Cyclic Testing on Seismic Behavior of Segmental Assembled CFST Bridge Pier with External Replaceable Energy Dissipator
Abstract
:1. Introduction
2. Numerical Simulation Based on Finite Element Method
2.1. Material Model
2.2. Element Definition
2.3. Mesh Size
2.4. Contact and Boundary Conditions
2.5. Unbonded Steel Strand or Strand Wire
2.6. Analysis Step Settings
2.7. Method for Solving Non-Linear Equations
2.8. Result Analysis
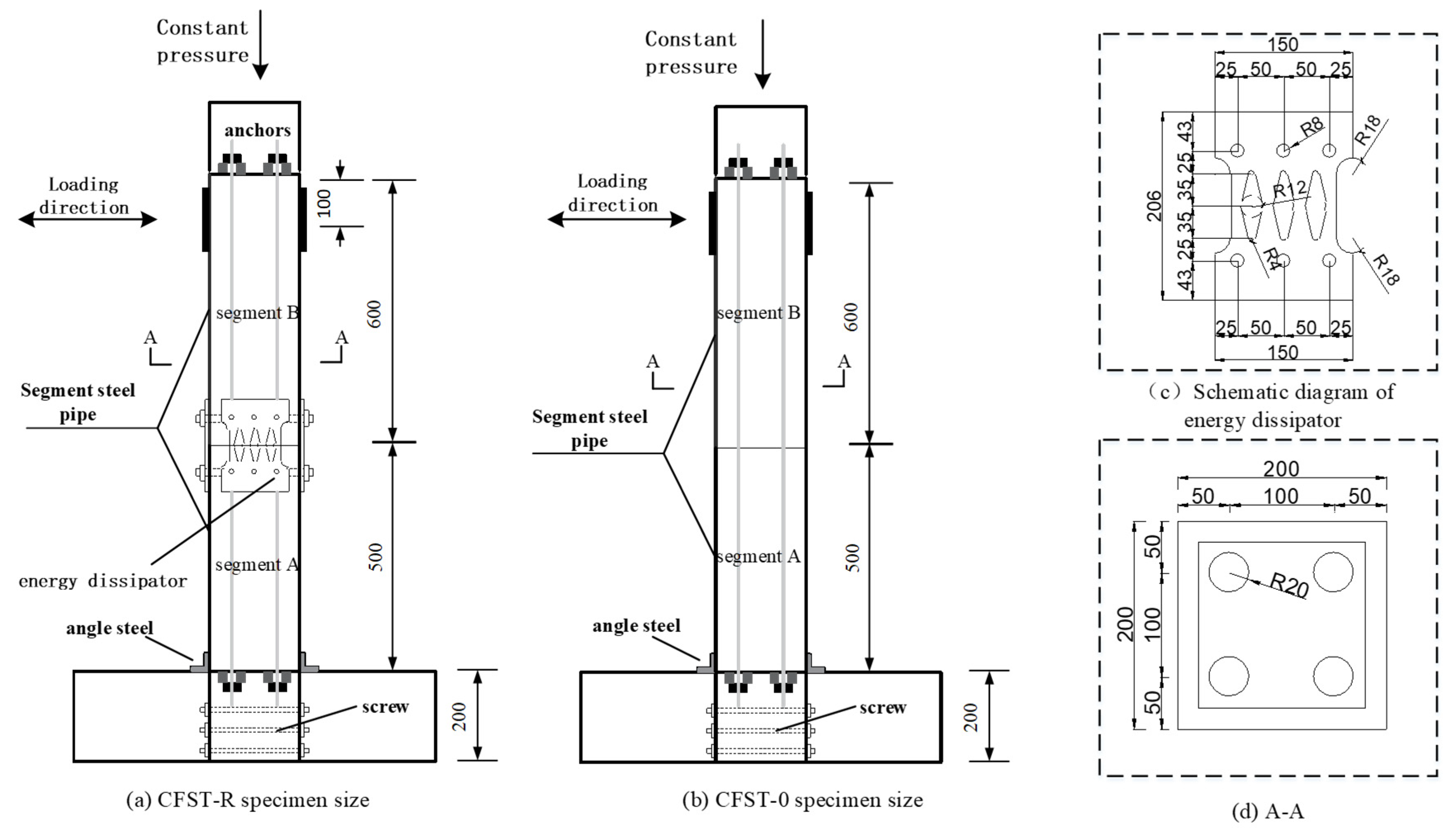
3. Experimental Designing
3.1. Model Design
3.2. Test Materials and Properties
3.3. Test and Loading Scheme
4. Analysis of Test Phenomena and Results
4.1. Analysis of Test Phenomena
4.1.1. CFST-0
4.1.2. CFST-R
4.2. Analysis of Test Results
4.2.1. Hysteretic Characteristics
4.2.2. Stiffness Degradation Law
4.2.3. Cumulative Energy Consumption Capacity
4.2.4. Opening at the Seam
- (1)
- Because the energy dissipation elements are arranged at the joint of the CFST-R specimen, compared with the CFST-0 specimen, the opening between segments can be effectively restrained. It can be seen that when the displacement is 42 mm (offset rate 4.2%), the opening amount of the CFST-0 specimen is 2.88 mm, and that of the CFST-0 specimen is 1.73 mm.
- (2)
