Mechanical Characterization at Nanoscale of Austenite, Ferrite, and Sigma Phases via Hardness Measurement and Fretting Wear Behavior of a Duplex Stainless Steel
Abstract
1. Introduction
2. Materials and Methods
2.1. Materials and Treatments
2.2. Hardness and Elastic Modulus Determination
2.3. Fretting Micro-Wear Test
3. Results and Discussion
3.1. Microstructural Characterization
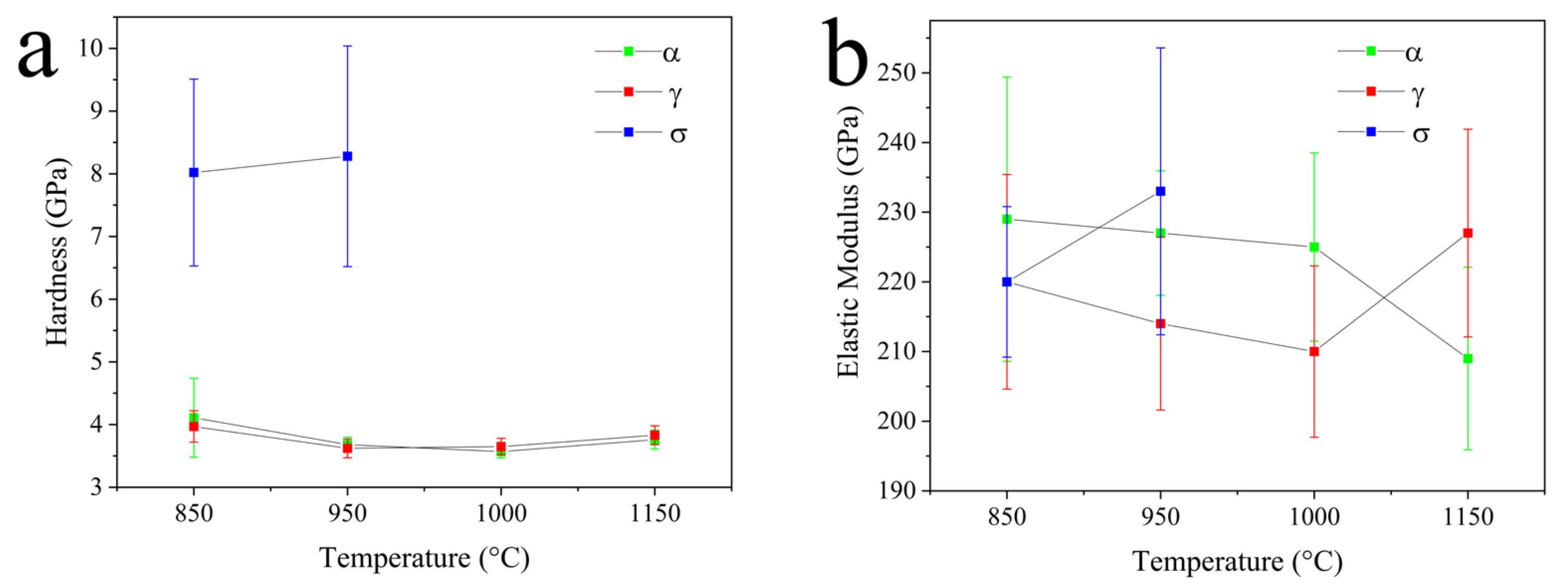
3.2. Mechanical Properties
3.3. Fretting Wear Test
4. Conclusions
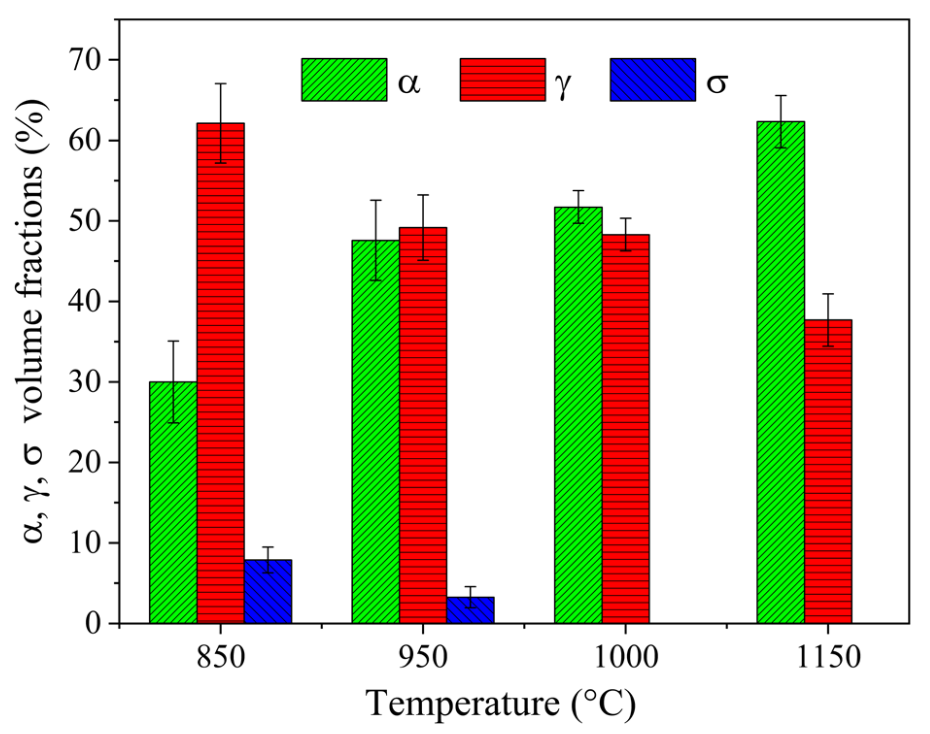
- The precipitation kinetics of the sigma phase were higher for the temperature of 850 °C (7.9 ± 1.6%σ) compared to 950 °C (3.3 ± 1.3%σ). The σ phase nucleated preferentially between the ferritic and austenitic grains as well as inside the ferrite grains.
- Two distinct behaviors were observed, depending on the eventual formation of σ phase, as a function of the treatment temperature: (i) specimens treated at 850 and 950 °C showed a hardening effect (HV0.5 values of 333 ± 15 and 264 ± 13, respectively) due to σ-phase precipitation, and (ii) specimens treated at 1000 and 1150 °C (with HV0.5 values of 240 ± 13 and 249 ± 4, respectively) showing no σ-phase precipitation.
- The σ phase exhibited pronounced nanohardness (8.0–8.5 GPa range, on average) and elastic modulus (220–235 GPa range, on average) values compared to the ferrite and austenite phases (3.6–4.1 GPa and 210–225 GPa ranges, on average), regardless of its volumetric fraction, causing greater resistance to plastic deformation of the surface and lower CoF values in fretting micro-wear tests due to the precipitation hardening mechanism. The localized wear at σ-phase grains was much less pronounced than for ferrite and austenite grains.
- All the evaluated heat treatments presented the abrasive wear mechanisms of grooves and ploughing in fretting wear tests at the nanometric scale without crack formation, similar to those reported in the literature in conventional (macroscopic) wear tests.
- The increase in the solution temperature from 1000 °C to 1150 °C thickened the microstructure, formed more equiaxed grains, increased the crystallographic texture, caused changes in the volumetric fraction of ferrite/austenite, and caused a change in the elastic modulus while maintaining a similar nanohardness. These factors explain the increases in the CoF values in fretting wear tests and the greater ploughing resistance of the austenitic phases in the steel treated at 1150 °C.
