Effect of Temperature on Corrosion Behavior of Laser-Remelted CrFeCoNi Coating
Abstract
:1. Introduction
2. Materials and Methods
3. Results and Discussion
4. Conclusions
- (1)
- The CrFeCoNi coating is composed of numerous fine subgrains. The coating has higher Fe content than primary CrFeCoNi powder due to the dilution effect.
- (2)
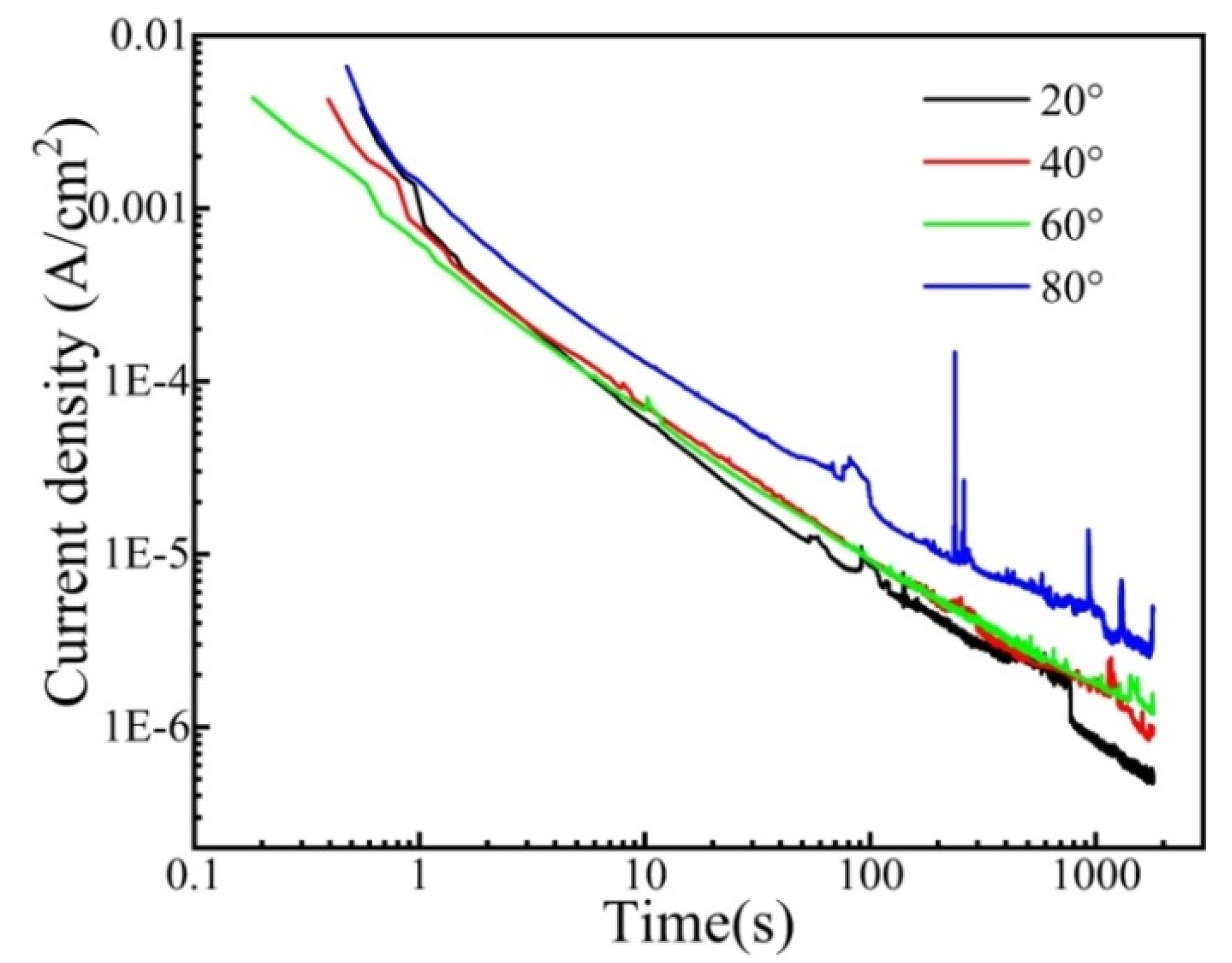
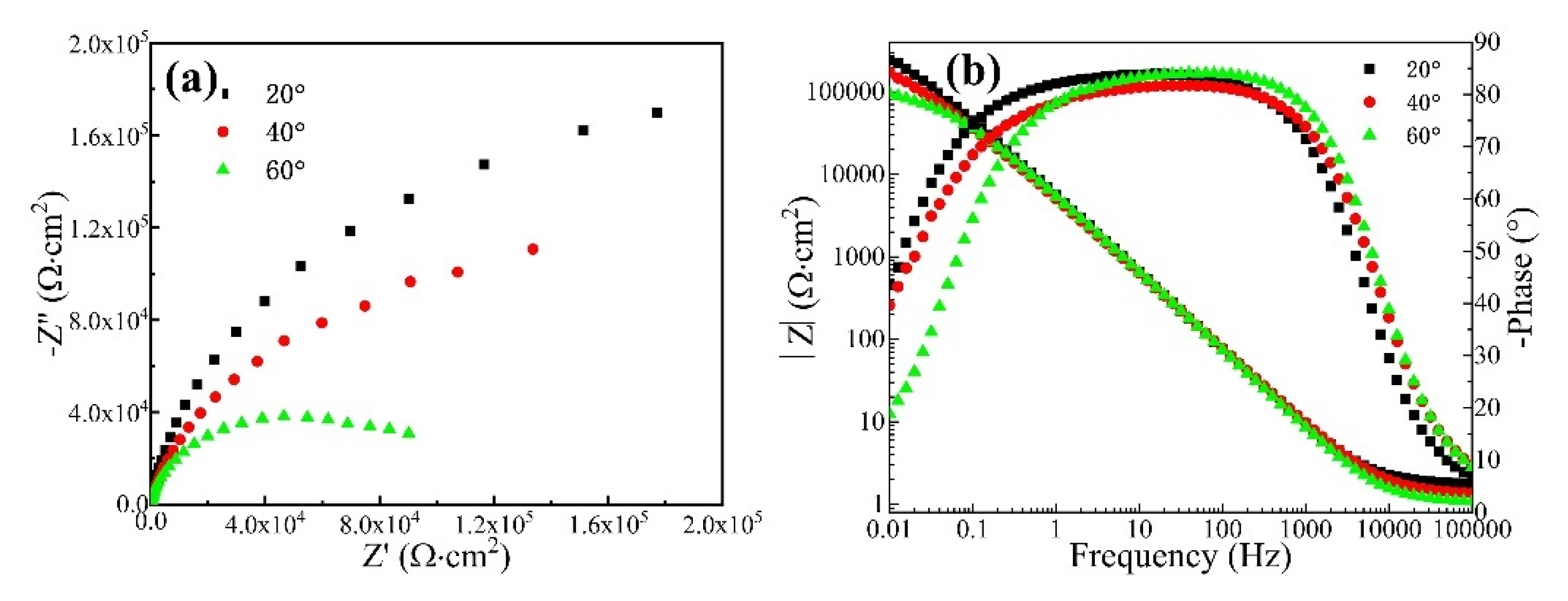
- The corrosion current density and polarization resistance of the CrFeCoNi coating gradually decrease with the increase in solution temperature in 3.5 wt% NaCl solution, indicating that increasing solution temperature decrease the corrosion resistance of the CrFeCoNi coating.
- (3)
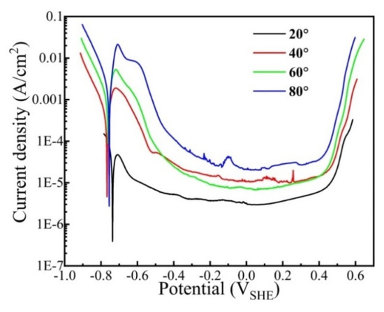
- As the temperature rises, the corrosion current density, passivation current density, and passivation film resistance decrease in 0.5 mol/L H2SO4 solution. This means that an increase in solution temperature results in a decrease in corrosion resistance of the CrFeCoNi coating.
