A Comparative Study of the Corrosion Behavior of 30CrMnSiNi2A in Artificial Seawater and Salt Spray Environments
Abstract
:1. Introduction
2. Experimental Procedure
2.1. Materials and Solution
2.2. Electrochemical Measurement
2.3. Immersion Test and Salt Spray Test
2.4. Slow Strain Rate Tensile Test (SSRT)
3. Results and Discussion
3.1. Electrochemical Analysis
3.1.1. Open Circuit Potential Analysis
3.1.2. Electrochemical Impedance Spectroscopy Analysis
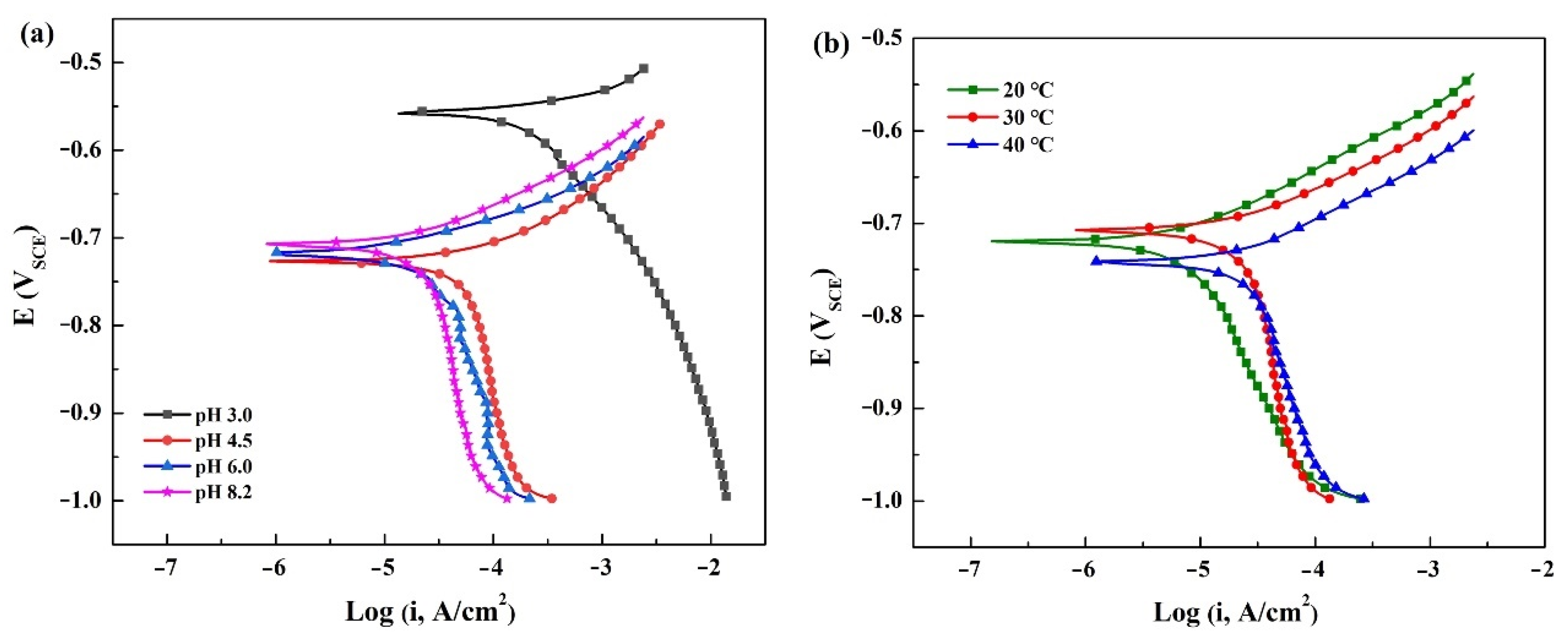
3.1.3. Potentiodynamic Polarization Behavior Analysis
3.2. Comparison of the Corrosion Behavior in the Salt Spray and Immersion Tests
3.2.1. Corrosion Rate
3.2.2. Corrosion Product Analysis
3.2.3. Corrosion Process and Mechanism
3.3. SCC Behavior Analysis
3.3.1. Stress-Strain Curves
3.3.2. Fracture Morphology after SSRT
3.3.3. SCC Mechanism
4. Conclusions
- (1)
- The changes in the solution temperature and pH significantly affect the electrochemical behavior. The anodic process is controlled by active dissolution, while the cathodic process is controlled by oxygen reduction in a neutral solution and by hydrogen evolution in an acidic solution. The decrease in the pH value mainly accelerates the cathodic reaction, and the temperature simultaneously promotes the anodic and cathodic reactions.
