Abstract
The high demand for rare earth permanent magnets (REPMs) for use in advanced electrical equipment has led to the classification of some rare earth elements (REEs), such as neodymium, praseodymium, and dysprosium, as strategic raw materials by the European Union. Finding an efficient method with economic benefits and minimal environmental impact is one of the challenges of recycling REPMs. A novel method to recover REPM metals by dissolving them with citric acid and separating the rare earth elements using the solvent extraction method as the next step has been introduced. Therefore, this research investigates the efficiency and kinetics of leaching REPM swarf by citric acid (0.5 to 2.5 M). The results showed that increasing the citric acid concentration from 0.5 M to 1.45 M significantly enhanced the dissolving rate of all studied elements. Although the results showed that the optimal concentration of citric acid in the leaching reagent was between 0.9 and 1.45 M, the REE dissolving reaction with a leaching reagent containing 1.45 M and 0.9 M citric acid reached equilibrium conditions at about 120 and 180 min, respectively. It could be concluded that using citric acid as an organic acid can dissolve the metals in REPM swarf with high efficiency and a fast dissolving rate. This issue can be considered key for recycling REPMs and the future REE supply challenge.
1. Introduction
The various applications of rare earth permanent magnets (REPMs) in electrical instruments and industrial equipment, such as wind turbines, hard disk drives, and electric vehicles, have led to some rare earth elements (REEs) being recognized as strategic elements [1]. In addition, the advancement of technology has caused more than tens of thousands of tons of REPM waste to be produced annually in the world either at the end-of-life or during the production of REPMs [2,3]. Therefore, recovering the elements from permanent magnets is important from economic and environmental points of view. The non-production of polluted gases and the ability to use a variety of magnet compounds, as well as processing steps similar to the extraction of rare earth elements from primary ore, can be mentioned as the advantages of hydrometallurgical methods for recycling permanent magnets [4,5].
Various studies have been carried out to investigate the effect of mineral acids leaching reagents, such as sulfuric [6,7,8], hydrochloric [8,9,10], and nitric [10] acids, and organic acids leaching reagents [11,12,13], such as citric, acetic, formic, and tartaric acids, on the leaching efficiency of REPMs. Although the results showed that both types of acids can dissolve the metals in REPMs, environmental issues have caused more attention to be drawn toward using organic acids as green solvents.
The leaching of REPMs was investigated by adding NaCl and HCl in the first and second steps, respectively [14]. The results of this method showed that more than 97% of Nd could be dissolved at room temperature. The long time taken to mix the REPMs and NaCl (7 days) can be mentioned as the main problem of this method. Investigating the leaching kinetics of REEs from spent hard disks showed that the dissolution efficiency of this type of REPM with sulfuric acid is higher than with acetic and oxalic acids [15].
Yoon et al. [7] found that ash-layer diffusion was the main rate-determining stage of neodymium dissolving (from REPM) with sulfuric acid, and the shrinkage sphere was fitted to kinetic results. In addition, Behera and Parhi [13] investigated the effects of chemical and operational parameters on the leaching of REPMs withacetic acid. They concluded that the leaching of REPMs with acetic acid followed the shrinkage sphere model, and the concentration of the acetic acid and the reaction temperature were the limitation parameters of Nd and Fe leaching. Kumari et al. [10] investigated a pyro-hydrometallurgical method to dissolve REPMs from wind turbines with hydrochloric acid. They found that the mixed controlled model was the most suitable kinetic model for REPM leaching. Furthermore, they concluded that the surface chemical reaction and mass transfer limited the dissolving reaction of REPMS with HCl. Additionally, Kitagawa and Uemura reported that the leaching kinetics of REPMs’ scrap with acetic acid followed the shrinking sphere model [16].
A novel hydrometallurgical method to recover the metals from REPMs has been introduced by Birloaga and Vegliò [17]. In this method, citric acid is used as the leaching reagent to dissolve the REEs and Fe from REPMs, and the solvent extraction process is applied to extract REEs from the pregnant leach solution (PLS). The results of the initial experiments using this method showed that determining the optimal conditions of the leaching stage plays an important role in the overall efficiency of this method.
Given that most of the previous research was carried out to find an efficient method to recover REEs from the swarf, scrap, and end-of-life of REPMs, investigating the mechanisms of these methods can lead to the faster development of the recycling of REPMs. It should be noted that evaluating the kinetics of metals’ dissolving, as well as determining the suitable fitted kinetic model, can be considered as the key to optimizing the leaching process (metal extraction and selectivity) and scaling-up.