- It can be seen from Figure 15 that the rate of the opening amount increases at first and then slows down with the increased offset rate. The change in the rate of opening reflects the size of the horizontal load.
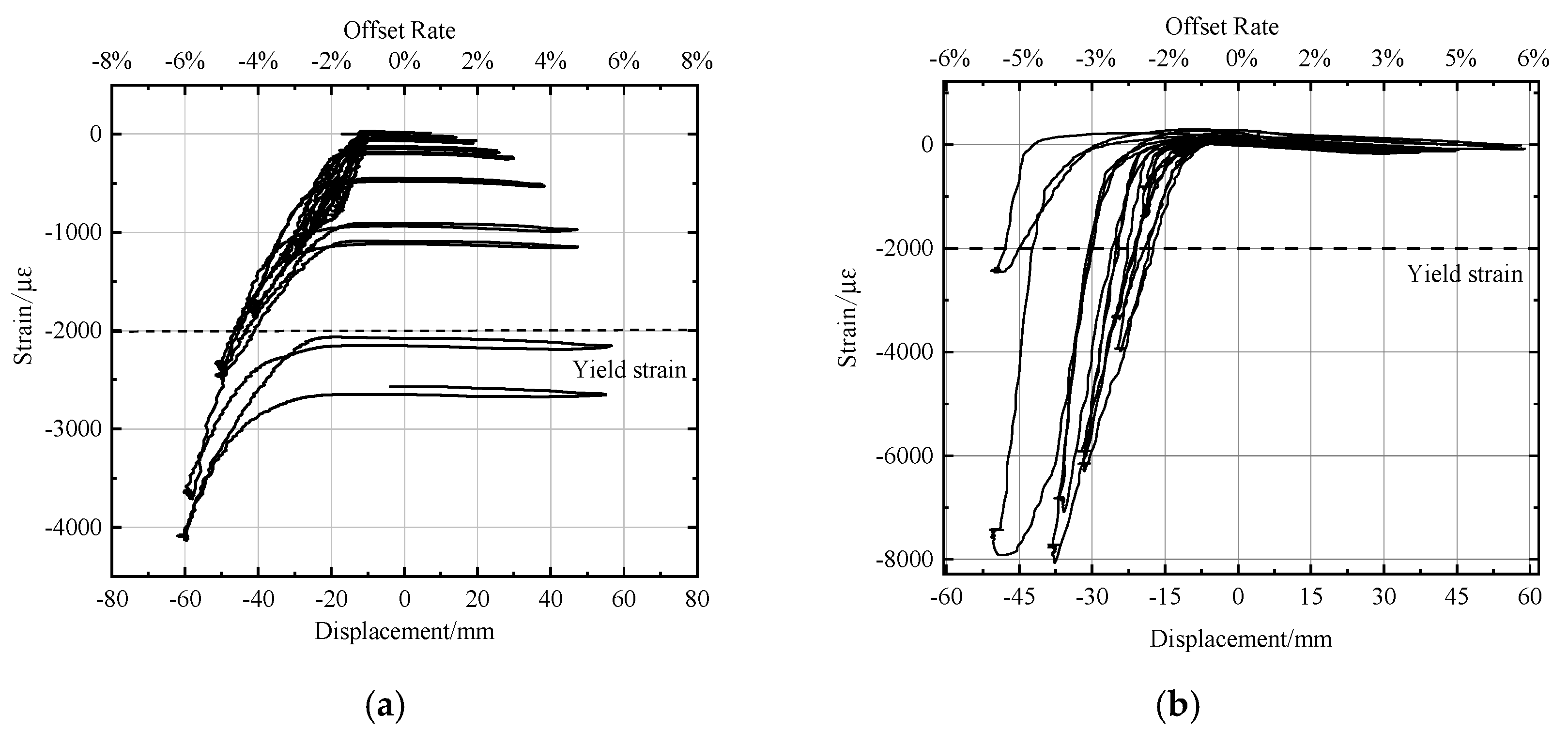
4.2.5. Strain of Steel Pipe and Energy Dissipation Element
4.2.6. Prestress Change
4.2.7. Replace the Energy-Consuming Device
5. Conclusions
- (1)
- Under a reciprocating load, the concrete-filled steel tubular pier shows good resistance to deformation, and the pier body has no obvious damage. Setting a replaceable external energy dissipator can reduce the opening size of joints between segments, which ensures the damage to the pier is concentrated on the energy dissipator, which is convenient for rapid disassembly and replacement.
- (2)
- From the test and finite element results, it can be seen that the hysteretic curve of the segmental assembled CFST pier without an energy dissipator is relatively pinched, the overall energy dissipation capacity deviation, and the lateral bearing capacity is low. Setting the energy dissipator can significantly improve the hysteretic energy consumption, lateral strength, stiffness, and other seismic performances of the segmental assembled CFST pier and also reduce the deformation recovery capacity of the pier. However, the pier should have a good self-resetting capacity which ensures the pier is repairable after an earthquake.
- (3)
- With the increase of horizontal loading displacement, the tensioning force of the prestressed tendon increases linearly, and there is a certain prestress loss in each stage of cyclic loading. After the pier top reaches 62 mm, the maximum horizontal displacement with an offset rate of 6.2%, and complete unloading, the prestress loss is 30%. The prestress loss in the fabricated assembled pier of the post-tensioned unbonded prestressed connection is significant, which should be emphasized.
- (4)
- The replacement of external energy dissipators will not affect the seismic performance of segmental assembled CFST piers.
- (5)
- The energy dissipator proposed in this paper is simple in structure and easy to replace. Based on the test and finite element analysis, the use of unbonded prestressed tendons with external energy dissipators can not only improve the energy dissipation capacity of CFST piers, but also ensure a small residual displacement, achieving the effects of self-resetting and stiffness. It provides research ideas and directions for the promotion of segmental assembled piers in medium- and high-intensity areas.