Author Contributions
Funding
Institutional Review Board Statement
Informed Consent Statement
Data Availability Statement
Conflicts of Interest
References
- Liu, F.F.; Liaw, P.K.; Zhang, Y. Recent progress with BCC-structured high-entropy alloys. Metals 2022, 12, 501. [Google Scholar] [CrossRef]
- Wang, C.M.; Yu, J.X.; Yu, Y.; Zhang, Y. Phase evolution and solidification cracking sensibility in laser remelting treatment of the plasma-sprayed CrMnFeCoNi high entropy alloy coating. Mater. Des. 2019, 182, 108040. [Google Scholar] [CrossRef]
- Shi, Y.Z.; Yang, B.; Liaw, P.K. Corrosion-resistance high entropy alloys: A review. Metals 2017, 7, 43. [Google Scholar] [CrossRef] [Green Version]
- Wang, C.M.; Yu, Y.; Yu, J.X.; Zhang, Y.; Wang, F.C.; Li, H.D. Effect of the macro-segregation on corrosion behavior of CrMnFeCoNi coating prepared by arc cladding. J. Alloys Compd. 2020, 846, 156263. [Google Scholar] [CrossRef]
- Miracle, D.B.; Senkov, O.N. A critical review of high entropy alloys and related concepts. Acta Mater. 2017, 122, 448–511. [Google Scholar] [CrossRef] [Green Version]
- Cao, X.; Wu, C.J.; Liu, Y.; Peng, H.P.; Su, X.P. Eutectic reaction and microstructure stability in CoCrFeNiNbx high-entropy alloys. Metals 2022, 12, 756. [Google Scholar] [CrossRef]
- Vaidya, M.; Pradeep, K.G.; Murty, B.S.; Wilde, G.; Divinski, S.V. Bulk tracer diffusion in CoCrFeNi and CoCrFeMnNi high entropy alloys. Acta Mater. 2018, 146, 211–224. [Google Scholar] [CrossRef]
- Zhang, W.R.; Li, Y.S.; Liaw, P.K.; Zhang, Y. A strategic design route to find a depleted uranium high-entropy alloy with great strength. Metals 2022, 12, 699. [Google Scholar] [CrossRef]
- Ye, Q.F.; Feng, K.; Li, Z.G.; Lu, F.G.; Li, R.F.; Huang, J.; Wu, Y.X. Microstructure and corrosion properties of CrMnFeCoNi high entropy alloy coating. Appl. Surf. Sci. 2017, 396, 1420–1426. [Google Scholar] [CrossRef]
- Sha, M.H.; Jia, C.T.; Qiao, J.; Feng, W.Q.; Ai, X.G.; Jing, Y.A.; Shen, M.G.; Li, S.L. Microstructure and properties of high-entropy AlxCoCrFe2.7MoNi alloy coatings prepared by laser cladding. Metals 2019, 9, 1243. [Google Scholar] [CrossRef] [Green Version]
- Wen, X.; Cui, X.F.; Jin, G.; Liu, Y.F.; Zhang, Y.; Zhang, X.R.; Liu, E.B.; Tian, H.L.; Fang, Y.C. Corrosion and tribo-corrosion behaviors of nano-lamellar Ni1.5CrCoFe0.5Mo0.1Nbx eutectic high-entropy alloy coatings: The role of dual-phase microstructure. Corros. Sci. 2022, 201, 110305. [Google Scholar] [CrossRef]
- Li, C.W.; Ma, A.B.; Jiang, J.H. Mechanical properties and corrosion behavior of novel Al-Mg-Zn-Cu-Si lightweight high entropy alloys. J. Alloys Compd. 2022, 900, 163508. [Google Scholar]
- Wang, C.M.; Yu, Y.; Zhang, H.; Xu, L.X.; Ma, X.Y.; Wang, F.F.; Song, B.Y. Microstructure and corrosion properties of laser remelted CrFeCoNi and CrMnFeCoNi high entropy alloys coatings. J. Mater. Res. Technol. 2021, 15, 5187–5196. [Google Scholar] [CrossRef]
