The Effect of Black-Dot Defects on FeCrAl Radiation Hardening
Abstract
1. Introduction
2. Materials and Methods
3. Results and Discussion
3.1. Irradiation-Induced Structural Evolution
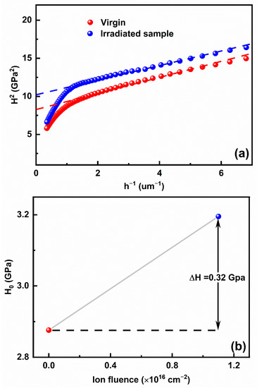
3.2. Irradiation-Induced Hardness Evolution
4. Conclusions
Author Contributions
Funding
Data Availability Statement
Acknowledgments
Conflicts of Interest
References
- Awual, M.R.; Suzuki, S.; Taguchi, T.; Shiwaku, H.; Okamoto, Y.; Yaita, T. Radioactive cesium removal from nuclear wastewater by novel inorganic and conjugate adsorbents. Chem. Eng. J. 2014, 242, 127–135. [Google Scholar] [CrossRef]
- Shen, N.; Yang, Z.; Liu, S.; Dai, X.; Xiao, C.; Taylor-Pashow, K.; Li, D.; Yang, C.; Li, J.; Zhang, Y.; et al. 99TcO4−removal from legacy defense nuclear waste by an alkaline-sTable 2D cationic metal organic framework. Nat. Commun. 2020, 11, 5571. [Google Scholar] [CrossRef] [PubMed]
- Was, G.S.; Petti, D.; Ukai, S.; Zinkle, S. Materials for future nuclear energy systems. J. Nucl. Mater. 2019, 527, 151837. [Google Scholar] [CrossRef]
- Terrani, K.A.; Zinkle, S.J.; Snead, L.L. Advanced oxidation-resistant iron-based alloys for LWR fuel cladding. J. Nucl. Mater. 2014, 448, 420–435. [Google Scholar] [CrossRef]
- Hellstrom, K.; Hall, J.; Malmberg, P.; Cao, Y.; Norell, M.; Svensson, J.E. Mitigation of fireside corrosion in power plants: The combined effect of sulfur dioxide and potassium chloride on the corrosion of a FeCrAl alloy. Energy Fuels 2014, 28, 6116–6129. [Google Scholar] [CrossRef]
- Zinkle, S.J.; Terrani, K.A.; Snead, L.L. Motivation for utilizing new high-performance advanced materials in nuclear energy systems. Curr. Opin. Solid State Mater. Sci. 2016, 20, 401–410. [Google Scholar] [CrossRef]
- Cheng, T.; Keiser, J.R.; Brady, M.P.; Terrani, K.A.; Pint, B.A. Oxidation of fuel cladding candidate materials in steam environments at high temperature and pressure. J. Nucl. Mater. 2012, 427, 396–400. [Google Scholar] [CrossRef]
- Pint, B.A.; Terrani, K.A.; Brady, M.P.; Cheng, T.; Keiser, J.R. High temperature oxidation of fuel cladding candidate materials in steam–hydrogen environments. J. Nucl. Mater. 2013, 440, 420–427. [Google Scholar] [CrossRef]
- Ott, L.J.; Robb, K.R.; Wang, D. Preliminary assessment of accident-tolerant fuels on LWR performance during normal operation and under DB and BDB accident conditions. J. Nucl. Mater. 2014, 448, 520–533. [Google Scholar] [CrossRef]
- Lim, J.; Hwang, I.S.; Kim, J.H. Design of alumina forming FeCrAl steels for lead or lead–bismuth cooled fast reactors. J. Nucl. Mater. 2013, 441, 650–660. [Google Scholar] [CrossRef]
- Porollo, S.I.; Dvoriashin, A.M.; Vorobyev, A.N.; Konobeev, Y.V. The microstructure and tensile properties of Fe–Cr alloys after neutron irradiation at 400 C to 5.5–7.1 dpa. J. Nucl. Mater. 1998, 256, 247–253. [Google Scholar] [CrossRef]
- Field, K.G.; Briggs, S.A.; Sridharan, K.; Howard, R.H.; Yamamoto, Y. Mechanical properties of neutron-irradiated model and commercial FeCrAl alloys. J. Nucl. Mater. 2017, 489, 118–128. [Google Scholar] [CrossRef]