According to the good results obtained from the initial experiments of recycling REPMs using citric acid (as a leaching reagent) and recovering REEs in the form of oxides, determining the kinetic model of leaching REPMs can lead to optimizing this method. As the kinetic model of REPMs’ leaching in the citric acid media has not been comprehensively investigated, this research tries to evaluate the dissolution behavior of REPMs in this media. Therefore, some experiments were carried out to evaluate the effect of citric acid (organic acid) concentration in the range of 0.5 to 2.5 M on the dissolving efficiency of REPM main metals, such as Nd, Fe, Pr, Dy, Tb, B, and Y. The results showed that citric acid has a high potential to dissolve both light and heavy REEs as well as Fe from REPMs; which could be followed by other processes such as solvent extraction to produce the pure REE and Fe oxides powder.
2. Materials and Methods
2.1. Materials
The permanent magnet swarf (achieved at the hydrogen decrepitation stage of the REPM production stage) was used as the raw material in the leaching process. The analytical grade of citric acid (Sigma-Aldrich, Wien, Austria) was dissolved in distilled water to prepare a leaching solution.
2.2. Leaching Stage
To dissolve the metals presented in the REPM swarf (as the feed), 20 g of powder REPM swarf and 200 mL of leaching solution (leach solution to feed ratio of 10 L/kg) were added to a glass flask. Four leach solutions with 0.5, 0.9, 1.45, and 2.5 M citric acid were prepared and used in these experiments. An orbital rotary shaker was used to mix the mentioned materials; with a string rate of 250 rpm for 6 h. It should be noted that leaching experiments were carried out at room temperature.
To investigate the dissolving rate of REPM swarf metals, several samples were taken at different reaction times from the leaching system. ICP-OES (Agilent, model 5100) was used to measure the metal concentration of solutions.
2.3. Kinetics Models
The leaching of REEs, iron, and boron with citric acid occurs by the following reactions:
2 Nd + 2 C6H8O7 = 2 C6H5NdO7 + 3 H2
2 Dy + 2 C6H8O7 = 2 C6H5DyO7 + 3 H2
2 Tb + 2 C6H8O7 = 2 C6H5TbO7 + 3 H2
2 Pr + 2 C6H8O7 = 2 C6H5PrO7 + 3 H2
2 Y + 2 C6H8O7 = 2 C6H5YO7 + 3 H2
2 B + 2 C6H8O7 = 2 C6H5BO7 + 3 H2
Fe + C6H8O7 = C6H6FeO7 + H2
These reactions occur involving reagents of different phases: solid for metals and liquid for citric acid. For heterogeneous reactions of this type, the reaction speed is influenced by various phenomena, such as the rate of diffusive transfer outside the solid particles, the rate of the chemical dissolution reaction, and the rate of diffusion of the products into the particle solid.
In order to describe these phenomena, the use of the Shrinking Core Model [18] is proposed. As described by this model, it is possible to obtain, through the mass balance around the solid particle, the relationship that describes the progress of the reaction over time. To describe the progress of the reaction over time, the conversion α is obtained using the following relationship:
where CLL is the concentration of the metal involved in the reaction in the leaching solution, VLL is the volume of the leaching solution, is the concentration of the metal of interest in the initial solid, and is the mass of the initial solid introduced into the leaching system. Equations related to liquid film diffusion control, chemical reaction control, and solid product layer diffusion control for spherical particles in the Shrinking Core Model are shown in Equations (9)–(11), respectively.
where kF, kR, and kP are the kinetic constants for the various controlling mechanisms, and t is the time elapsed since the start of the test. Generally, these quantities are a function of various factors, as described by the relationship:
where ccitric acid, S/L, and T are the concentration of citric acid, the solid (feed) to leaching reagent ratio, and the reaction temperature, respectively. In addition, rpm is the stirring rate and Φ is the particle size. Through Equation (12), it is possible to obtain Equations (13) and (14).
α = kFt
1 − (1 − α)1/3 = kRt
1 − 3 (1 − α)2/3 + 2(1 − α) = kPt
k = φ(ccitric acid, S/L, T, rpm, Φ…)
k = k0 ccitric acid n φ (S/L, T, rpm, Φ…)
lnk = lnk0′ + n lnccitric acid
Thus, Equation (14) is the linearization of Equation (13), keeping all variables constant except citric acid concentration. The reaction order n can be estimated via regression based on these considerations.