Author Contributions
Funding
Data Availability Statement
Acknowledgments
Conflicts of Interest
References
- Nilsson, J.O. Super Duplex Stainless Steels. Mater. Sci. Technol. 1992, 8, 685–700. [Google Scholar] [CrossRef]
- Charles, J. Duplex Stainless Steels—A Review after DSS ‘07 Held in Grado. Steel Res. Int. 2008, 79, 455–465. [Google Scholar] [CrossRef]
- Calabokis, O.P.; Núñez de la Rosa, Y.; Lepienski, C.M.; Perito Cardoso, R.; Borges, P.C. Crevice and Pitting Corrosion of Low Temperature Plasma Nitrided UNS S32750 Super Duplex Stainless Steel. Surf. Coatings Technol. 2021, 413, 17–20. [Google Scholar] [CrossRef]
- Olsson, J.; Snis, M. Duplex—A New Generation of Stainless Steels for Desalination Plants. Desalination 2007, 205, 104–113. [Google Scholar] [CrossRef]
- Tan, H.; Jiang, Y.; Deng, B.; Sun, T.; Xu, J.; Li, J. Effect of Annealing Temperature on the Pitting Corrosion Resistance of Super Duplex Stainless Steel UNS S32750. Mater. Charact. 2009, 60, 1049–1054. [Google Scholar] [CrossRef]
- Zhang, J.; Hu, X.; Lin, P.; Chou, K. Effect of Solution Annealing on the Microstructure Evolution and Corrosion Behavior of 2205 Duplex Stainless Steel. Mater. Corros. 2019, 70, 676–687. [Google Scholar] [CrossRef]
- Weber, L.; Uggowitzer, P.J. Partitioning of Chromium and Molybdenum in Super Duplex Stainless Steels with Respect to Nitrogen and Nickel Content. Mater. Sci. Eng. A 1998, 242, 222–229. [Google Scholar] [CrossRef]
- Badji, R.; Bouabdallah, M.; Bacroix, B.; Kahloun, C.; Belkessa, B.; Maza, H. Phase Transformation and Mechanical Behavior in Annealed 2205 Duplex Stainless Steel Welds. Mater. Charact. 2008, 59, 447–453. [Google Scholar] [CrossRef]
- Gholami, M.; Hoseinpoor, M.; Moayed, M.H. A Statistical Study on the Effect of Annealing Temperature on Pitting Corrosion Resistance of 2205 Duplex Stainless Steel. Corros. Sci. 2015, 94, 156–164. [Google Scholar] [CrossRef]
- Fargas, G.; Mestra, A.; Mateo, A. Effect of Sigma Phase on the Wear Behavior of a Super Duplex Stainless Steel. Wear 2013, 303, 584–590. [Google Scholar] [CrossRef]
- Chan, K.W.; Tjong, S.C. Effect of Secondary Phase Precipitation on the Corrosion Behavior of Duplex Stainless Steels. Materials 2014, 7, 5268–5304. [Google Scholar] [CrossRef] [PubMed]
- Wang, M.; Wang, Y.; Wang, J.; Fan, N.; Yan, F. Effect of Heat Treatment Temperature and Lubricating Conditions on the Fretting Wear Behavior of SAF 2507 Super Duplex Stainless Steel. J. Tribol. 2019, 141, 1–8. [Google Scholar] [CrossRef]
