Effect of Ni-MOF Derivatives on the Electrochemical Corrosion Behavior of Sn-0.7Cu Solders
Abstract
:1. Introduction
2. Experimental
3. Results and Discussion
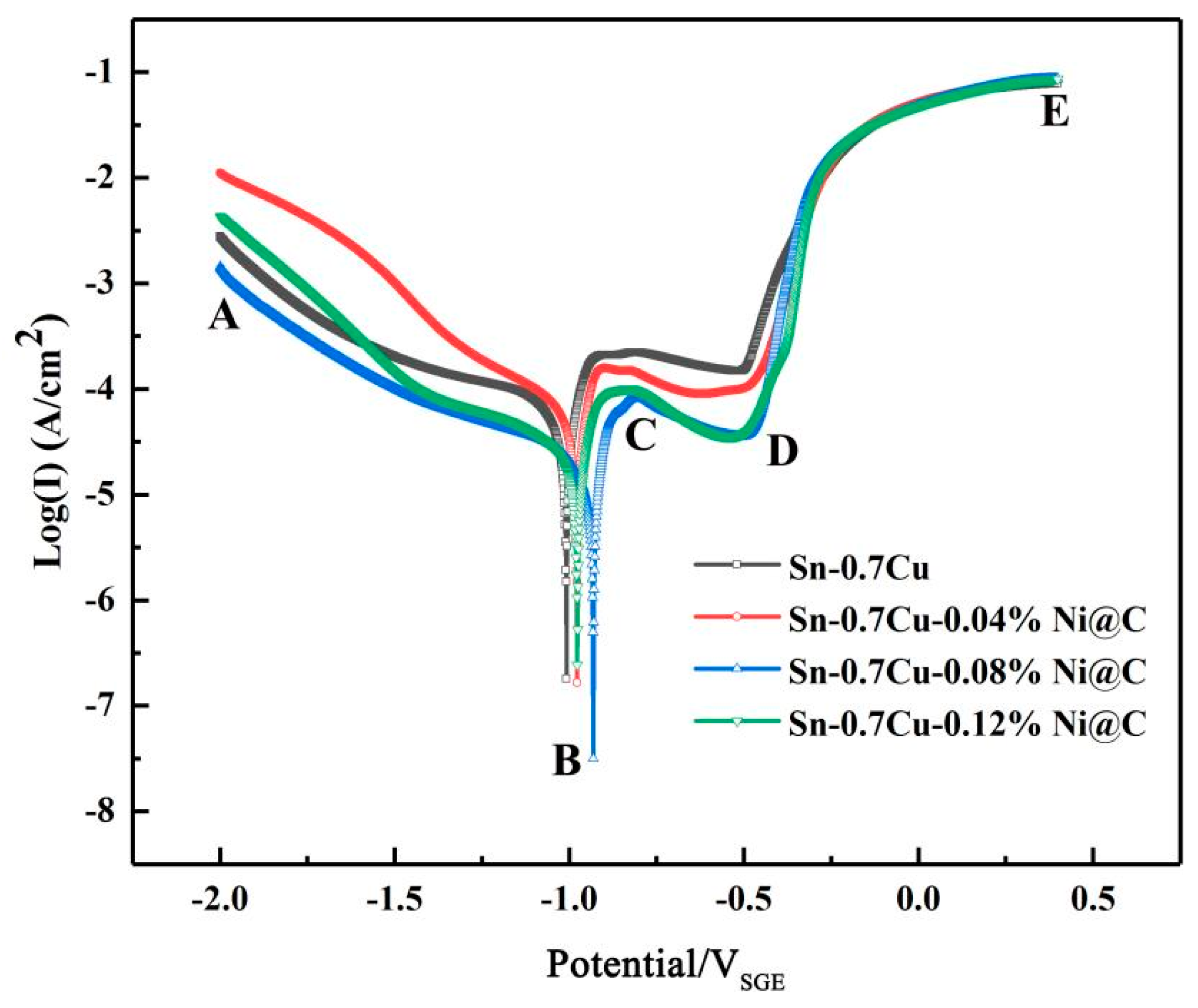
3.1. Electrochemical Corrosion Properties of Sn-0.7Cu-xNi@C Solder
3.2. Analysis of Electrochemical Corrosion Process of Sn-0.7Cu-xNi@C Solder
3.3. Mechanism of Ni@C in Corrosion Process
4. Conclusions
Supplementary Materials
Author Contributions
Funding
Institutional Review Board Statement
Informed Consent Statement
Data Availability Statement
Conflicts of Interest
References
- Ma, H.; Suhling, J.C. A review of mechanical properties of lead-free solders for electronic packaging. J. Mater. Sci. 2009, 44, 1141–1158. [Google Scholar] [CrossRef]
- Griffiths, S.; Wedi, A.; Schmitz, G. Work of adhesion and reactive wetting in SnPb/Cu,Ni and SnBi/Cu,Ni soldering systems. Mater. Charact. 2021, 178, 111304. [Google Scholar] [CrossRef]
- Siahaan, E. Behavior of Sn-0.7Cu-xZn lead free solder on physical properties and micro structure. IOP Conf. Ser. Mater. Sci. Eng. 2017, 237, 012044. [Google Scholar] [CrossRef] [Green Version]
- Zhao, M.; Zhang, L.; Liu, Z.Q.; Xiong, M.Y.; Sun, L. Structure and properties of Sn-Cu lead-free solders in electronics packaging. Sci. Technol. Adv. Mater. 2019, 20, 421–444. [Google Scholar] [CrossRef] [Green Version]
- Zhang, Q.; Hu, F.; Song, Z. Transient Soldering Reaction Mechanisms of SnCu Solder on CuNi Nano Conducting Layer and Fracture Behavior of the Joint Interfaces. J. Electron. Mater. 2020, 49, 3383–3390. [Google Scholar] [CrossRef]
- Zhou, H.; Guo, J.; Shang, J.; Song, X. Highly solderability of FeP film in contact with SnAgCu solder. J. Alloys Compd. 2020, 818, 152900. [Google Scholar] [CrossRef]
- Tian, R.; Hang, C.; Tian, Y.; Zhao, L. Growth behavior of intermetallic compounds and early formation of cracks in Sn-3Ag-0.5Cu solder joints under extreme temperature thermal shock. Mater. Sci. Eng. A 2018, 709, 125–133. [Google Scholar] [CrossRef]
- Guo, W.; Ma, X.; Gao, M.; Yan, J. Direct soldering of screen-printed Al-paste layer on back-side of silicon solar cell using SnAg solder. Mater. Lett. 2018, 231, 146–149. [Google Scholar] [CrossRef]
- Zhang, P.; Xue, S.; Wang, J. New challenges of miniaturization of electronic devices: Electromigration and thermomigration in lead-free solder joints. Mater. Des. 2020, 192, 108726. [Google Scholar] [CrossRef]
- Qu, D.; Li, C.; Bao, L.; Kong, Z.; Duan, Y. Structural, electronic, and elastic properties of orthorhombic, hexagonal, and cubic Cu3Sn intermetallic compounds in Sn–Cu lead-free solder. J. Phys. Chem. Solids 2020, 138, 109253. [Google Scholar] [CrossRef]