3. Results and Discussion
3.1. Permanent Magnet Swarf Characterization
To measure the metal concentration of REPM swarf using the ICP-OES method, some samples were taken and dissolved at aqua regia (HCl:HNO3 of 3:1). Table 1 shows the average metal concentration (for three analyses) of the REPM swarf. As can be seen, Fe (63.4%) and Nd (20.3%) were the main metals in the REPM swarf. It should be noted that about 28% of these materials consist of both light and heavy REEs. Additionally, some plastic particles were observed in the REEPM swarf sample. Thus, the uncertain part of the sample can be related to plastic materials. Figure 1 shows the insoluble materials from the permanent magnets in aqua regia.
Table 1.
The grade of metals in the PM swarf.
Figure 1.
The insoluble material from PM swarf in aqua regia.
In addition, the particle size of the REPM swarf was examined by applying sieve shakers. The plot of cumulative passing particles via particle size is shown in Figure 2. Based on the plot, the d80 of leaching feed was about 164 µm.
Figure 2.
The particle size plot of PM swarf.
3.2. Effects of Acid Concentration on the Metal Dissolving Efficiency
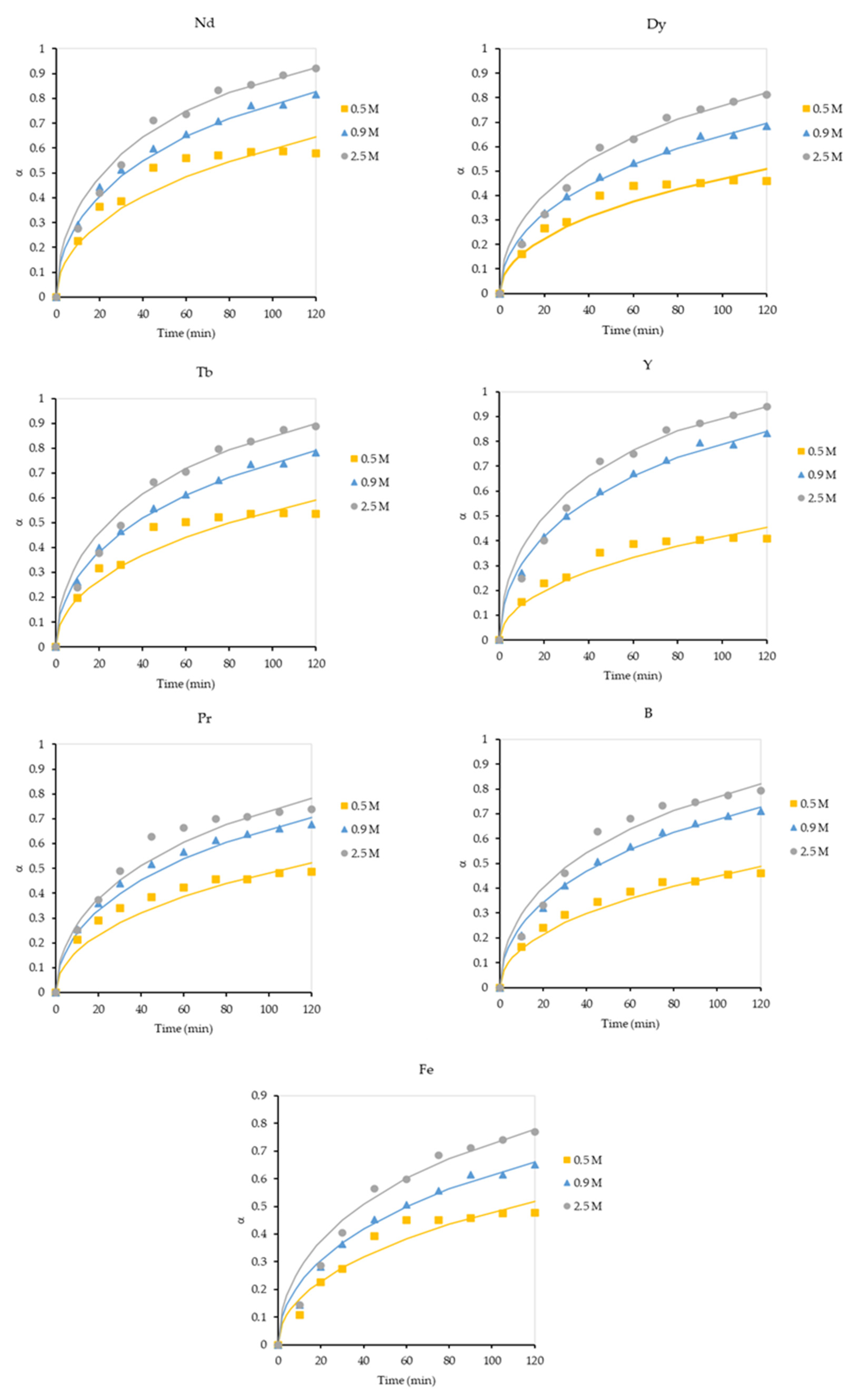
Several experiments were performed to study the effects of leaching time on the metal dissolving of REPM swarf, including REEs, iron, and boron, at different citric acid concentrations in the leach solutions. In these experiments, the citric acid concentration varied from 0.5 M to 2.5 M. Table 2, Table 3, Table 4 and Table 5 show the results of the metal recovery yields for all studied leach solutions during 6 h of mixing. Similar behavior was observed for all the elements considered: (1) increasing time increased the dissolution efficiency of the metal; (2) enhancing the citric acid concentration in the leach solution improved the metal dissolving. As can be seen, about 100% metal dissolving for Nd, Tb, and Y, and 90% for Dy, B, and Fe were achieved with a leach solution containing more than 0.9 M citric acid.