- Maamache, B.; Cheniti, B.; Belkessa, B.; Tahar-chaouch, K.; Kouba, R. Effect of Aging Temperature on the Microstructure, Local Mechanical Properties, and Wear Behavior of a UNS S32750 Super Duplex Stainless Steel. J. Mater. Eng. Perform. 2021, 30, 546–555. [Google Scholar] [CrossRef]
- Davanageri, M.B.; Narendranath, S.; Kadoli, R.; Chen, T.H.; Weng, K.L.; Yang, J.R.; Llorca-Isern, N.; López-Luque, H.; López-Jiménez, I.; Biezma, M.V.; et al. Influence of Heat Treatment on Microstructure, Hardness and Wear Behavior of Super Duplex Stainless Steel AISI 2507. Am. J. Mater. Sci. 2015, 5, 48–52. [Google Scholar] [CrossRef]
- del Abra-Arzola, J.L.; García-Rentería, M.A.; Cruz-Hernández, V.L.; García-Guerra, J.; Martínez-Landeros, V.H.; Falcón-Franco, L.A.; Curiel-López, F.F. Study of the Effect of Sigma Phase Precipitation on the Sliding Wear and Corrosion Behaviour of Duplex Stainless Steel AISI 2205. Wear 2018, 400–401, 43–51. [Google Scholar] [CrossRef]
- Khan, W.N.; Chhibber, R. Effect of Intermetallic and Secondary Phases on Dry and Wet Sliding Wear Behavior of Super Duplex Stainless Steel. Tribol. Trans. 2020, 63, 403–414. [Google Scholar] [CrossRef]
- Davanageri, M.; Narendranath, S.; Kadoli, R. Influence of Ageing Time on Hardness, Microstructure and Wear Behaviour of AISI2507 Super Duplex Stainless Steel. Mater. Res. Express 2017, 4, 086506. [Google Scholar] [CrossRef]
- Argandoña, G.; Palacio, J.F.; Berlanga, C.; Biezma, M.V.; Rivero, P.J.; Peña, J.; Rodriguez, R. Effect of the Temperature in the Mechanical Properties of Austenite, Ferrite and Sigma Phases of Duplex Stainless Steels Using Hardness, Microhardness and Nanoindentation Techniques. Metals 2017, 7, 219. [Google Scholar] [CrossRef]
- dos Santos, D.C.; Magnabosco, R. Kinetic Study to Predict Sigma Phase Formation in Duplex Stainless Steels. Metall. Mater. Trans. A Phys. Metall. Mater. Sci. 2016, 47, 1554–1565. [Google Scholar] [CrossRef]
- Sieurin, H.; Sandström, R. Sigma Phase Precipitation in Duplex Stainless Steel 2205. Mater. Sci. Eng. A 2007, 444, 271–276. [Google Scholar] [CrossRef]
- Magnabosco, R. Kinetics of Sigma Phase Formation in a Duplex Stainless Steel. Mater. Res. 2009, 12, 321–327. [Google Scholar] [CrossRef]
- de Mendonça Ferreira, S.T.; Bacco, A.L.K.; do Nascimento, E.M.; Lepienski, C.M. Mechanical Characterization and Micro-Wear of FeB/Fe2B Layers on Boriding AISI D2 and AISI 4340 Steels. Mater. Sci. Appl. 2021, 12, 330–344. [Google Scholar] [CrossRef]