- (2)
- The corrosion products of 30CrMnSiNi2A steel were mainly composed of α-FeOOH, γ-FeOOH, and Fe3O4, as well as trace amount of Fe(OH)2, α-Fe2O3, and FeO. The corrosion rate in the salt spray environment was much higher than that in the immersion test, which is due to the differences in the available oxygen concentrations and the corrosion product properties.
- (3)
- The SCC sensitivity of the as-received 30CrMnSiNi2A steel was about 4.2% and 25% in terms of the elongation loss and reduction-in-area loss, respectively. The relatively higher index obtained by the reduction-in-area suggests that the SCC degradation is dominated by anodic dissolution.
Author Contributions
Funding
Data Availability Statement
Conflicts of Interest
References
- Malakondaiah, G.; Srinivas, M.; Rao, P. Ultrahigh-strength low-alloy steels with enhanced fracture toughness. Prog. Mater. Sci. 1997, 42, 209–242. [Google Scholar] [CrossRef]
- Wang, G.; Yan, Y.; Li, J.; Huang, J.; Su, Y.; Qiao, L. Hydrogen embrittlement assessment of ultra-high strength steel 30CrMnSiNi2. Corros. Sci. 2013, 77, 273–280. [Google Scholar] [CrossRef]
- Liu, J.; Guo, Q.; Yu, M.; Songmei, L. SCC investigation of low alloy ultra-high strength steel 30CrMnSiNi2A in 3.5 wt% NaCl solution by slow strain rate technique. Chin. J. Aeronaut. 2014, 27, 1327–1333. [Google Scholar] [CrossRef]
- Ge, F.; Fan, L.; Liang, J.; Pang, K.; Li, H.; Wang, X.; Cui, Z. Corrosion Evolution of High-Strength Aluminum Alloys in the Simu-lated Service Environment of Amphibious Aircraft in the Presence of Chloride and Bisulfite. Acta Metall. Sin. Engl. Lett. 2021, 34, 1679–1694. [Google Scholar]
- Duan, Y.; Liu, W.; Ma, Y.; Cai, Q.; Zhu, W.; Li, J. Effect of Ni addition upon microstructure and mechanical properties of hot isostatic pressed 30CrMnSiNi2A ultrahigh strength steel. Mater. Sci. Eng. A 2022, 850, 143599. [Google Scholar] [CrossRef]
- Hafeez, M.A.; Farooq, A. Microstructural, mechanical and tribological investigation of 30CrMnSiNi2A ultra-high strength steel under various tempering temperatures. Mater. Res. Express 2018, 5, 016505. [Google Scholar] [CrossRef]
- Niu, Q.-L.; Ming, W.-W.; Chen, M.; Tang, S.-W.; Li, P.-N. Dynamic mechanical behavior of ultra-high strength steel 30CrMnSiNi2A at high strain rates and elevated temperatures. J. Iron Steel Res. Int. 2017, 24, 724–729. [Google Scholar] [CrossRef]
- Liu, J.; Wen, C.; Yu, M.; Li, S.; Wang, R. Manifestations in corrosion prophase of ultra-high strength steel 30CrMnSiNi2A in sodium chloride solutions. J. Wuhan Univ. Technol. Sci. Ed. 2014, 29, 367–373. [Google Scholar] [CrossRef]
- Guo, Q.; Liu, J.-H.; Yu, M.; Li, S.-M. Influence of Rust Layers on the Corrosion Behavior of Ultra-High Strength Steel 300M Subjected to Wet–Dry cyclic Environment with Chloride and Low Humidity. Acta Met. Sin. Engl. Lett. 2015, 28, 139–146. [Google Scholar] [CrossRef]
- Sun, M.; Xiao, K.; Dong, C.; Li, X.; Zhong, P. Stress corrosion cracking of ultrahigh strength martensite steel Cr9Ni5MoCo14 in 3.5% NaCl solution. Aerosp. Sci. Technol. 2014, 36, 125–131. [Google Scholar] [CrossRef]
- de la Fuente, D.; Díaz, I.; Simancas, J.; Chico, B.; Morcillo, M. Long-term atmospheric corrosion of mild steel. Corros. Sci. 2011, 53, 604–617. [Google Scholar] [CrossRef] [Green Version]
- Popova, K.; Prošek, T. Corrosion Monitoring in Atmospheric Conditions: A Review. Metals 2022, 12, 171. [Google Scholar] [CrossRef]