Table 2.
Experimental leaching results: citric acid concentration 0.5 mol/L.
Table 3.
Experimental leaching results: citric acid concentration 0.9 mol/L.
Table 4.
Experimental leaching results: citric acid concentration 1.45 mol/L.
Table 5.
Experimental leaching results: citric acid concentration 2.5 mol/L.
Additionally, the dissolution of REEs, iron, and boron strongly depended on the acid concentration. In particular, the extraction yields increased with increasing acid concentration in the leach solution. This aspect was evident after one hour of reaction and tends to be even more evident over time. Although the equilibrium condition was achieved using 0.9, 1.45, and 2.5 M (less than 5% tolerance in the last three points), the dissolution equilibrium state was not achieved using 0.5 M of citric acid over the 6 h. Therefore, it can be concluded that the use of 0.5 M citric acid requires a long reaction time in addition to low dissolution recovery. On the other hand, increasing the citric acid concentration from 1.45 M to 2.5 M did not change the metal dissolving efficiency significantly (the metal dissolving efficiencies corresponding to both concentrations were almost the same). This behavior can be attributed to the required amount of citrate ion (C6H5O73−) needed to dissolve the REPM metals.
The increase in citric acid concentration can tend towards saturation, indicating that a balance point has been reached between the dissolution capacity of citric acid and the amounts of the metals present in an REPM. This suggests that an optimal amount of citric acid is required to completely dissolve the metals; beyond which the dissolution efficiency does not increase significantly.
The REE dissolving reaction using the leaching reagents containing 1.45 M and 0.9 M citric acid reached equilibrium conditions at about 120 and 180 min, respectively.
In the considered leaching system, the effect of the increase in the acid concentration was more evident in the extraction yield of the different metals when working with lower acid concentrations (0.5–0.9 M). In fact, it can be seen that, when moving from a concentration of 0.5 M to 0.9 M of citric acid, for Nd there was an increase in the leaching yield (120 min) from 58% to 82%. In addition, moving from an acid concentration of 1.45 M to 2.5 M, there was an increase in the Nd leaching yield after 120 min from 90% to 92%.
This behavior, found for all the elements studied, suggests that the optimal concentration of citric acid is in the range of 0.9–1.45 M. In addition, lower concentrations (less than 0.5 M) showed a lack of leaching reagents with significantly low yields. Instead, a further increase in the acid concentration (higher than 1.45 M) did not lead to significant increases in the extraction yields, which would justify the greater consumption of chemicals.
Using the correlation matrix of the data reported above, the connections between the yields of the different metals were analyzed. Each cell of the matrix shows the connection between two metals. The results of this analysis are shown in Figure 3.
Figure 3.
Correlation matrix for the recovery yields of the analyzed metals.
As can be seen from the correlation matrix, the extraction yields of the different metals are strongly linked to each other. This result is due to the fact that the elements considered behave in a similar manner in the leaching conditions used. The elements most correlated with each other appear to be Nd, Dy, and Tb, as can already be guessed by looking at their position on the periodic table.
The element most correlated with all the others is certainly Nd, for which the lowest correlation is 0.991, with Pr. This result could be of great importance to build a single model for all the elements.