- Tavares, T.B.; Rodrigues, D.G.; Santos, D.B. Effect of Warm Rolling and Annealing on Microstructure, Texture, and Mechanical Properties of a 2205 Duplex Stainless Steel. Steel Res. Int. 2020, 91, 1900543. [Google Scholar] [CrossRef]
- Sun, Q.; Wang, J.; Li, H.B.; Li, Y.; Hu, Y.D.; Bai, J.G.; Han, P.D. Chi Phase after Short-Term Aging and Corrosion Behavior in 2205 Duplex Stainless Steel. J. Iron Steel Res. Int. 2016, 23, 1071–1079. [Google Scholar] [CrossRef]
- Gadelrab, K.R.; Li, G.; Chiesa, M.; Souier, T. Local Characterization of Austenite and Ferrite Phases in Duplex Stainless Steel Using MFM and Nanoindentation. J. Mater. Res. 2012, 27, 1573–1579. [Google Scholar] [CrossRef]
- May, J.E.; De Souza, C.A.C.; Nascente, P.A.D.P.; Soares, P.; Lepienski, C.M.; Kuri, S.E. Effect of Thermal Aging Conditions on the Corrosion Properties and Hardness of a Duplex Stainless Steel. Mater. Res. 2010, 13, 431–436. [Google Scholar] [CrossRef]
- Qian, L.; Li, M.; Zhou, Z.; Yang, H.; Shi, X. Comparison of Nano-Indentation Hardness to Microhardness. Surf. Coatings Technol. 2005, 195, 264–271. [Google Scholar] [CrossRef]
- Silva, D.D.S.; Simões, T.A.; Macedo, D.A.; Bueno, A.H.S.; Torres, S.M.; Gomes, R.M. Microstructural Influence of Sigma Phase on Pitting Corrosion Behavior of Duplex Stainless Steel/NaCl Electrolyte Couple; Elsevier: Amsterdam, The Netherlands, 2021; Volume 259, ISBN 0000000337380. [Google Scholar]
- Ohmura, T.; Tsuzaki, K.; Sawada, K.; Kimura, K. Inhomogeneous Nano-Mechanical Properties in the Multi-Phase Microstructure of Long-Term Aged Type 316 Stainless Steel. J. Mater. Res. 2006, 21, 1229–1236. [Google Scholar] [CrossRef]
- Davanageri, M.B.; Narendranath, S.; Kadoli, R. Effect of Sigma (σ) Phase on Mechanical and Dry Sliding Wear. Mater. Today Proc. 2017, 4, 10189–10196. [Google Scholar] [CrossRef]
- Duprez, L.; De Cooman, B.C.; Akdut, N. Microstructure Evolution during Isothermal Annealing of a Standard Duplex Stainless Steel Type 1.4462. Steel Res. 2000, 71, 417–422. [Google Scholar] [CrossRef]
- Duprez, L.; De Cooman, B.C.; Akdut, N. Deformation Behaviour of Duplex Stainless Steel during Industrial Hot Rolling. Steel Res. 2002, 73, 531–538. [Google Scholar] [CrossRef]
- APERAM Duplex Stainless Steel DX1803/DX2205. Available online: https://www.aperam.com/product/dx2205-en-1-4462/ (accessed on 2 August 2022).
