Application of Ferromagnetic Microwires as Temperature Sensors in Measurements of Thermal Conductivity
Abstract
1. Introduction
2. Experimental Details
2.1. Ferromagnetic Microwires

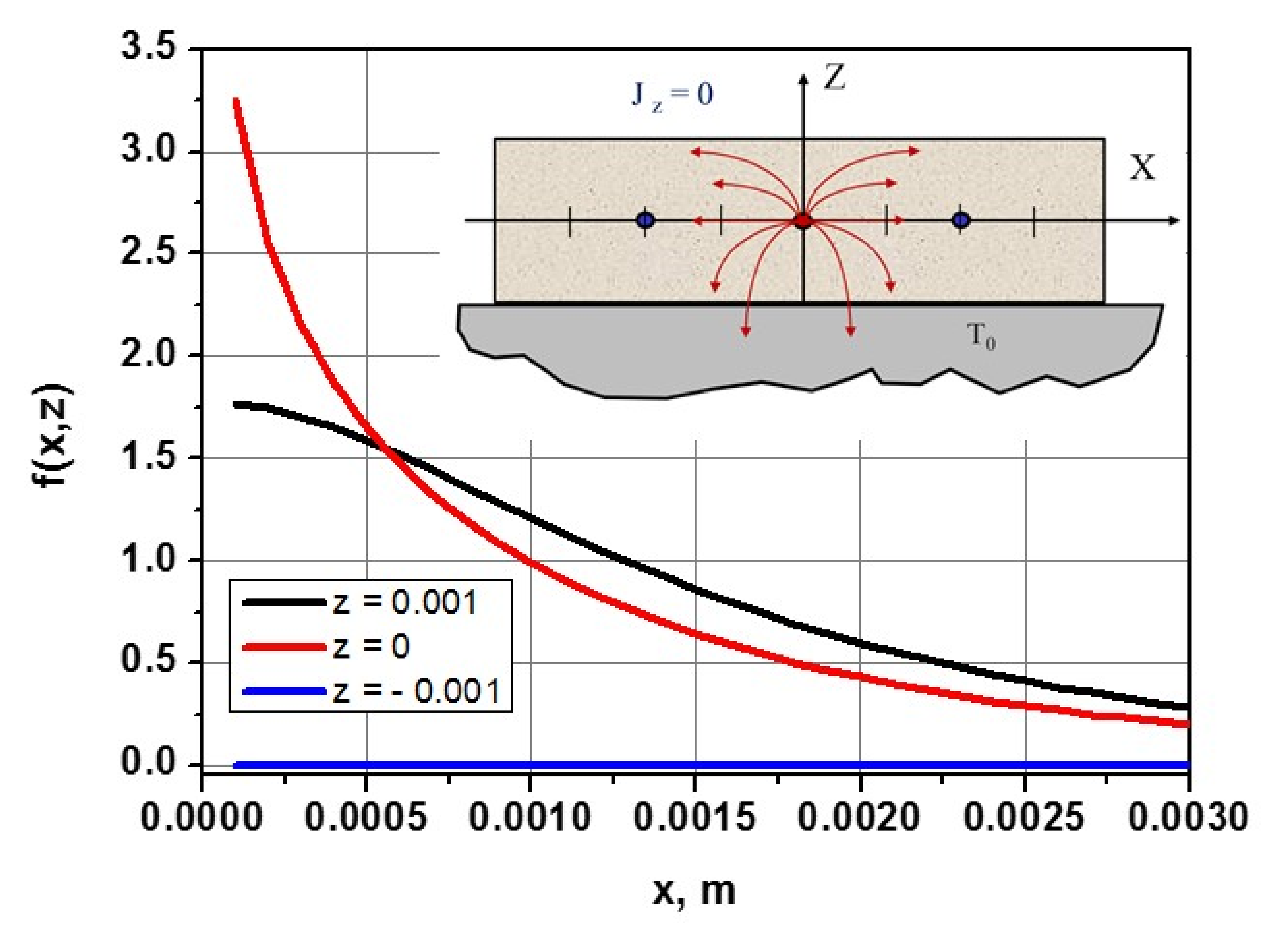
2.2. Model for Determining the Coefficient of Thermal Conductivity Using Microwires
2.3. Samples for Measuring the Thermal Conductivity of Composite Materials
3. Results and Discussion
3.1. Determination of the Thermal Conductivity Coefficient Using Microwires

3.2. Determination of the Thermal Conductivity of a Composite Material by the Laser Flash Method
4. Conclusions
- (1)
- The temperature distribution in a flat heat-conducting layer of a material, which contains an infinitely thin source of thermal power, has been obtained. A method for determining the thermal conductivity of a material layer using thin microwires as heaters and thermometers is proposed.