- Jia, J.; Liu, Z.; Cheng, X.; Du, C.; Li, X. Development and optimization of Ni-advanced weathering steel: A review. Corros. Commun. 2021, 2, 82–90. [Google Scholar] [CrossRef]
- Wang, L.; Liang, J.; Li, H.; Cheng, L.; Cui, Z. Quantitative study of the corrosion evolution and stress corrosion cracking of high strength aluminum alloys in solution and thin electrolyte layer containing Cl−. Corros. Sci. 2021, 178, 109076. [Google Scholar] [CrossRef]
- Tian, H.; Wang, X.; Cui, Z.; Lu, Q.; Wang, L.; Lei, L.; Li, Y.; Zhang, D. Electrochemical corrosion, hydrogen permeation and stress corrosion cracking behavior of E690 steel in thiosulfate-containing artificial seawater. Corros. Sci. 2018, 144, 145–162. [Google Scholar] [CrossRef]
- Yu, J.; Wang, H.; Yu, Y.; Luo, Z.; Liu, W.; Wang, C. Corrosion behavior of X65 pipeline steel: Comparison of wet–Dry cycle and full immersion. Corros. Sci. 2018, 133, 276–287. [Google Scholar] [CrossRef]
- Liang, M.; Melchers, R.; Chaves, I. Corrosion and pitting of 6060 series aluminium after 2 years exposure in seawater splash, tidal and immersion zones. Corros. Sci. 2018, 140, 286–296. [Google Scholar] [CrossRef]
- Tian, H.; Cui, Z.; Ma, H.; Zhao, P.; Yan, M.; Wang, X.; Cui, H. Corrosion evolution and stress corrosion cracking behavior of a low carbon bainite steel in the marine environments: Effect of the marine zones. Corros. Sci. 2022, 206, 110490. [Google Scholar] [CrossRef]
- Duarte, T.; Meyer, Y.A.; Osório, W.R. The Holes of Zn Phosphate and Hot Dip Galvanizing on Electrochemical Behaviors of Multi-Coatings on Steel Substrates. Metals 2022, 12, 863. [Google Scholar] [CrossRef]
- Zhang, X.; Jiang, Z.; Yao, Z.; Song, Y.; Wu, Z. Effects of scan rate on the potentiodynamic polarization curve obtained to determine the Tafel slopes and corrosion current density. Corros. Sci. 2009, 51, 581–587. [Google Scholar] [CrossRef]
- McCafferty, E. Validation of corrosion rates measured by the Tafel extrapolation method. Corros. Sci. 2005, 47, 3202–3215. [Google Scholar] [CrossRef]
- Yang, X.; Sun, F.; Li, Q.; Zhu, R.; Liu, Z.; Du, C.; Li, X. Effect of Hydrogen Charging on the Stress Corrosion Cracking Behavior of X70 Steel in Simulated Deep Seawater Environment. Metals 2022, 12, 334. [Google Scholar] [CrossRef]
- Hu, Y.; Dong, C.; Sun, M.; Xiao, K.; Zhong, P.; Li, X. Effects of solution pH and Cl− on electrochemical behaviour of an Aer-met100 ultra-high strength steel in acidic environments. Corros. Sci. 2011, 53, 4159–4165. [Google Scholar] [CrossRef]
- Ren, R.; Zhang, S.; Pang, X.; Gao, K. A novel observation of the interaction between the macroelastic stress and electrochemical corrosion of low carbon steel in 3.5 wt% NaCl solution. Electrochim. Acta 2012, 85, 283–294. [Google Scholar] [CrossRef]
- Cui, Z.; Liu, Z.; Wang, L.; Ma, H.; Du, C.; Li, X.; Wang, X. Effect of pH value on the electrochemical and stress corrosion crack-ing behavior of X70 pipeline steel in the dilute bicarbonate solutions. J. Mater. Eng. Perform. 2015, 24, 4400–4408. [Google Scholar] [CrossRef]
- Meyer, Y.A.; Bonatti, R.S.; Bortolozo, A.D.; Osorio, W.R. Electrochemical behavior and compressive strength of Al-Cu/xCu composites in NaCl solution. J. Solid State Electrochem. 2021, 25, 1303–1317. [Google Scholar] [CrossRef]
- Meyer, Y.A.; Menezes, I.; Bonatti, R.S.; Bortolozo, A.D.; Osório, W.R. EIS investigation of the corrosion behavior of steel bars embedded into modified concretes with eggshell contents. Metals 2022, 12, 417. [Google Scholar] [CrossRef]