Regarding Nd, Tb, and Y, a complete extraction was observed after 240 min of reaction at a citric acid concentration of 1.45 M. The other metals did not reach a complete extraction yield in the analyzed time interval. Indeed, after 360 min at an acid concentration of 1.45 M, Dy, Pr, B, and Fe were leached with an extraction yield of 92%, 85%, 97% and 84%, respectively.
The obtained results show that citric acid is a suitable leaching reagent for dissolving the mentioned metals, as confirmed by various works in the literature [19,20,21]. This behavior is mainly due to the ability of citric acid to form covalent bonds with metal ions such as those of REEs thanks to its carboxyl group (-COOH).
3.3. Kinetic Analysis
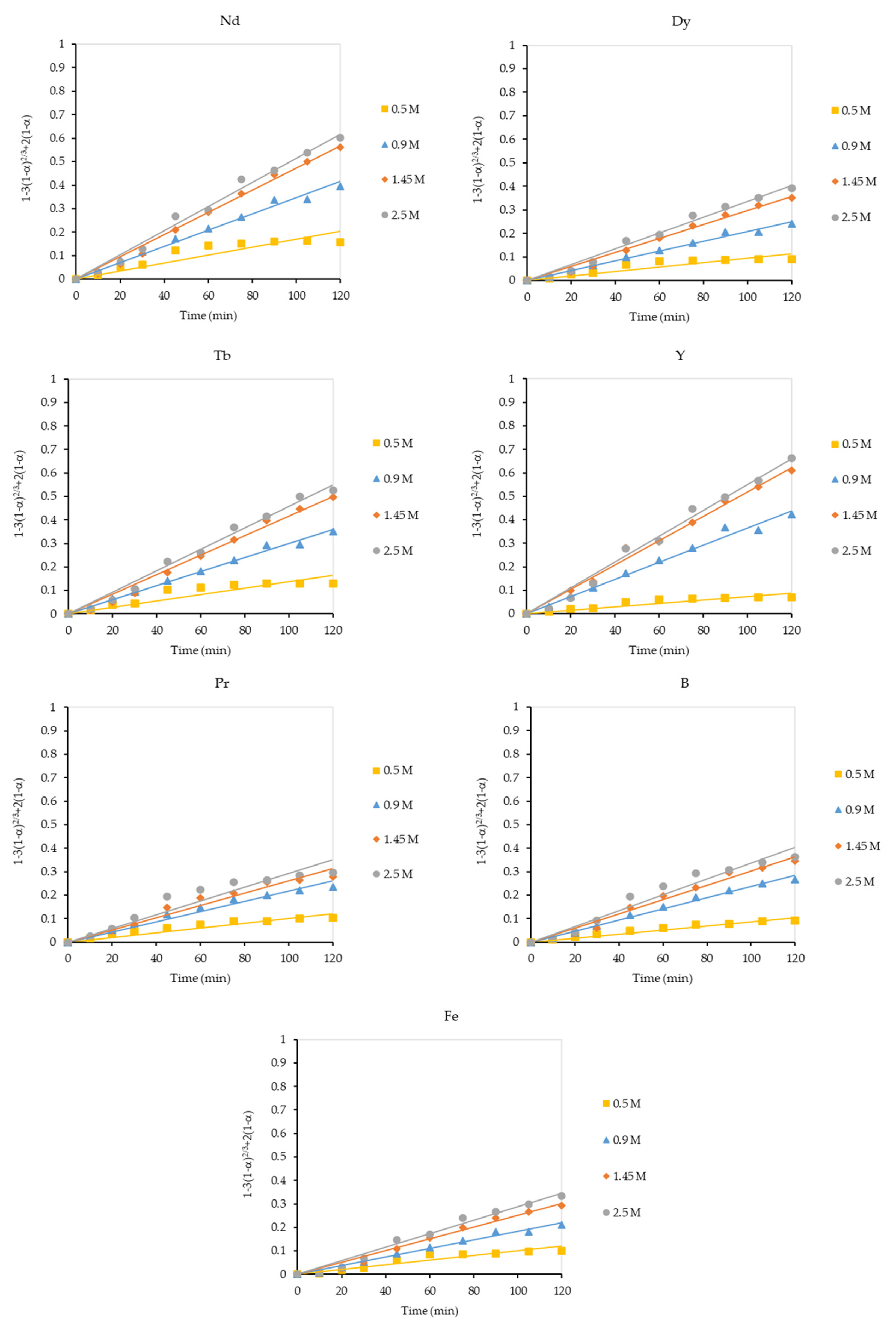
Based on the extraction yields shown in Table 2, Table 3, Table 4 and Table 5, the α, 1 − (1 − α)1/3, and 1 − 3(1 − α)2/3 + 2(1 − α) versus time diagrams for all studied metals (Nd, Dy, Tb, Y, Pr, B, and Fe) in the presence of citric acid in the range of 0.5 to 2.5 M were determined. It should be noted that the best lines were fitted on the graph based on regression. Figure 4 shows the 1 − 3(1 − α)2/3 + 2(1 − α) versus time plots for all studied metals. The slope of these lines corresponds to the kinetic constants. Table 6 shows the values of k for each of the metals considered at different concentrations of citric acid. The coefficient of determination (R2) was calculated for each regression line.