- Osório, W.R.; Spinelli, J.E.; Afonso, C.R.M.; Peixoto, L.C.; Garcia, A. Microstructure, corrosion behaviour and microhardness of a directionally solidified Sn–Cu solder alloy. Electrochim. Acta 2011, 56, 8891–8899. [Google Scholar] [CrossRef]
- Lv, Y.; Yang, W.; Mao, J.; Li, Y.; Zhang, X.; Zhan, Y. Effect of graphene nano-sheets additions on the density, hardness, conductivity, and corrosion behavior of Sn–0.7Cu solder alloy. J. Mater. Sci. Mater. Electron. 2019, 31, 202–211. [Google Scholar] [CrossRef]
- Subri, N.W.B.; Sarraf, M.; Nasiri-Tabrizi, B.; Ali, B.; Mohd Sabri, M.F.; Basirun, W.J.; Sukiman, N.L. Corrosion insight of iron and bismuth added Sn–1Ag–0.5Cu lead-free solder alloy. Corros. Eng. Sci. Technol. 2019, 55, 35–47. [Google Scholar] [CrossRef]
- Rosalbino, F.; Angelini, E.; Zanicchi, G.; Marazza, R. Corrosion behaviour assessment of lead-free Sn–Ag–M (M=In, Bi, Cu) solder alloys. Mater. Chem. Phys. 2008, 109, 386–391. [Google Scholar] [CrossRef]
- Han, Y.D.; Chen, L.; Jing, H.Y.; Nai, S.M.L.; Wei, J.; Xu, L.Y. Effect of Ni-Coated Carbon Nanotubes on the Corrosion Behavior of Sn-Ag-Cu Solder. J. Electron. Mater. 2013, 42, 3559–3566. [Google Scholar] [CrossRef]
- Xu, L.Y.; Zhang, Z.K.; Jing, H.Y.; Wei, J.; Han, Y.D. Effect of graphene nanosheets on the corrosion behavior of Sn–Ag–Cu solders. J. Mater. Sci. Mater. Electron. 2015, 26, 5625–5634. [Google Scholar] [CrossRef]
- Liu, J.-C.; Wang, Z.-H.; Xie, J.-Y.; Ma, J.-S.; Shi, Q.-Y.; Zhang, G.; Suganuma, K. Effects of intermetallic-forming element additions on microstructure and corrosion behavior of Sn–Zn solder alloys. Corros. Sci. 2016, 112, 150–159. [Google Scholar] [CrossRef]
- Mohanty, U.S.; Lin, K.-L. Corrosion Behavior of Pb-Free Sn-1Ag-0.5Cu-XNi Solder Alloys in 3.5% NaCl Solution. J. Electron. Mater. 2013, 42, 628–638. [Google Scholar] [CrossRef]
- Huang, M.L.; Kang, N.; Zhou, Q.; Huang, Y.Z. Effect of Ni Content on Mechanical Properties and Corrosion Behavior of Al/Sn–9Zn–xNi/Cu Joints. J. Mater. Sci. Technol. 2012, 28, 844–852. [Google Scholar] [CrossRef]
- Han, Y.; Li, W.; Zhang, M.; Tao, K. Catalytic dechlorination of monochlorobenzene with a new type of nanoscale Ni(B)/Fe(B) bimetallic catalytic reductant. Chemosphere 2008, 72, 53–58. [Google Scholar] [CrossRef]
- Yang, Z.; Zhou, W.; Wu, P. Effects of Ni-coated carbon nanotubes addition on the microstructure and mechanical properties of Sn–Ag–Cu solder alloys. Mater. Sci. Eng. A 2014, 590, 295–300. [Google Scholar] [CrossRef]