- Rashad, M.; Saudi, H.A.; Zakaly, H.M.; Issa, S.A.; Abd-Elnaiem, A.M. Control optical characterizations of Ta+5–doped B2O3–Si2O–CaO–BaO glasses by irradiation dose. Opt. Mater. 2021, 112, 110613. [Google Scholar] [CrossRef]
- Mohamed, M.; Moustafa, S.; Abd-Elnaiem, A.M.; Abdel-Rahim, M.A. The optical parameters of γ-irradiated and annealed thin films of Ge15Se50Te35. J. Alloys Compd. 2015, 647, 771–777. [Google Scholar] [CrossRef]
- Mansur, L.K. Theory and experimental background on dimensional changes in irradiated alloys. J. Nucl. Mater. 1994, 216, 97–123. [Google Scholar] [CrossRef]
- Deng, T.; Sun, J.; Tai, P.; Wang, Y.; Zhang, L.; Chang, H.; Wang, Z.; Niu, L.; Sheng, Y.; Xue, D.; et al. Ti3AlC2, a candidate structural material for innovative nuclear energy system: The microstructure phase transformation and defect evolution induced by energetic heavy-ion irradiation. Acta Mater. 2020, 189, 188–203. [Google Scholar] [CrossRef]
- Zinkle, S.J.; Matsukawa, Y. Observation and analysis of defect cluster production and interactions with dislocations. J. Nucl. Mater. 2004, 329, 88–96. [Google Scholar] [CrossRef]
- Han, X.; Zhang, C.; Niu, M.; Ding, Z.; Jang, J.; Wang, T.; Kimura, A. A comparison study of change in hardness and microstructures of a Zr-added FeCrAl ODS steel irradiated with heavy ions. Mater. Sci. Eng. A 2022, 841, 143050. [Google Scholar] [CrossRef]
- Yao, Z.; Jenkins, M.L.; Hernández-Mayoral, M.; Kirk, M.A. The temperature dependence of heavy-ion damage in iron: A microstructural transition at elevated temperatures. Philos. Mag. 2010, 90, 4623–4634. [Google Scholar] [CrossRef]
- Yao, Z.; Hernández-Mayoral, M.; Jenkins, M.L.; Kirk, M.A. Heavy-ion irradiations of Fe and Fe–Cr model alloys Part 1: Damage evolution in thin-foils at lower doses. Philos. Mag. 2008, 88, 2851–2880. [Google Scholar] [CrossRef]
- Hernández-Mayoral, M.; Yao, Z.; Jenkins, M.L.; Kirk, M.A. Heavy-ion irradiations of Fe and Fe–Cr model alloys Part 2: Damage evolution in thin-foils at higher doses. Philos. Mag. 2008, 88, 2881–2897. [Google Scholar] [CrossRef]
- Schäublin, R.; Décamps, B.; Prokhodtseva, A.; Löffler, J.F. On the origin of the primary ½ a0 and a0 loops in irradiated Fe(Cr) alloys. Acta Mater. 2017, 133, 427–439. [Google Scholar] [CrossRef]
- Chen, W.Y.; Miao, Y.; Gan, J.; Okuniewski, M.A.; Maloy, S.A.; Stubbins, J.F. Neutron irradiation effects in Fe and Fe-Cr at 300 °C. Acta Mater. 2016, 111, 407–416. [Google Scholar] [CrossRef]
- Terentyev, D.; Bakaev, A. Radiation-induced strengthening and absorption of dislocation loops in ferritic Fe-Cr alloys: The role of Cr segregation. J. Phys. Condens. Matter 2013, 25, 265702. [Google Scholar] [CrossRef] [PubMed]
- Haley, J.C.; Briggs, S.A.; Edmondson, P.D.; Sridharan, K.; Roberts, S.G.; Lozano-Perez, S.; Field, K.G. Dislocation loop evolution during in-situ ion irradiation of model FeCrAl alloys. Acta Mater. 2017, 136, 390–401. [Google Scholar] [CrossRef]