- Qzturk, S.; Alptekin, F.; Qnal, S.; Sunbul, S.E.; Sahin, O.; Icin, K. Effect of titanium addition on the corrosion behavior of CoCuFeNiMn high entropy alloy. J. Alloys Compd. 2022, 903, 163867. [Google Scholar] [CrossRef]
- Shuang, S.; Yu, Q.; Gao, X.; He, Q.F.; Zhang, J.Y.; Shi, S.Q.; Yang, Y. Tuning the microstructure for superb corrosion resistance in eutectic high entropy alloy. J. Mater. Sci. Technol. 2022, 109, 197–208. [Google Scholar] [CrossRef]
- Thota, H.; Jeyaraam, R.; Bairi, L.R.; Tirunilai, A.S.; Kauffmann, A.; Freudenberger, J.; Heilmaier, M.; Mandal, S.; Vadlamani, S.S. Grain boundary engineering and its implications on corrosion behavior of equiatomic CoCrFeMnNi high entropy alloy. J. Alloys Compd. 2021, 25, 161500. [Google Scholar] [CrossRef]
- Parakh, A.; Vaidya, M.; Kumar, N.; Chetty, R.; Murty, B.S. Effect of crystal structure and grain size on corrosion properties of AlCoCrFeNi high entropy alloy. J. Alloys Compd. 2021, 863, 158056. [Google Scholar] [CrossRef]
- Zhang, P.; Li, Z.W.; Liu, H.M.; Zhang, Y.B.; Li, H.X.; Shi, C.W.; Liu, P.; Yan, D.F. Recent progress on the microstructure and properties of high entropy alloy coatings prepared by laser processing technology: A review. J. Manuf. Process. 2022, 76, 397–411. [Google Scholar] [CrossRef]
- Jiao, W.N.; Li, T.X.; Chang, X.X.; Lu, Y.P.; Yin, G.M.; Cao, Z.Q. A novel Co-free Al0.75CrFeNi eutectic high entropy alloy with superior mechanical properties. J. Alloys Compd. 2022, 902, 163814. [Google Scholar] [CrossRef]
- Osintsev, K.A.; Konovalov, S.V.; Gromov, V.E.; Ivanov, Y.F.; Panchenko, I.A. Microstructure and mechanical properties of non-equiatomic Co25.4Cr15Fe37.9Mn3.5Ni16.8Si1.4 high-entropy alloy produced by wire-arc additive manufacturing. Mater. Lett. 2022, 312, 131675. [Google Scholar] [CrossRef]
- Yin, S.; Li, W.Y.; Song, B.; Yan, X.C.; Kuang, M.; Xu, Y.X.; Wen, K.; Lupoi, R. Deposition of FeCoNiCrMn high entropy alloy (HEA) coating via cold spraying. J. Mater. Sci. Technol. 2019, 35, 1003–1007. [Google Scholar] [CrossRef]
- Zhao, Y.M.; Zhang, X.M.; Quan, H.; Chen, Y.J.; Wang, S.; Zhang, S. Effect of Mo addition on structures and properties of FeCoNiCrMn high entropy alloy film by direct current magnetron sputtering. J. Alloys Compd. 2020, 895, 162709. [Google Scholar] [CrossRef]
- Lin, X.; Gao, Y.Q.; Wang, Z.T.; Gao, J.; Wang, L.L.; Huang, W.D. Regular eutectic and anomalous eutectic growth behavior in laser remelting of Ni-30wt% Sn alloy. Acta Mater. 2017, 126, 210–220. [Google Scholar] [CrossRef]
- Wang, Z.; Zhang, Q.K.; Guo, P.S.; Gao, X.; Yang, L.J.; Song, Z.L. Effects of laser surface remelting on microstructure and properties of biodegradable Zn-Zr alloy. Mater. Lett. 2018, 226, 52–54. [Google Scholar] [CrossRef]