- Zhu, D.; Liu, J.; Wang, L.; Du, Y.; Zheng, Y.; Davey, K.; Qiao, S.Z. A 2D metal-organic framework/Ni(OH)2 heterostructure for an enhanced oxygen evolution reaction. Nanoscale 2019, 11, 3599–3605. [Google Scholar] [CrossRef] [PubMed]
- Leea, C.S.; Limb, J.M.; Parkb, J.T.; Kima, J.H. Direct growth of highly organized, 2D ultra-thin nano-accordion Ni-MOF@NiS2@C core-shell for high performance energy storage device. Chem. Eng. J. 2021, 406, 126810. [Google Scholar] [CrossRef]
- Duarte, T.; Meyer, Y.A.; Osório, W.R. The Holes of Zn Phosphate and Hot Dip Galvanizing on Electrochemical Behaviors of Multicoatings on Steel Substrates. Metals 2022, 12, 863. [Google Scholar] [CrossRef]
- Zhang, X.L.; Jiang, Z.H.; Yao, Z.P.; Song, Y.; Wu, Z.D. Effects of scan rate on the potentiodynamic polarization curve obtained to determine the Tafel slopes and corrosion current density. Corros. Sci. 2009, 51, 581–587. [Google Scholar] [CrossRef]
- McCafferty, E. Validation of corrosion rates measured by Tafel extrapolation method. Corros. Sci. 2005, 47, 3202–3215. [Google Scholar] [CrossRef]
- Yingsamphancharoen, T.; Srisuwan, N.; Rodchanarowan, A. The Electrochemical Investigation of the Corrosion Rates of Welded Pipe ASTM A106 Grade B. Metals 2016, 6, 207. [Google Scholar] [CrossRef]
- Wang, M.; Wang, J.; Feng, H.; Ke, W. Effect of Ag3Sn intermetallic compounds on corrosion of Sn-3.0Ag-0.5Cu solder under high-temperature and high-humidity condition. Corros. Sci. 2012, 63, 20–28. [Google Scholar] [CrossRef]
- Fayeka, M.; Fazal, M.A.; Haseeb, A.S.M.A. Effect of aluminum addition on the electrochemical corrosion behavior of Sn–3Ag–0.5Cu solder alloy in 3.5 Wt.% NaCl solution. J. Mater. Sci. Mater. Electron. 2016, 27, 12193–12200. [Google Scholar] [CrossRef]
- Lao, X.-D.; Cheng, C.-Q.; Min, X.-H.; Zhao, J.; Zhou, D.-Y.; Wang, L.-H.; Li, X.-G. Corrosion and leaching behaviors of Sn-based alloy in simulated soil solutions. Trans. Nonferr. Met. Soc. China 2016, 26, 581–588. [Google Scholar] [CrossRef]
- Li, D.; Conway, P.P.; Liu, C. Corrosion characterization of tin-lead and lead free solders in 3.5 wt.% NaCl solution. Corros. Sci. 2008, 50, 995–1004. [Google Scholar] [CrossRef] [Green Version]
- Jaffery, H.A.; Mohd Sabri, M.F.; Rozali, S.; Mahdavifard, M.H.; Shnawah, D.A. Effect of temperature and alloying elements (Fe and Bi) on the electrical resistivity of Sn-0.7Cu solder alloy. RSC Adv. 2016, 6, 58010–58019. [Google Scholar] [CrossRef]
- Jaffery, H.A.; Sabri, M.F.M.; Said, S.M.; Hasan, S.W.; Sajid, I.H.; Nordin, N.I.M.; Megat Hasnan, M.M.I.; Shnawah, D.A.; Moorthy, C.V. Electrochemical corrosion behavior of Sn-0.7Cu solder alloy with the addition of bismuth and iron. J. Alloys Compd. 2019, 810, 151925. [Google Scholar] [CrossRef]