- Yu, M.; Wang, Z.; Wang, F.; Setyawan, W.; Long, X.; Liu, Y.; Dong, L.; Gao, N.; Gao, F.; Wang, X. Coupled effect of Cr and Al on interactions between a prismatic interstitial dislocation loop and an edge dislocation line in Fe-Cr-Al alloy. Acta Mater. 2023, 245, 118651. [Google Scholar] [CrossRef]
- Chen, Y.; Li, Y.; Ran, G.; Wu, L.; Ye, C.; Han, Q.; Wang, H.; Du, H. In-situ TEM observation of the evolution of dislocation loops and helium bubbles in a pre helium irradiated FeCrAl alloy during annealing. Prog. Nucl. Energy 2020, 129, 103502. [Google Scholar] [CrossRef]
- Prokhodtseva, A.; Décamps, B.; Ramar, A.; Schäublin, R. Impact of He and Cr on defect accumulation in ion-irradiated ultrahigh-purity Fe (Cr) alloys. Acta Mater. 2013, 61, 6958–6971. [Google Scholar] [CrossRef]
- Li, F.; Long, Y.; Guo, D.; Guo, L.; Lin, W.; Chen, Y.; Li, L.; Ren, Q.; Liao, Y. Ion Irradiation Defects and Hardening in FeCrAl Alloy. Metals 2022, 12, 1645. [Google Scholar] [CrossRef]
- Kondo, K.; Aoki, S.; Yamashita, S.; Ukai, S.; Sakamoto, K.; Hirai, M.; Kimura, A. Ion irradiation effects on FeCrAl-ODS ferritic steel. Nucl. Mater. Energy 2018, 15, 13–16. [Google Scholar] [CrossRef]
- Aydogan, E.; Weaver, J.S.; Maloy, S.A.; El-Atwani, O.; Wang, Y.Q.; Mara, N.A. Microstructure and mechanical properties of FeCrAl alloys under heavy ion irradiations. J. Nucl. Mater. 2018, 503, 250–262. [Google Scholar] [CrossRef]
- Wang, P.; Qiao, Y.; Qi, W.; Du, S.; Liu, Z.; Meng, F.; Zhang, X.; Wang, K.; Li, Q.; Yao, Z.; et al. Preparation and Properties Study of Cr on FeCrAl Cladding Materials. Front. Mater. 2021, 8, 621086. [Google Scholar] [CrossRef]
- Ziegler, J.F.; Ziegler, M.D.; Biersack, J.P. SRIM–The stopping and range of ions in matter (2010). Nucl. Instrum. Methods Phys. Res. Sect. B 2010, 268, 1818–1823. [Google Scholar] [CrossRef]
- Stoller, R.E.; Toloczko, M.B.; Was, G.S.; Certain, A.G.; Dwaraknath, S.; Garner, F.A. On the use of SRIM for computing radiation damage exposure. Nucl. Instrum. Methods Phys. Res. Sect. B 2013, 310, 75–80. [Google Scholar] [CrossRef]
- Wang, Y.; Zhou, W.; Wen, Q.; Ruan, X.; Luo, F.; Bai, G.; Qing, Y.; Zhu, D.; Huang, Z.; Zhang, Y.; et al. Behavior of plasma sprayed Cr coatings and FeCrAl coatings on Zr fuel cladding under loss-of-coolant accident conditions. Surf. Coat. Technol. 2018, 344, 141–148. [Google Scholar] [CrossRef]
- Allen, S.M.; Hall, E.L. Foil thickness measurements from convergent-beam diffraction patterns an experimental assessment of errors. Philos. Mag. A 1982, 46, 243–253. [Google Scholar] [CrossRef]
- Pharr, G.M.; Herbert, E.G.; Gao, Y. The indentation size effect: A critical examination of experimental observations and mechanistic interpretations. Annu. Rev. Mater. Res. 2010, 40, 271–292. [Google Scholar] [CrossRef]
- Kwon, J.; Kwon, S.C.; Hong, J.H. Prediction of radiation hardening in reactor pressure vessel steel based on a theoretical model. Ann. Nucl. Energy 2003, 30, 1549–1559. [Google Scholar] [CrossRef]