- Torbati-Sarraf, H.; Shabani, M.; Jablonski, P.D.; Pataky, G.J.; Poursaee, A. The effect of incorporation of Mn on the pitting corrosion performance of CrFeCoNi High Entropy Alloy at different temperatures. Mater. Des. 2019, 184, 108170. [Google Scholar] [CrossRef]
- Vogt, J.B.; Serre, I.P. A review of the surface modifications for corrosion mitigation of steels in lead and LBE. Coatings 2021, 11, 53. [Google Scholar] [CrossRef]
- Li, B.S.; Liao, Q.; Zhang, H.P.; Shen, T.L.; Ge, F.F.; Daghbouj, N. The effects of stress on corrosion behaviour of SIMP martensitic steel in static liquid lead-bismuth eutectic. Corros. Sci. 2021, 187, 109477. [Google Scholar] [CrossRef]
- Wang, P.; Karsten, N.; Gary, S.W. Reproducing shadow corrosion on Zircaloy-2 using in-situ proton irradiation. J. Nucl. Mater. 2022, 558, 153406. [Google Scholar] [CrossRef]
- Daghbouj, N.; Sen, H.S.; Callisti, M.; Vronka, M.; Karlik, M.; Duchoň, J.; Čech, J.; Havánek, V.; Polcar, T. Revealling nanoscale strain mechanisms in ion-irradiated multilayers. Acta Mater. 2022, 229, 117807. [Google Scholar] [CrossRef]
- Luo, H.; Li, Z.M.; Mingers, A.M.; Raabe, D. Corrosion behavior of an equiatomic CoCrFeMnNi high-entropy alloy compared with 304 stainless steel in sulfuric acid solution. Corros. Sci. 2018, 134, 131–139. [Google Scholar] [CrossRef]
- Della Rovere, C.A.; Alano, J.H.; Silva, R.; Nascente, P.A.P.; Otubo, J.; Kuri, S.E. Characterization of passive films on shape memory stainless steels. Corros. Sci. 2021, 57, 154–161. [Google Scholar] [CrossRef]
- Wang, C.M.; Yu, Y.; Yu, J.X.; Zhang, Y.; Zhao, Y.; Yuan, Q.W. Microstructure evolution and corrosion behavior of dissimilar 304/430 stainless steel welded joints. J. Manuf. Process. 2020, 50, 183–191. [Google Scholar] [CrossRef]
- Kocijan, A.; Merl, D.K.; Jenko, M. The corrosion behaviour of austenitic stainless steels in srtificial saliva with the addition of fluoride. Corros. Sci. 2011, 53, 776–783. [Google Scholar] [CrossRef]
- Escriva-Cerdan, C.; Blasco-Tamarit, E.; Garcia-Garcia, D.M.; Garcia-Anton, J.; Guenbour, A. Passivation behavior of Alloy 31 (UNS N08031) in polluted phosphoric acid at different temperatures. Corros. Sci. 2012, 56, 114–122. [Google Scholar] [CrossRef]
- Wang, C.M.; Yu, J.X.; Yu, Y.; Zhao, Y.; Zhang, Y.; Han, X.X. Comparison of the corrosion and passivity behavior between CrMnFeCoNi and CrFeCoNi coatings prepared by argon arc cladding. J. Mater. Res. Technol. 2020, 9, 8482–8496. [Google Scholar] [CrossRef]
- Leon, A.; Levy, G.K.; Ron, T.; Shirizly, A.; Aghion, E. The effect of strain rate on stress corrosion performance of Ti6Al4V alloy produced by additive manufacturing process. J. Mater. Res. Technol. 2020, 9, 4097–4105. [Google Scholar] [CrossRef]