- Yu, C.Y.; Lee, T.K.; Tsai, M.; Liu, K.C.; Duh, J.G. Effects of Minor Ni Doping on Microstructural Variations and Interfacial Reactions in Cu/Sn-3.0Ag-0.5Cu-xNi/Au/Ni Sandwich Structures. J. Electron. Mater. 2010, 39, 2544–2552. [Google Scholar] [CrossRef]
- Li, Q.; Zhao, M.; Lin, J.; Lu, S. Effect of temperature on the corrosion behavior of lead-free solders under polyvinyl chloride fire smoke atmosphere. J. Mater. Res. Technol. 2021, 15, 3088–3098. [Google Scholar] [CrossRef]
- Osório, W.R.; Garcia, L.R.; Peixoto, L.C.; Garcia, A. Electrochemical behavior of a lead-free SnAg solder alloy affected by the microstructure array. Mater. Des. 2011, 32, 4763–4772. [Google Scholar] [CrossRef]
- Gharaibeh, A.; Felhősi, I.; Keresztes, Z.; Harsányi, G.; Illés, B.; Medgyes, B. Electrochemical Corrosion of SAC Alloys: A Review. Metals 2020, 10, 1276. [Google Scholar] [CrossRef]







| Composite Solder | Ecorr (VSGE) | Error (%) | icorr (A/cm2) | Error (%) | Corrosion Rate (mm/y) |
|---|---|---|---|---|---|
| Sn-0.7Cu | −1.008 | 0.43 | 4.21 × 10−5 | 1.11 | 0.640 |
| Sn-0.7Cu-0.04 wt.% Ni@C | −0.981 | 0.41 | 3.97 × 10−5 | 1.01 | 0.604 |
| Sn-0.7Cu-0.08 wt.% Ni@C | −0.934 | 0.50 | 1.35 × 10−5 | 1.48 | 0.205 |
| Sn-0.7Cu-0.12 wt.% Ni@C | −0.982 | 0.34 | 1.64 × 10−5 | 1.62 | 0.249 |
Publisher’s Note: MDPI stays neutral with regard to jurisdictional claims in published maps and institutional affiliations. |
© 2022 by the authors. Licensee MDPI, Basel, Switzerland. This article is an open access article distributed under the terms and conditions of the Creative Commons Attribution (CC BY) license (https://creativecommons.org/licenses/by/4.0/).
Share and Cite
Lu, G.; Lin, B.; Gao, Z.; Li, Y.; Wei, F. Effect of Ni-MOF Derivatives on the Electrochemical Corrosion Behavior of Sn-0.7Cu Solders. Metals 2022, 12, 1172. https://doi.org/10.3390/met12071172
Lu G, Lin B, Gao Z, Li Y, Wei F. Effect of Ni-MOF Derivatives on the Electrochemical Corrosion Behavior of Sn-0.7Cu Solders. Metals. 2022; 12(7):1172. https://doi.org/10.3390/met12071172
Chicago/Turabian StyleLu, Guoge, Bo Lin, Zhan Gao, Yingxin Li, and Fuxiang Wei. 2022. "Effect of Ni-MOF Derivatives on the Electrochemical Corrosion Behavior of Sn-0.7Cu Solders" Metals 12, no. 7: 1172. https://doi.org/10.3390/met12071172
APA StyleLu, G., Lin, B., Gao, Z., Li, Y., & Wei, F. (2022). Effect of Ni-MOF Derivatives on the Electrochemical Corrosion Behavior of Sn-0.7Cu Solders. Metals, 12(7), 1172. https://doi.org/10.3390/met12071172