- Li, S.; Wang, Y.; Dai, X.; Liu, F.; Li, J.; Wang, X. Evaluation of hardening behaviors in ion-irradiated Fe–9Cr and Fe–20Cr alloys by nanoindentation technique. J. Nucl. Mater 2016, 478, 50–55. [Google Scholar] [CrossRef]
- Nix, W.D.; Gao, H. Indentation size effects in crystalline materials: A law for strain gradient plasticity. J. Mech. Phys. Solids 1998, 46, 411–425. [Google Scholar] [CrossRef]
- Hosemann, P.; Kiener, D.; Wang, Y.; Maloy, S.A. Issues to consider using nano indentation on shallow ion beam irradiated materials. J. Nucl. Mater. 2012, 425, 136–139. [Google Scholar] [CrossRef]
- Kasada, R.; Takayama, Y.; Yabuuchi, K.; Kimura, A. A new approach to evaluate irradiation hardening of ion-irradiated ferritic alloys by nano-indentation techniques. Fusion Eng. Des. 2011, 86, 2658–2661. [Google Scholar] [CrossRef]
- Miyazawa, T.; Nagasaka, T.; Kasada, R.; Hishinuma, Y.; Muroga, T.; Watanabe, H.; Yamamoto, T.; Nogami, S.; Hatakeyama, M. Evaluation of irradiation hardening of ion-irradiated V–4Cr–4Ti and V–4Cr–4Ti–0.15 Y alloys by nanoindentation techniques. J. Nucl. Mater. 2014, 455, 440–444. [Google Scholar] [CrossRef]
- Kareer, A.; Prasitthipayong, A.; Krumwiede, D.; Collins, D.M.; Hosemann, P.; Roberts, S.G. An analytical method to extract irradiation hardening from nanoindentation hardness-depth curves. J. Nucl. Mater. 2018, 498, 274–281. [Google Scholar] [CrossRef]





Disclaimer/Publisher’s Note: The statements, opinions and data contained in all publications are solely those of the individual author(s) and contributor(s) and not of MDPI and/or the editor(s). MDPI and/or the editor(s) disclaim responsibility for any injury to people or property resulting from any ideas, methods, instructions or products referred to in the content. |
© 2023 by the authors. Licensee MDPI, Basel, Switzerland. This article is an open access article distributed under the terms and conditions of the Creative Commons Attribution (CC BY) license (https://creativecommons.org/licenses/by/4.0/).
Share and Cite
Sun, J.; Yu, M.; Wei, Z.; Dai, H.; Ma, W.; Dong, Y.; Liu, Y.; Gao, N.; Wang, X. The Effect of Black-Dot Defects on FeCrAl Radiation Hardening. Metals 2023, 13, 458. https://doi.org/10.3390/met13030458
Sun J, Yu M, Wei Z, Dai H, Ma W, Dong Y, Liu Y, Gao N, Wang X. The Effect of Black-Dot Defects on FeCrAl Radiation Hardening. Metals. 2023; 13(3):458. https://doi.org/10.3390/met13030458
Chicago/Turabian StyleSun, Jian, Miaosen Yu, Zhixian Wei, Hui Dai, Wenxue Ma, Yibin Dong, Yong Liu, Ning Gao, and Xuelin Wang. 2023. "The Effect of Black-Dot Defects on FeCrAl Radiation Hardening" Metals 13, no. 3: 458. https://doi.org/10.3390/met13030458
APA StyleSun, J., Yu, M., Wei, Z., Dai, H., Ma, W., Dong, Y., Liu, Y., Gao, N., & Wang, X. (2023). The Effect of Black-Dot Defects on FeCrAl Radiation Hardening. Metals, 13(3), 458. https://doi.org/10.3390/met13030458