Figure 4.
Plots of 1 − 3(1 − α)2/3 + 2(1 − α) versus time under different citric acid concentrations (Solid-to-liquid ratio: 10 wt./vol., Temperature: 25 °C, stirring rate: 250 rpm, particle size (d80): 164 µm).
Table 6.
Kinetic constants (min−1) and determination coefficients in the product layer diffusion control model for the leaching of PM swarf at different citric acid concentrations (Solid-to-liquid ratio: 10 wt./vol., Temperature: 25 °C, stirring rate: 250 rpm, particle size (d80): 164 µm).
Figure 4 shows a good linear relationship for all the metals considered at all concentrations of citric acid if it is considered the solid product layer diffusion control. Indeed, in all these cases, the coefficients of determination are always very high. This result shows how the residual-layer diffusion controls the leaching reaction. This result can be interpreted from the hydrogen production during leaching reactions of metals using citric acid. The presence of H2 can be an obstacle to the diffusion of citric acid to the reaction site (inside the pores of solid particles). It should be noted that particle size controls internal diffusion [18]. Thus, increasing the particle size leads to more difficulty for H2 to exit from the particle; thus, it accumulates in the pores and reduces the citrate ions’ concentration near the reaction site. On the contrary, smaller average diameters allow the H2 molecules to leave the solid particles more quickly and lead to a greater probability that the citric acid molecules reach the reaction sites.
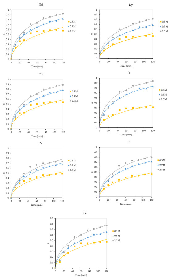
The graphs shown in Figure 5 are based on the determined kinetic parameters. These results demonstrate that the kinetic model used was suitable for describing the analyzed process. As further confirmation of the suitability of the model, Figure 6 shows a scatter plot constructed by comparing the experimental and calculated values.
Figure 5.
Comparison between the experimental (points) and calculated (curves) data by considering the acid concentration effect.
Figure 6.
Scatter diagram between the experimental extraction yields and those calculated.
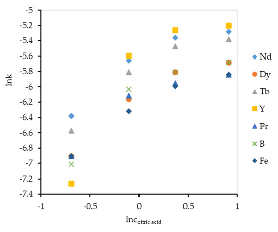
Using the results shown in Table 6, it is possible to obtain, using Equation (14), the graph shown in Figure 7.
Figure 7.
The plot of lnk vs. lnccitric acid for the leaching of different elements from PM swarf (Solid-to-liquid ratio: 10 wt./vol., Temperature: 25 °C, stirring rate: 250 rpm, particle size (d80): 164 µm).
Through a regression with a linear model of the experimental points shown in Figure 7, it is possible to determine the reaction order n of Equations (13) and (14). The results of this analysis are reported in Table 7 for the different elements with the relative coefficients of determination.
Table 7.
Summary of reaction order n for all the elements and related determination coefficients.
Figure 7 and Table 7 show a not-very-good linear relationship between ln(k) and lnccitric acid, with almost all the coefficients of determination below 0.9. This result could be due to an assumption of the model used which is not very faithful to reality. When the relationship for the residual layer diffusion control model is determined from the mass balance around a solid particle, it is assumed that the concentration of citric acid is constant for the entire reaction duration [18]. Obviously, this assumption is never verified in a batch-type system like the one usually used in this type of experiment. The hypothesis is often verified if one works with very low S/L ratios as a negligible amount of reagent is consumed. In the case studied, the S/L ratio of 10 wt/vol is probably not low enough.
In physical terms, a reaction order less than one suggests that the reaction rate is not directly proportional to the concentration of the reactant, and this may be due to reaction processes involving adsorption and desorption, or reactions with complex intermediate steps.
4. Conclusions
This work studied the extraction process of rare earth elements from permanent magnet swarf through citric acid leaching. In particular, the influence of the acid concentration on the extraction yield of Nd, Pr, Dy, Tb, Y, Fe, and B was analyzed.