- De Lacerda, J.C.; Cândido, L.C.; Godefroid, L.B. Effect of Volume Fraction of Phases and Precipitates on the Mechanical Behavior of UNS S31803 Duplex Stainless Steel. Int. J. Fatigue 2015, 74, 81–87. [Google Scholar] [CrossRef]
- Wang, X.F.; Yang, X.P.; Guo, Z.D.; Zhou, Y.C.; Song, H.W. Nanoindentation Characterization of Mechanical Properties of Ferrite and Austenite in Duplex Stainless Steel. Adv. Mater. Res. 2007, 26–28, 1165–1170. [Google Scholar] [CrossRef]














| Sample | %α | %γ | %σ |
|---|---|---|---|
| 850 °C | 30.0 ± 5.1 | 62.1 ± 4.9 | 7.9 ± 1.6 |
| 950 °C | 47.6 ± 5.0 | 49.2 ± 4.1 | 3.3 ± 1.3 |
| 1000 °C | 51.7 ± 2.0 | 48.3 ± 2.0 | - |
| 1150 °C | 62.3 ± 3.2 | 37.7 ± 3.2 | - |
| H (GPa) | HV (Kp/mm2) | Vickers Microhardness (HV0.5) | ||
|---|---|---|---|---|
| 850 °C | Ferrite | 4.1 ± 0.6 | 381 ± (58) | 333 ± 15 |
| Austenite | 4.0 ± 0.3 | 367± (22) | ||
| Sigma | 8.0 ± 1.5 | 743 ± (139) | ||
| 950 °C | Ferrite | 3.7 ± 0.1 | 341 ± (11) | 264 ± 13 |
| Austenite | 3.6 ± 0.1 | 335 ± (14) | ||
| Sigma | 8.3 ± 1.8 | 767 ± (163) | ||
| 1000 °C | Ferrite | 3.6 ± 0.1 | 330 ± (9) | 240 ± 13 |
| Austenite | 3.6 ± 0.1 | 338 ± (12) | ||
| Sigma | - | - | ||
| 1150 °C | Ferrite | 3.8 ± 0.1 | 322 ± (14) | 249 ± 4 |
| Austenite | 3.8 ± 0.1 | 355 ± (14) | ||
| Sigma | - | - | ||
Disclaimer/Publisher’s Note: The statements, opinions and data contained in all publications are solely those of the individual author(s) and contributor(s) and not of MDPI and/or the editor(s). MDPI and/or the editor(s) disclaim responsibility for any injury to people or property resulting from any ideas, methods, instructions or products referred to in the content. |
© 2023 by the authors. Licensee MDPI, Basel, Switzerland. This article is an open access article distributed under the terms and conditions of the Creative Commons Attribution (CC BY) license (https://creativecommons.org/licenses/by/4.0/).
Share and Cite
Ribeiro, J.J.K.; Turin, A.R.; Nuñez de la Rosa, Y.E.; Quadros, P.V.C.A.; Calabokis, O.P.; Lepienski, C.M.; Brunatto, S.F.; Borges, P.C. Mechanical Characterization at Nanoscale of Austenite, Ferrite, and Sigma Phases via Hardness Measurement and Fretting Wear Behavior of a Duplex Stainless Steel. Metals 2023, 13, 864. https://doi.org/10.3390/met13050864
Ribeiro JJK, Turin AR, Nuñez de la Rosa YE, Quadros PVCA, Calabokis OP, Lepienski CM, Brunatto SF, Borges PC. Mechanical Characterization at Nanoscale of Austenite, Ferrite, and Sigma Phases via Hardness Measurement and Fretting Wear Behavior of a Duplex Stainless Steel. Metals. 2023; 13(5):864. https://doi.org/10.3390/met13050864
Chicago/Turabian StyleRibeiro, Jomar José Knaip, Alba Regina Turin, Yamid E. Nuñez de la Rosa, Pedro Victorio Caetano Abrantes Quadros, Oriana Palma Calabokis, Carlos Maurício Lepienski, Silvio Francisco Brunatto, and Paulo César Borges. 2023. "Mechanical Characterization at Nanoscale of Austenite, Ferrite, and Sigma Phases via Hardness Measurement and Fretting Wear Behavior of a Duplex Stainless Steel" Metals 13, no. 5: 864. https://doi.org/10.3390/met13050864
APA StyleRibeiro, J. J. K., Turin, A. R., Nuñez de la Rosa, Y. E., Quadros, P. V. C. A., Calabokis, O. P., Lepienski, C. M., Brunatto, S. F., & Borges, P. C. (2023). Mechanical Characterization at Nanoscale of Austenite, Ferrite, and Sigma Phases via Hardness Measurement and Fretting Wear Behavior of a Duplex Stainless Steel. Metals, 13(5), 864. https://doi.org/10.3390/met13050864