- (2)
- Current microheaters and resistance thermometers were made on the basis of segments of Co-rich microwires. A technique for embedding several microwires into the polymer composite test material has been developed.
- (3)
- The thermal conductivity values obtained during the experiments are in good agreement with comparative data. These results demonstrate the possibility of using microwires as microsensors to evaluate the efficiency of heat removal and control the thermal regime in polymer composite dielectric materials.
Author Contributions
Funding
Institutional Review Board Statement
Informed Consent Statement
Data Availability Statement
Conflicts of Interest
References
- Kraus, L.; Knobel, M.; Kane, S.N.; Chiriac, H. Influence of Joule heating on magnetostriction and giant magnetoimpedance effect in a glass covered CoFeSiB microwire. J. Appl. Phys. 1999, 85, 5435. [Google Scholar] [CrossRef]
- Chiriac, H.; Ovari, T.A. Amorphous glass-covered magnetic wires: Preparation, properties, applications. Prog. Mater. Sci. 1996, 40, 333–407. [Google Scholar] [CrossRef]
- Zhukova, V.; Chizhik, A.; Zhukov, A.; Torcunov, A.; Larin, V.; Gonzalez, J. Optimization of giant magnetoimpedance in Co-rich amorphous microwires. IEEE Trans. Magn. 2002, 38, 3090–3092. [Google Scholar] [CrossRef]
- Phan, M.H.; Peng, H.X. Giant magnetoimpedance materials: Fundamentals and applications. Prog. Mater. Sci. 2008, 53, 323–420. [Google Scholar] [CrossRef]
- Larin, V.S.; Torcunov, A.V.; Zhukov, A.; Gonzalez, J.; Vazquez, M.; Panina, L. Preparation and Properties of Glass-coated Microwires. J. Magn. Magn. Mater. 2002, 249, 39–45. [Google Scholar] [CrossRef]
- Vazquez, M.; Chiriac, H.; Zhukov, A.; Panina, L.; Uchiyama, T. On the state-of-the art in magnetic microwires and expected trends for scientific and technological studies. Phys. Stat. Sol. A 2011, 208, 493–501. [Google Scholar] [CrossRef]
- Gudoshnikov, S.; Usov, N.; Palvanov, P.; Ljubimov, B.; Serebryakova, O.; Gorbunov, S.; Zhukov, A.; Zhukova, V. Evaluation of use of magnetically bistable microwires for magnetic labels. Phys. Stat. Sol. A 2011, 208, 526–529. [Google Scholar] [CrossRef]
- Alam, J.; Yudanov, N.; Podgornaya, S.; Panina, L.; Nematov, M. High-frequency magnetoimpedance (mi) and stress-mi in amorphous microwires with different anisotropies. Nanomaterials 2021, 11, 1208. [Google Scholar] [CrossRef]
- Gudoshnikov, S.A.; Odintsov, V.I.; Liubimov BYa Menshov, S.A.; Popova, A.V. Correlation of electrical and magnetic properties of Co-rich amorphous ferromagnetic microwires after DC Joule heating treatment. J. Alloys Compd. 2020, 845, 156220. [Google Scholar] [CrossRef]
- Chen, D.; Liu, J.; Zhang, L.; Shen, H.; Sun, J. Large Linear Giant Magneto-Impedance Response of Microwire Annealed under Liquid Medium for Potential Sensor Applications. Metals 2022, 12, 1926. [Google Scholar] [CrossRef]
- Wang, C.; Cao, G.; Liu, J.; Zhang, Y.; Liu, R.; Wang, F.; Zhang, M.; Wang, L.; Zhang, B. Direct Current Annealing Modulated Ordered Structure to Optimize Tensile Mechanical Properties of Co-Based Amorphous Metallic Microwires. Metals 2022, 12, 1427. [Google Scholar] [CrossRef]