Author Contributions
Funding
Institutional Review Board Statement
Informed Consent Statement
Data Availability Statement
Conflicts of Interest
References
- Lan, H. Status of research on seismic performance of prefabricated segmental assembled bridge piers. Highw. Traffic Technol. 2012, 6, 38–42. [Google Scholar]
- He, S. Research on the Seismic Performance of Dry Jointed Unbonded Prestressed Segmental Assembled Piers. Bachelor’s Thesis, Xi’an University of Architecture and Technology, Xi’an, China, 2019. [Google Scholar]
- Han, L.; Yang, Y. Modern Concrete Filled Steel Tubular Technology; China Construction Industry Press: Beijing, China, 2007. [Google Scholar]
- Taira, Y.; Kasuga, A.; Unjo, S.; Asai, H. A Study on Restorable Precast and Prestressed Hybrid Piers; Multidisciplinary Center for Earthquake Engineering Research: Buffalo, NY, USA, 2009. [Google Scholar]
- Chou, C.C.; Chen, Y.C. Cyclic tests of post-tensioned precast CFT segmental bridge columns with unbonded strands. Earthq. Eng. Struct. Dyn. 2006, 35, 159–175. [Google Scholar] [CrossRef]
- Elgawady, M.A.; Dawiid, H.M. Analysis of segmental piers consisted of concrete filled FRP tubes. Eng. Struct. 2012, 38, 142–152. [Google Scholar] [CrossRef]
- Sideris, P.; Aref, A.J.; Filiatrault, A. Large-scale seismic testing of a hybrid sliding-rocking posttensioned segmental bridge system. J. Struct. Eng. 2014, 140, 04014025. [Google Scholar] [CrossRef]
- Mander, J.B.; Cheng, C.T. Replaceable hinge detailing for bridge columns. J. Spec. Publ. 1999, 187, 185–204. [Google Scholar]
- Hewes, J.T.; Priestley, M.J.N. Seismic Design and Performance of Fabricated Concrete Segmental Bridge Columns; University of California: San Diego, CA, USA, 2002. [Google Scholar]
- Hu, L. Theoretical Study on Seismic Performance of Segmental Assembled Steel Pipe Concrete Bridge Piers. Bachelor’s Thesis, Tsinghua University, Beijing, China, 2012. [Google Scholar]
- Jia, J.; Zhao, J.; Zhang, Q. Seismic performance test of bolted fabricated assembled CFST pier. Chin. J. Highw. 2017, 30, 243–248. [Google Scholar]
- Ou, Y.C.; Wang, P.H.; Tsai, M.S.; Chang, K.C.; Lee, G.C. Large-Scale Experimental Study of Precast Segmental Unbonded Posttensioned Concrete Bridge Columns for Seismic Regions. J. Struct. Eng. 2010, 136, 255–264. [Google Scholar] [CrossRef]
- Ou, Y.C.; Tsai, M.S.; Chang, K.C.; Lee, G.C. Cyclic behavior of precast segmental concrete bridge columns with high performance or conventional steel reinforcing bars as energy dissipation bars. Earthq. Eng. Struct. Dyn. 2010, 39, 1181–1198. [Google Scholar] [CrossRef]
- Wang, J.C.; Ou, Y.C.; Chang, K.C.; Lee, G.C. Large-scale seismic tests of tall concrete bridge columns with precast segmental construction. Earthq. Eng. Struct. Dyn. 2008, 37, 1449–1465. [Google Scholar] [CrossRef]
- Han, Q.; Jia, Z.; Xu, K.; Zhou, Y.; Du, X. Hysteretic behavior investigation of self-centering double-column rocking piers for seismic resilience. Eng. Struct. 2019, 188, 218–232. [Google Scholar] [CrossRef]
- Wei, Z.; Qi, L.; Chen, N. Analysis of lateral load bearing performance of bent bolted segmental assembled bridge piers. Shanxi Constr. 2015, 41, 175–176. [Google Scholar]
- Varela, S. A bridge column with superelastic NiTi SMA and replaceable rubber hinge for earthquake damage mitigation. Smart Mater. Struct. 2016, 25, 075012. [Google Scholar] [CrossRef]
- Elgawady, M.A.; Sha’Lan, A. Seismic behavior of selfcentering fabricated segmental bridge bents. Bridge Eng. 2010, 16, 328–339. [Google Scholar] [CrossRef]
- Li, C.; Bi, K.; Hao, H.; Zhang, X.; Van Tin, D. Cyclic test and numerical study of precast segmental concrete columns with BFRP and TEED. Bull. Earthq. Eng. 2019, 17, 3475–3494. [Google Scholar] [CrossRef]
