture on the anisotropy of static mechanical properties. Mater. Sci. Eng. A 2014, 597, 62–69. [Google Scholar] [CrossRef]
- Ye, T.; Li, L.X.; Liu, X.; Liu, W.H.; Guo, P.C.; Tang, X. Anisotropic deformation behavior of as-extruded 6063-T4 alloy under dynamic impact loading. Mater. Sci. Eng. A 2016, 666, 149–155. [Google Scholar] [CrossRef]
- Chakraborty, P.; Singha, M.K.; Tiwari, V. Anisotropic mechanical response of AA7475-T7351 alloy at different loading rates and temperatures. Thin Wall Struct. 2023, 188, 110842. [Google Scholar] [CrossRef]
- Li, D.H.; Yang, Y.; Xu, T.; Zheng, H.G.; Zhu, Q.S.; Zhang, Q.M. Observation of the microstructure in the adiabatic shear band of 7075 aluminum alloy. Mater. Sci. Eng. A 2010, 527, 3529–3535. [Google Scholar] [CrossRef]
- Han, W.; Zhang, H.M.; Cui, Z.S.; Chen, Z.; Chen, D. Compressive response and microstructural evolution of in-situ TiB2 particle-reinforced 7075 aluminum matrix composite. T. Nonferrous Metal Soc. 2021, 31, 1235–1248. [Google Scholar]
- Liu, C.; Liu, Y.L.; Ma, L.Y.; Yi, J.H. Effects of solution treatment on microstructure and high-cycle fatigue properties of 7075 aluminum alloy. Metals 2017, 7, 193. [Google Scholar] [CrossRef]
- Luo, J.; Luo, H.Y.; Zhao, T.S.; Wang, R.Z. Effect of magnetic field on dislocation morphology and precipitation behaviour in ultrafine-grained 7075 aluminium alloy. J. Mater. Sci. Technol. 2021, 93, 128–146. [Google Scholar] [CrossRef]
- Yin, X.L.; Deng, W.J.; Zou, Y.H.; Zhang, J.Y. Ultrafine grained Al 7075 alloy fabricated by cryogenic temperature large strain extrusion machining combined with aging treatment. Mater. Sci. Eng. A 2019, 762, 138106. [Google Scholar] [CrossRef]
- Zhang, P.; Liu, Z.H.; Liu, J.L.; Yu, J.; Mai, Q.Q.; Yue, X.J. Effect of aging plus cryogenic treatment on the machinability of 7075 aluminum alloy. Vacuum 2023, 208, 111692. [Google Scholar] [CrossRef]
- Feng, B.; Gu, B.; Li, S.H. Cryogenic deformation behavior and failure mechanism of AA7075 alloy sheets tempered at different conditions. Mater. Sci. Eng. A 2022, 848, 143396. [Google Scholar] [CrossRef]
- Zhang, H.; Jin, N.P.; Chen, J.H. Hot deformation behavior of Al-Zn-Mg-Cu-Zr aluminum alloys during compression at elevated temperature. J. Trans. Nonferrous Met. Soc. China 2011, 21, 437–442. [Google Scholar] [CrossRef]
- Leng, J.F.; Ren, B.H.; Zhou, Q.B.; Zhao, J.W. Effect of Sc and Zr on recrystallization behavior of 7075 aluminum alloy. T. Nonferr. Metal Soc. 2021, 31, 2545–2557. [Google Scholar] [CrossRef]
- Li, H.Y.; Gao, Z.H.; Yin, H.; Jiang, H.F.; Su, X.J.; Bin, J. Effects of Er and Zr additions on precipitation and recrystallization of pure aluminum. Scripta Mater. 2013, 68, 59–62. [Google Scholar] [CrossRef]
- Wu, H.; Wen, S.P.; Huang, H.; Gao, K.Y.; Wu, X.L.; Wang, W.; Nie, Z.R. Hot deformation behavior and processing map of a new type Al-Zn-Mg-Er-Zr alloy. J. Alloys Compd. 2016, 685, 869–880. [Google Scholar] [CrossRef]
- Shojaei, K.; Sajadifar, S.V.; Yapici, G.G. On the mechanical behavior of cold deformed aluminum 7075 alloy at elevated temperatures. Mater. Sci. Eng. A 2016, 670, 81–89. [Google Scholar] [CrossRef]
- Lin, Y.C.; Jiang, Y.Q.; Chen, X.M.; Wen, D.X.; Zhou, H.M. Effect of creep-aging on precipitates of 7075 aluminum alloy. Mater. Sci. Eng. A 2013, 588, 347–356. [Google Scholar] [CrossRef]








| Composition | Cu | Mg | Fe | Si | Mn | Zn | Cr | Ti | Al |
|---|---|---|---|---|---|---|---|---|---|
| Content (%) | 1.4 | 2.2 | 0.18 | 0.07 | 0.05 | 5.8 | 0.01 | 0.03 | Bal. |
| Temperature/°C | Original | Temperature/°C | ST | ||||
|---|---|---|---|---|---|---|---|
| 0° | 45° | 90° | 0° | 45° | 90° | ||
| 200 | 374 | 354 | 365 | 200 | 314 | 299 | 296 |
| 300 | 131 | 113 | 121 | 300 | 111 | 104 | 103 |
| 400 | 51 | 48 | 49 | 400 | 47 | 46 | 46 |
Disclaimer/Publisher’s Note: The statements, opinions and data contained in all publications are solely those of the individual author(s) and contributor(s) and not of MDPI and/or the editor(s). MDPI and/or the editor(s) disclaim responsibility for any injury to people or property resulting from any ideas, methods, instructions or products referred to in the content. |
© 2023 by the authors. Licensee MDPI, Basel, Switzerland. This article is an open access article distributed under the terms and conditions of the Creative Commons Attribution (CC BY) license (https://creativecommons.org/licenses/by/4.0/).
Share and Cite
Ye, T.; Qiu, S.; Xia, E.; Luo, F.; Liu, W.; Wu, Y. Mechanical Property and Microstructure of Rolled 7075 Alloy under Hot Compression with Different Original Grains. Metals 2023, 13, 1456. https://doi.org/10.3390/met13081456
Ye T, Qiu S, Xia E, Luo F, Liu W, Wu Y. Mechanical Property and Microstructure of Rolled 7075 Alloy under Hot Compression with Different Original Grains. Metals. 2023; 13(8):1456. https://doi.org/10.3390/met13081456
Chicago/Turabian StyleYe, Tuo, Sawei Qiu, Erli Xia, Fang Luo, Wei Liu, and Yuanzhi Wu. 2023. "Mechanical Property and Microstructure of Rolled 7075 Alloy under Hot Compression with Different Original Grains" Metals 13, no. 8: 1456. https://doi.org/10.3390/met13081456
APA StyleYe, T., Qiu, S., Xia, E., Luo, F., Liu, W., & Wu, Y. (2023). Mechanical Property and Microstructure of Rolled 7075 Alloy under Hot Compression with Different Original Grains. Metals, 13(8), 1456. https://doi.org/10.3390/met13081456