- Mohri, K.; Uchiyama, T.; Shen, L.P.; Cai, C.M.; Panina, L.V. Amorphous wire and CMOS IC-based sensitive micro magnetic sensors (MI sensor and SI sensor) for intelligent measurements and controls. J. Magn. Magn. Mater. 2002, 249, 351–356. [Google Scholar] [CrossRef]
- Nematov, M.G.; Baraban, I.; Yudanov, N.A.; Rodionova, V.; Qin, F.X.; Peng, H.X.; Panina, L.V. Evolution of the magnetic anisotropy and magnetostriction in Co-based amorphous alloys microwires due to current annealing and stress-sensory applications. J. Alloys Compd. 2020, 837, 155584. [Google Scholar] [CrossRef]
- Moya, A.; Archilla, D.; Navarro, E.; Hernando, A.; Marin, P. Scattering of Microwaves by a Passive Array Antenna Based on Amorphous Ferromagnetic Microwires for Wireless Sensors with Biomedical Applications. Sensors 2019, 19, 3060. [Google Scholar] [CrossRef] [PubMed]
- Archilla, D.; Lopez-Sanchez, J.; Hernando, A.; Navarro, E.; Marin, P. Boosting the Tunable Microwave Scattering Signature of Sensing Array Platforms Consisting of Amorphous Ferromagnetic Fe2.25Co72.75Si10B15 Microwires and Its Amplification by Intercalating Cu Microwires. Nanomaterial 2021, 11, 920. [Google Scholar] [CrossRef] [PubMed]
- Qin, F.X.; Peng, H.X. Ferromagnetic microwires enabled multifunctional composite materials. Prog. Mater. Sci. 2013, 58, 183–259. [Google Scholar] [CrossRef]
- Qin, F.X.; Peng, H.X.; Chen, Z.; Wang, H.; Zhang, J.W.; Hilton, G. Optimization of microwire/glass-fibre reinforced polymer composites for wind turbine application. J. Appl. Phys. A 2013, 113, 537–542. [Google Scholar] [CrossRef]
- Luo, Y.; Peng, H.X.; Qin, F.X.; Ipatov, M.; Zhukova, V.; Zhukov, A.; Gonzalez, J. Metacomposite characteristics and their influential factors of polymer composites containing orthogonal ferromagnetic microwire arrays. J. Appl. Phys. A 2014, 115, 173909. [Google Scholar] [CrossRef]
- Birame Gueye, P.G.; Lopez-Sanchez, J.; Navarro, E.; Serrano, A.; Marin, P. Control of the Length of Fe73.5Si13.5Nb3Cu1B9 Microwires to Be Used for Magnetic and Microwave Absorbing Purposes. ACS Appl. Mater. Interfaces 2020, 12, 15644–15656. [Google Scholar] [CrossRef]
- Popova, A.V.; Odintsov, V.I.; Menshov, S.A.; Kostitsyna, E.V.; Tarasov, V.P.; Zhukova, V.; Zhukov, A.; Gudoshnikov, S.A. Continuous control of a resistance in Co-rich amorphous ferromagnetic microwires during DC Joule heating. Intermetallics 2018, 99, 39–43. [Google Scholar] [CrossRef]
- Gudoshnikov, S.A.; Odintsov, V.I.; Liubimov, B.Y.; Menshov, S.A.; Churukanova, M.N.; Kaloshkin, S.D.; Elmanov, G.N. Method for evaluating the temperature of amorphous ferromagnetic microwires under Joule heating. Measurement 2021, 182, 109783. [Google Scholar] [CrossRef]
- Gudoshnikov, S.A.; Mashera, V.S.; Tarasov, V.P.; Odintsov, V.I.; Popova, A.V.; Menshov, S.A.; Liubimov, B.Y.; Grebenshchikov, Y.B. Influence of joule heating on electrical resistivity in Co-rich amorphous microwires. Mater. Sci. Eng. B 2021, 271, 115310. [Google Scholar] [CrossRef]