- Lasia, A. Electrochemical Impedance spectroscopy and its applications. In Modern Aspects of Electrochemistry; Springer: Berlin/Heidelberg, Germany, 2002; pp. 143–248. [Google Scholar]
- Hirschorn, B.; Orazem, M.E.; Tribollet, B.; Vivier, V.; Frateur, I.; Musiani, M. Determination of effective capacitance and film thickness from constant-phase-element parameters. Electrochim. Acta 2010, 55, 6218–6227. [Google Scholar] [CrossRef]
- Pour-Ghaz, M.; Isgor, O.B.; Ghods, P. The effect of temperature on the corrosion of steel in concrete. Part 1: Simulated polari-zation resistance tests and model development. Corros. Sci. 2009, 51, 415–425. [Google Scholar] [CrossRef]
- Pan, H.; Pang, K.; Cui, F.; Ge, F.; Man, C.; Wang, X.; Cui, Z. Effect of alloyed Sr on the microstructure and corrosion behavior of biodegradable Mg-Zn-Mn alloy in Hanks’ solution. Corros. Sci. 2019, 157, 420–437. [Google Scholar] [CrossRef]
- Amin, M.A.; Khaled, K.; Fadl-Allah, S.A. Testing validity of the Tafel extrapolation method for monitoring corrosion of cold rolled steel in HCl solutions–Experimental and theoretical studies. Corros. Sci. 2010, 52, 140–151. [Google Scholar] [CrossRef]
- Davydov, A.; Rybalka, K.V.; Beketaeva, L.A.; Engelhardt, G.R.; Jayaweera, P.; Macdonald, D.D. The kinetics of hydrogen evolu-tion and oxygen reduction on Alloy 22. Corros. Sci. 2005, 47, 195–215. [Google Scholar] [CrossRef]
- de la Fuente, D.; Alcántara, J.; Chico, B.; Díaz, I.; Jiménez, J.; Morcillo, M. Characterisation of rust surfaces formed on mild steel exposed to marine atmospheres using XRD and SEM/Micro-Raman techniques. Corros. Sci. 2016, 110, 253–264. [Google Scholar] [CrossRef]
- Díaz, I.; Cano, H.; de la Fuente, D.; Chico, B.; Vega, J.; Morcillo, M. Atmospheric corrosion of Ni-advanced weathering steels in marine atmospheres of moderate salinity. Corros. Sci. 2013, 76, 348–360. [Google Scholar] [CrossRef]
- Liu, Z.; Hao, W.; Wu, W.; Luo, H.; Li, X. Fundamental investigation of stress corrosion cracking of E690 steel in simulated marine thin electrolyte layer. Corros. Sci. 2019, 148, 388–396. [Google Scholar] [CrossRef]
- Song, W.; Martin, H.J.; Hicks, A.; Seely, D.; Walton, C.A.; Lawrimore, W.B., II; Wang, P.T.; Horstemeyer, M.F. Corrosion behav-iour of extruded AM30 magnesium alloy under salt-spray and immersion environments. Corros. Sci. 2014, 78, 353–368. [Google Scholar]
- Li, K.; Li, X.; Zhao, Y.; Wang, K.; Song, S.; Jin, W.; Xia, D.; Xu, Y.; Huang, Y. Influence of Partial Rust Layer on the Passivation and Chloride-Induced Corrosion of Q235b Steel in the Carbonated Simulated Concrete Pore Solution. Metals 2022, 12, 1064. [Google Scholar] [CrossRef]
- Sun, M.; Du, C.; Liu, Z.; Liu, C.; Li, X.; Wu, Y. Fundamental understanding on the effect of Cr on corrosion resistance of weath-ering steel in simulated tropical marine atmosphere. Corros. Sci. 2021, 186, 109427. [Google Scholar]
- Stratmann, M.; Bohnenkamp, K.; Engell, H.-J. An electrochemical study of phase-transitions in rust layers. Corros. Sci. 1983, 23, 969–985. [Google Scholar] [CrossRef]
- Steen, N.V.D.; Gonzalez-Garcia, Y.; Mol, J.; Terryn, H.; Van Ingelgem, Y. Predicting the effect of droplet geometry and size distribution on atmospheric corrosion. Corros. Sci. 2022, 202, 110308. [Google Scholar] [CrossRef]
- Figueroa, D.; Robinson, M. Hydrogen transport and embrittlement in 300M and AerMet100 ultra high strength steels. Corros. Sci. 2010, 52, 1593–1602. [Google Scholar] [CrossRef]