It was observed that increasing the concentration of citric acid in the range of 0.5 to 1.45 M led to a significant increase in the extraction performance of all the studied metals. The optimal concentration of citric acid was between 0.9 and 1.45 M. A further increase in concentration involved the consumption of reagents, which was excessive compared to the improvement in performance.
The dissolving kinetic of the studied metals was investigated using the Shrinking Core Model. The results show that dissolving REEs with citric acid was under the product layer diffusion control. This aspect is probably due to the formation of H2 during the leaching reactions: a very low internal counter-diffusion of H2 led to an accumulation of gas in the pores of the particle, consequently making it more difficult for the reagents to reach the reaction site. In addition, the reaction order was considered for each metal leaching reaction, and the kinetic constant of the different reactions was determined.
The study allows for significant insights into aspects linked to the leaching of REEs with citric acid. Since the process is under product layer diffusion control, it is essential to consider the particle size in order to achieve high yields in reasonable times. Furthermore, thanks to the kinetic parameters found, it is possible to estimate the quantity of hydrogen produced inside the leaching reactor. These results are essential in optimizing the studied process to be able to carry out a correct scale-up on a pilot and industrial scale.
Author Contributions
Conceptualization, S.R. and R.A.; methodology, P.R., S.R. and F.V.; validation, F.V. and I.B.; formal analysis, P.R. and F.V.; investigation, S.R.; data curation, S.R. and R.A.; writing—original draft preparation, P.R. and S.R.; writing—review and editing, P.R. and S.R.; visualization, I.B. and R.A.; supervision F.V.; project administration, F.V.; funding acquisition, F.V. All authors have read and agreed to the published version of the manuscript.
Funding
This study was developed within the NEW-RE project (number 21116) which was supported and financed by EIT-RawMaterials.
Data Availability Statement
Not applicable.
Acknowledgments
The authors thank all the NEW-RE Consortium partners for collaborating in this research activity. The authors thank the support of Francesco Gallo of the Itelyum Regeneration s.r.l. Company.
Conflicts of Interest
The authors declare no conflict of interest.
References
- Eyl-Mazzega, M.-A.; Mathieu, C. The European union and the energy transition. In The Geopolitics of the Global Energy Transition; Springer: Berlin/Heidelberg, Germany, 2020; pp. 27–46. [Google Scholar]
- Yang, Y.; Lan, C.; Guo, L.; An, Z.; Zhao, Z.; Li, B. Recovery of rare-earth element from rare-earth permanent magnet waste by electro-refining in molten fluorides. Sep. Purif. Technol. 2020, 233, 116030. [Google Scholar] [CrossRef]
- Lixandru, A.; Venkatesan, P.; Jönsson, C.; Poenaru, I.; Hall, B.; Yang, Y.; Walton, A.; Güth, K.; Gauß, R.; Gutfleisch, O. Identification and recovery of rare-earth permanent magnets from waste electrical and electronic equipment. Waste Manag. 2017, 68, 482–489. [Google Scholar] [CrossRef] [PubMed]
- Zhang, Y.; Gu, F.; Su, Z.; Liu, S.; Anderson, C.; Jiang, T. Hydrometallurgical Recovery of Rare Earth Elements from NdFeB Permanent Magnet Scrap: A Review. Metals 2020, 10, 841. [Google Scholar] [CrossRef]
- Romano, P.; Ippolito, N.M.; Vegliò, F. Chemical Characterization of an ARDUINO® Board and Its Surface Mount Devices for the Evaluation of Their Intrinsic Economic Value. Processes 2023, 11, 1911. [Google Scholar] [CrossRef]
- Uysal, E.; Al, S.; Emil-Kaya, E.; Stopic, S.; Gürmen, S.; Friedrich, B. Hydrometallurgical recycling of waste NdFeB magnets: Design of experiment, optimisation of low concentrations of sulphuric acid leaching and process analysis. Can. Met. Q. 2023, 62, 107–118. [Google Scholar] [CrossRef]