- Mehra, N. Thermal transport in polymeric materials and across composite interfaces. Appl. Mater. Today 2018, 12, 92–130. [Google Scholar] [CrossRef]
- Yang, X. A review on thermally conductive polymeric composites: Classification, measurement, model and equations, mechanism and fabrication methods. Adv. Comp. Hybrid Mater. 2018, 1, 207–230. [Google Scholar] [CrossRef]
- Mehra, N. Engineering molecular interaction in polymeric hybrids: Effect of thermal linker and polymer chain structure on thermal conduction. Compos. B Eng. 2019, 166, 509–515. [Google Scholar] [CrossRef]
- Haggenmueller, R. Single wall carbon nanotube/polyethylene nanocomposites: Thermal and electrical conductivity. Macromolecules 2007, 40, 2417–2421. [Google Scholar] [CrossRef]





| Sample | 1 | 2 | 3 |
|---|---|---|---|
| BN content, wt% | 40.48 | 55.56 | 63.64 |
| Microheater resistance, Ohm | 48.5 | 49.2 | 50.1 |
| Power per unit length, w | 118 | 120.5 | 123 |
| Thermometer resistance, Ohm | 34.3 | 32.1 | 32.8 |
| Tx − T0, °C | 7.8 | 5.0 | 4.7 |
| The thermal conductivity coefficient obtained by microwires, W/(m·K) | 1.05 | 1.65 | 1.80 |
| The thermal conductivity coefficient obtained by LFA method, W/(m·K) | 1.08 | 1.71 | 1.87 |
Disclaimer/Publisher’s Note: The statements, opinions and data contained in all publications are solely those of the individual author(s) and contributor(s) and not of MDPI and/or the editor(s). MDPI and/or the editor(s) disclaim responsibility for any injury to people or property resulting from any ideas, methods, instructions or products referred to in the content. |
© 2023 by the authors. Licensee MDPI, Basel, Switzerland. This article is an open access article distributed under the terms and conditions of the Creative Commons Attribution (CC BY) license (https://creativecommons.org/licenses/by/4.0/).
Share and Cite
Churyukanova, M.; Stepashkin, A.; Sarakueva, A.; Mashera, V.; Grebenshchikov, Y.; Odintsov, V.; Petrov, V.; Gudoshnikov, S. Application of Ferromagnetic Microwires as Temperature Sensors in Measurements of Thermal Conductivity. Metals 2023, 13, 109. https://doi.org/10.3390/met13010109
Churyukanova M, Stepashkin A, Sarakueva A, Mashera V, Grebenshchikov Y, Odintsov V, Petrov V, Gudoshnikov S. Application of Ferromagnetic Microwires as Temperature Sensors in Measurements of Thermal Conductivity. Metals. 2023; 13(1):109. https://doi.org/10.3390/met13010109
Chicago/Turabian StyleChuryukanova, Margarita, Andrey Stepashkin, Aida Sarakueva, Vadim Mashera, Yury Grebenshchikov, Vladimir Odintsov, Valery Petrov, and Sergey Gudoshnikov. 2023. "Application of Ferromagnetic Microwires as Temperature Sensors in Measurements of Thermal Conductivity" Metals 13, no. 1: 109. https://doi.org/10.3390/met13010109
APA StyleChuryukanova, M., Stepashkin, A., Sarakueva, A., Mashera, V., Grebenshchikov, Y., Odintsov, V., Petrov, V., & Gudoshnikov, S. (2023). Application of Ferromagnetic Microwires as Temperature Sensors in Measurements of Thermal Conductivity. Metals, 13(1), 109. https://doi.org/10.3390/met13010109