- Cui, C.; Ma, R.; Martínez-Pañeda, E. A generalised, multi-phase-field theory for dissolution-driven stress corrosion cracking and hydrogen embrittlement. J. Mech. Phys. Solids 2022, 166, 104951. [Google Scholar]
- Du, X.; Su, Y.; Li, J.; Qiao, L.; Chu, W. Stress corrosion cracking of A537 steel in simulated marine environments. Corros. Sci. 2012, 65, 278–287. [Google Scholar] [CrossRef]
- Tian, H.; Xin, J.; Li, Y.; Wang, X.; Cui, Z. Combined effect of cathodic potential and sulfur species on calcareous deposition, hydrogen permeation, and hydrogen embrittlement of a low carbon bainite steel in artificial seawater. Corros. Sci. 2019, 158, 108089. [Google Scholar] [CrossRef]
- Ma, H.C.; Liu, Z.Y.; Du, C.W.; Wang, H.R.; Li, X.G.; Zhang, D.W.; Cui, Z.Y. Stress corrosion cracking of E690 steel as a welded joint in a simulated marine atmosphere containing sulphur dioxide. Corros. Sci. 2015, 100, 627–641. [Google Scholar] [CrossRef]
- Tian, H.; Chen, M.; Ge, F.; Song, K.; Wang, X.; Cui, Z. Hydrogen permeation and stress corrosion cracking of heat-affected zone of E690 steel under the combined effect of sulfur species and cathodic protection in artificial seawater. Constr. Build. Mater. 2021, 296, 123721. [Google Scholar] [CrossRef]
- Hardie, D.; Charles, E.A.; Lopez, A.H. Hydrogen embrittlement of high strength pipeline steels. Corros. Sci. 2006, 48, 4378–4385. [Google Scholar] [CrossRef]
- Liu, Z.; Wang, X.; Du, C.; Li, J.; Li, X. Effect of hydrogen-induced plasticity on the stress corrosion cracking of X70 pipeline steel in simulated soil environments. Mater. Sci. Eng. A 2016, 658, 348–354. [Google Scholar] [CrossRef] [Green Version]















| T (°C) | pH | Rs | Rct | CPEdl | n1 | RL | L | χ2 | Model |
|---|---|---|---|---|---|---|---|---|---|
| 30 | 3.0 | 6.2 | 94.3 | 4.69 × 10−4 | 0.83 | 22.7 | 202.4 | 8.5 × 10−4 | B |
| 30 | 4.5 | 6.4 | 230.6 | 1.30 × 10−3 | 0.67 | 2.5 × 10−3 | A | ||
| 30 | 6.0 | 5.1 | 506.7 | 7.97 × 10−4 | 0.75 | 1.1 × 10−3 | A | ||
| 30 | 8.2 | 8.1 | 731.6 | 7.60 × 10−4 | 0.70 | 5.4 × 10−4 | A | ||
| 20 | 8.2 | 6.2 | 699.0 | 1.72 × 10−3 | 0.62 | 2.1 × 10−3 | A | ||
| 40 | 8.2 | 5.0 | 524.1 | 2.25 × 10−3 | 0.64 | 1.6 × 10−3 | A |
Publisher’s Note: MDPI stays neutral with regard to jurisdictional claims in published maps and institutional affiliations. |
© 2022 by the authors. Licensee MDPI, Basel, Switzerland. This article is an open access article distributed under the terms and conditions of the Creative Commons Attribution (CC BY) license (https://creativecommons.org/licenses/by/4.0/).
Share and Cite
Zhao, L.; He, W.; Wang, Y.; Li, H.; Cui, Z. A Comparative Study of the Corrosion Behavior of 30CrMnSiNi2A in Artificial Seawater and Salt Spray Environments. Metals 2022, 12, 1443. https://doi.org/10.3390/met12091443
Zhao L, He W, Wang Y, Li H, Cui Z. A Comparative Study of the Corrosion Behavior of 30CrMnSiNi2A in Artificial Seawater and Salt Spray Environments. Metals. 2022; 12(9):1443. https://doi.org/10.3390/met12091443
Chicago/Turabian StyleZhao, Lianhong, Weiping He, Yingqin Wang, Han Li, and Zhongyu Cui. 2022. "A Comparative Study of the Corrosion Behavior of 30CrMnSiNi2A in Artificial Seawater and Salt Spray Environments" Metals 12, no. 9: 1443. https://doi.org/10.3390/met12091443
APA StyleZhao, L., He, W., Wang, Y., Li, H., & Cui, Z. (2022). A Comparative Study of the Corrosion Behavior of 30CrMnSiNi2A in Artificial Seawater and Salt Spray Environments. Metals, 12(9), 1443. https://doi.org/10.3390/met12091443