- Cui, Z.Y.; Wang, L.W.; Ni, H.T.; Hao, W.K.; Man, C.; Chen, S.S.; Wang, X.; Liu, Z.Y.; Li, X.G. Influence of temperature on the electrochemical and passivation behavior of 2507 super duplex stainless steel in simulated desulfurized flue gas condensates. Corros. Sci. 2017, 18, 31–48. [Google Scholar] [CrossRef]











| Element (at%) | Fe | Co | Ni | Cr |
|---|---|---|---|---|
| CrFeCoNi coating | 29.0 | 23.8 | 23.8 | 23.4 |
| Temperature (°C) | Ecorr (mV) | Icorr (A/cm2) | Eb (mV) |
|---|---|---|---|
| 20 | −166.7 | 7.15 × 10−8 | 369.4 |
| 40 | −190.4 | 1.33 × 10−7 | 274.5 |
| 60 | −133.6 | 2.99 × 10−7 | 249.2 |
| Temperature (°C) | 20 | 40 | 60 |
|---|---|---|---|
| Rs (Ω cm2) | 1.82 | 1.34 | 1.08 |
| Rct (Ω cm2) | 3.51 × 105 | 2.18 × 105 | 9.06 × 104 |
| Qdl (Ω−1 cm−2 sn) | 3.35 × 10−5 | 3.94 × 10−5 | 3.46 × 10−5 |
| n | 0.92 | 0.90 | 0.93 |
| ∑c2 | 9.78 × 10−4 | 2.32 × 10−3 | 2.75 × 10−3 |
| Temperature (°C) | Ecorr (mV) | Icorr (A/cm2) | Et (mV) |
|---|---|---|---|
| 20 | −737.58 | 7.07 × 10−5 | 537.11 |
| 40 | −767.44 | 4.97 × 10−4 | 512.84 |
| 60 | −759.62 | 1.26 × 10−3 | 494.23 |
| 80 | −758.93 | 3.32 × 10−3 | 463.10 |
| Temperature (°C) | 20 | 40 | 60 | 80 |
|---|---|---|---|---|
| Rs (Ω cm2) | 0.42 | 0.43 | 0.51 | 0.37 |
| Rt (Ω cm2) | 1.12 × 104 | 1.39 × 104 | 9.35 × 103 | 4.29 × 103 |
| Qd (Ω−1 cm−2 sn) | 3.82 × 10−5 | 5.10 × 10−5 | 4.41 × 10−5 | 5.58 × 10−5 |
| nt | 0.93 | 0.92 | 0.94 | 0.94 |
| Rf (Ω cm2) | 1.62 × 105 | 3.84 × 104 | 2.35 × 104 | 2.24 × 104 |
| Qf (Ω−1 cm−2 sn) | 1.09 × 10−4 | 2.89 × 10−4 | 5.29 × 10−4 | 7.30 × 10−4 |
| nf | 0.92 | 0.62 | 0.80 | 0.80 |
| ∑c2 | 6.77 × 10−4 | 1.01 × 10−3 | 2.22 × 10−3 | 2.09 × 10−3 |
Publisher’s Note: MDPI stays neutral with regard to jurisdictional claims in published maps and institutional affiliations. |
© 2022 by the authors. Licensee MDPI, Basel, Switzerland. This article is an open access article distributed under the terms and conditions of the Creative Commons Attribution (CC BY) license (https://creativecommons.org/licenses/by/4.0/).
Share and Cite
Wang, C.; Yu, Y.; Shao, M.; Zhang, H. Effect of Temperature on Corrosion Behavior of Laser-Remelted CrFeCoNi Coating. Metals 2022, 12, 970. https://doi.org/10.3390/met12060970
Wang C, Yu Y, Shao M, Zhang H. Effect of Temperature on Corrosion Behavior of Laser-Remelted CrFeCoNi Coating. Metals. 2022; 12(6):970. https://doi.org/10.3390/met12060970
Chicago/Turabian StyleWang, Caimei, Yang Yu, Minghao Shao, and Hua Zhang. 2022. "Effect of Temperature on Corrosion Behavior of Laser-Remelted CrFeCoNi Coating" Metals 12, no. 6: 970. https://doi.org/10.3390/met12060970
APA StyleWang, C., Yu, Y., Shao, M., & Zhang, H. (2022). Effect of Temperature on Corrosion Behavior of Laser-Remelted CrFeCoNi Coating. Metals, 12(6), 970. https://doi.org/10.3390/met12060970