- Yoon, H.-S.; Kim, C.-J.; Chung, K.W.; Lee, S.-J.; Joe, A.-R.; Shin, Y.-H.; Lee, S.-I.; Yoo, S.-J.; Kim, J.-G. Leaching kinetics of neodymium in sulfuric acid from E-scrap of NdFeB permanent magnet. Korean J. Chem. Eng. 2014, 31, 706–711. [Google Scholar] [CrossRef]
- Klemettinen, A.; Żak, A.; Chojnacka, I.; Matuska, S.; Leśniewicz, A.; Wełna, M.; Adamski, Z.; Klemettinen, L.; Rycerz, L. Leaching of Rare Earth Elements from NdFeB Magnets without Mechanical Pretreatment by Sulfuric (H2SO4) and Hydrochloric (HCl) Acids. Minerals 2021, 11, 1374. [Google Scholar] [CrossRef]
- Lee, C.-H.; Chen, Y.-J.; Liao, C.-H.; Popuri, S.R.; Tsai, S.-L.; Hung, C.-E. Selective Leaching Process for Neodymium Recovery from Scrap Nd-Fe-B Magnet. Met. Mater. Trans. A 2013, 44, 5825–5833. [Google Scholar] [CrossRef]
- Kumari, A.; Sinha, M.K.; Pramanik, S.; Sahu, S.K. Recovery of rare earths from spent NdFeB magnets of wind turbine: Leaching and kinetic aspects. Waste Manag. 2018, 75, 486–498. [Google Scholar] [CrossRef] [PubMed]
- Gergoric, M.; Ravaux, C.; Steenari, B.-M.; Espegren, F.; Retegan, T. Leaching and Recovery of Rare-Earth Elements from Neodymium Magnet Waste Using Organic Acids. Metals 2018, 8, 721. [Google Scholar] [CrossRef]
- Belfqueh, S.; Seron, A.; Chapron, S.; Arrachart, G.; Menad, N. Evaluating organic acids as alternative leaching reagents for rare earth elements recovery from NdFeB magnets. J. Rare Earths 2023, 41, 621–631. [Google Scholar] [CrossRef]
- Behera, S.; Parhi, P. Leaching kinetics study of neodymium from the scrap magnet using acetic acid. Sep. Purif. Technol. 2016, 160, 59–66. [Google Scholar] [CrossRef]
- Kataoka, Y.; Ono, T.; Tsubota, M.; Kitagawa, J. Improved room-temperature-selectivity between Nd and Fe in Nd recovery from Nd-Fe-B magnet. AIP Adv. 2015, 5, 117212. [Google Scholar] [CrossRef]
- Erust, C.; Akcil, A.; Tuncuk, A.; Deveci, H.; Yazici, E. A Multi-stage Process for Recovery of Neodymium (Nd) and Dysprosium (Dy) from Spent Hard Disc Drives (HDDs). Miner. Process. Extr. Met. Rev. 2021, 42, 90–101. [Google Scholar] [CrossRef]
- Kitagawa, J.; Uemura, R. Rare earth extraction from NdFeB magnet using a closed-loop acid process. Sci. Rep. 2017, 7, 8039. [Google Scholar] [CrossRef] [PubMed]
- Birloaga, I.P.; Vegliò, F. Hydrometallurgical Process for the Treatment of Permanent Magnets. IT102018 2018:000005178. WO2019215583A1, 2019. [Google Scholar]
- Levenspiel, O. Chemical Reaction Engineering; John Wiley & Sons: Hoboken, NJ, USA, 1998. [Google Scholar]
- Ji, B.; Li, Q.; Zhang, W. Leaching recovery of rare earth elements from the calcination product of a coal coarse refuse using organic acids. J. Rare Earths 2022, 40, 318–327. [Google Scholar] [CrossRef]
- Constantine, J.; Lie, J.; Liu, J.-C. Recovery of rare earth elements from spent NiMH batteries using subcritical water extraction with citric acid. J. Environ. Chem. Eng. 2022, 10, 108000. [Google Scholar] [CrossRef]
- Hopfe, S.; Konsulke, S.; Barthen, R.; Lehmann, F.; Kutschke, S.; Pollmann, K. Screening and selection of technologically applicable microorganisms for recovery of rare earth elements from fluorescent powder. Waste Manag. 2018, 79, 554–563. [Google Scholar] [CrossRef] [PubMed]
Disclaimer/Publisher’s Note: The statements, opinions and data contained in all publications are solely those of the individual author(s) and contributor(s) and not of MDPI and/or the editor(s). MDPI and/or the editor(s) disclaim responsibility for any injury to people or property resulting from any ideas, methods, instructions or products referred to in the content. |
© 2023 by the authors. Licensee MDPI, Basel, Switzerland. This article is an open access article distributed under the terms and conditions of the Creative Commons Attribution (CC BY) license (https://creativecommons.org/licenses/by/4.0/).