- Zhang, Q. Research on the Seismic Performance of Segmental Fabricated Assembled Steel Pipe Concrete Bridge Piers. Bachelor’s Thesis, Beijing University of Technology, Beijing, China, 2016. [Google Scholar]
- Wang, C.; Qu, Z. Seismic Performance Analysis of Segmental Assembled Concrete-Filled Steel Tubular Pier with External Replaceable Energy Dissipation Ring. Appl. Sci. 2022, 12, 4729. [Google Scholar] [CrossRef]
- GB 50010-2010; Code for Design of Concrete Structures. Ministry of Housing and UrbanRural. Development of the People’s Republic of China: Beijing, China, 2010. (In Chinese)
- Du, Q.; Zhang, S.; Qing, L. Analysis and simulation of force performance of prefabricated segmental assembled bridge piers. J. Chongqing Jiaotong Univ. 2020, 39, 73–80. [Google Scholar]
- Glassman, J.D.; Garlock, M.E.M.; Aziz, E.M.; Kodur, V.K. Modeling parameters for predicting the postbuckling shear strength of steel plate girders. J. Constr. Steel Res. 2016, 121, 136–143. [Google Scholar] [CrossRef] [Green Version]
- Wang, W.; Zhou, C.; Xue, Y.; Song, Y. Research on the seismic performance of prefabricated assembled bridge piers with external energy-consuming steel plates. J. Hunan Univ. Nat. Sci. Ed. 2020, 47, 57–68. [Google Scholar]
- GB/T228-2010. Metallic Materials-Tensile Testing, Part 1: Method of Test at Room Temperature; Standards Press of China: Beijing, China, 2010. (In Chinese) [Google Scholar]






















| Specimen Name | Abbreviation | Characteristics |
|---|---|---|
| Segmental assembly of CFST pier | CFST-0 | Dry joint unbonded post-tensioned prestress (arranged around) and section prefabricated assembled |
| CFST pier with external energy dissipator | CFST-R | Dry joint unbonded post-tensioned prestress (arranged around), using energy dissipators to connect adjacent segments and prefabricate segments |
| Specimen | 1 | 2 | 3 | Average |
|---|---|---|---|---|
| Compressive strength (MPa) | 42.8 | 43.1 | 41.6 | 42.5 |
| Steel | Mean | Mean | |||
|---|---|---|---|---|---|
| 275.2 | 276.6 | 466.3 | 474.1 | 2.03 | |
| Q235 | 270.5 | 455.2 | |||
| 285.2 | 500.8 | ||||
| 386.3 | 381.7 | 594 | 580.2 | 2.06 | |
| Q345 | 395.6 | 581.3 | |||
| 363 | 565.2 |
Publisher’s Note: MDPI stays neutral with regard to jurisdictional claims in published maps and institutional affiliations. |
© 2022 by the authors. Licensee MDPI, Basel, Switzerland. This article is an open access article distributed under the terms and conditions of the Creative Commons Attribution (CC BY) license (https://creativecommons.org/licenses/by/4.0/).
Share and Cite
Wang, C.; Qu, Z.; Shen, Y.; Ping, B.; Xie, J. Cyclic Testing on Seismic Behavior of Segmental Assembled CFST Bridge Pier with External Replaceable Energy Dissipator. Metals 2022, 12, 1156. https://doi.org/10.3390/met12071156
Wang C, Qu Z, Shen Y, Ping B, Xie J. Cyclic Testing on Seismic Behavior of Segmental Assembled CFST Bridge Pier with External Replaceable Energy Dissipator. Metals. 2022; 12(7):1156. https://doi.org/10.3390/met12071156
Chicago/Turabian StyleWang, Chengquan, Zheng Qu, Yonggang Shen, Boyan Ping, and Jun Xie. 2022. "Cyclic Testing on Seismic Behavior of Segmental Assembled CFST Bridge Pier with External Replaceable Energy Dissipator" Metals 12, no. 7: 1156. https://doi.org/10.3390/met12071156
APA StyleWang, C., Qu, Z., Shen, Y., Ping, B., & Xie, J. (2022). Cyclic Testing on Seismic Behavior of Segmental Assembled CFST Bridge Pier with External Replaceable Energy Dissipator. Metals, 12(7), 1156. https://doi.org/10.3390/met12071156

