Surface Microstructure and Performance of Anodized TZ30 Alloy in SBF Solution
Abstract
:1. Introduction
2. Materials and Methods
3. Results and Discussion
3.1. Microstructure of AOFs
3.2. Surface Microhardness of AOFs
3.3. Tribological Behavior and Wear Mechanism in the SBF Solution
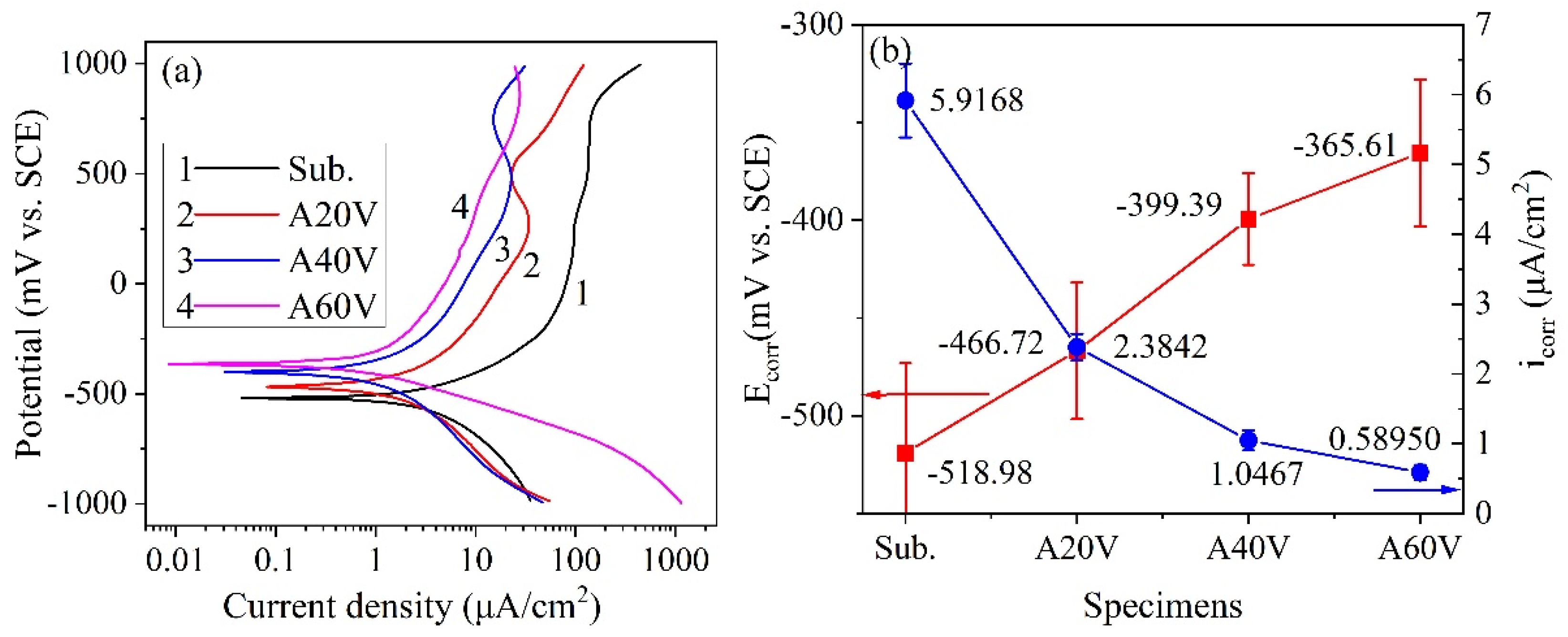
3.4. Corrosion Resistance in the SBF Solution
4. Conclusions
- (1)
- The main microstructure evolution of the AOF is that compact regions transform gradually into loose regions and then grow into nanotube regions. The thickness of AOF increases from 8.6 ± 4.61 μm to 20.7 ± 2.18 μm as the applied voltage increased to 60 V.
- (2)
- Surface microhardness increases gradually with the applied voltage. The specimen anodized at 60 V has a surface microhardness of 818.4 ± 19.3 HV, far over the substrate (~364.6 ± 14.4 HV).
- (3)
- The mean friction coefficient tested in the SBF solution decreases from 0.21 ± 0.022 for the substrate to 0.14 ± 0.011 and 0.16 ± 0.014 for the specimens anodized at 40 V and 60 V, respectively.
- (4)
- Anodization can obviously improve the corrosion resistance of the TZ30 alloy in the SBF solution. The reduction of corrosion current density is up to 90% for the specimen anodized at 60 V compared to the substrate.
Author Contributions
Funding
Institutional Review Board Statement
Informed Consent Statement
Data Availability Statement
Conflicts of Interest
References
- Nagels, J.; Stokdijk, M.; Rozing, P.M. Stress shielding and bone resorption in shoulder arthroplasty. J. Shoulder Elb. Surg. 2003, 12, 35–39. [Google Scholar] [CrossRef]
- Liang, S. Review of the design of titanium alloys with low elastic modulus as implant materials. Adv. Eng. Mater. 2020, 22, 2000555. [Google Scholar] [CrossRef]
- Liang, S.X.; Ma, M.Z.; Jing, R.; Zhang, X.Y.; Liu, R.P. Microstructure and mechanical properties of hot-rolled ZrTiAlV alloys. Mater. Sci. Eng. A 2012, 532, 1–5. [Google Scholar] [CrossRef]
- Liang, S.X.; Ma, M.Z.; Jing, R.; Zhou, Y.K.; Jing, Q.; Liu, R.P. Preparation of the ZrTiAlV alloy with ultra-high strength and good ductility. Mater. Sci. Eng. A 2012, 539, 42–47. [Google Scholar] [CrossRef]
- Zhang, Y.; Liu, Z.; Zhao, Z.; Ma, M.; Shu, Y.; Hu, W.; Liu, R.; Tian, Y.; Yu, D. Preparation of pure α″-phase titanium alloys with low moduli via high pressure solution treatment. J. Alloys Compd. 2017, 695, 45–51. [Google Scholar] [CrossRef]
- Shi, Y.D.; Wang, L.N.; Liang, S.X.; Zhou, Q.; Zheng, B. A high Zr-containing Ti-based alloy with ultralow Young’s modulus and ultrahigh strength and elastic admissible strain. Mater. Sci. Eng. A 2016, 674, 696–700. [Google Scholar] [CrossRef]
- Liang, S.X.; Yin, L.X.; Zheng, L.Y.; Xie, H.L.; Yao, J.X.; Ma, M.Z.; Liu, R.P. Tribological behavior and wear mechanism of TZ20 titanium alloy after various treatments. J. Mater. Eng. Perform. 2018, 27, 4645–4654. [Google Scholar] [CrossRef]
- Yang, Y.; Xia, C.; Feng, Z.; Jiang, X.; Pan, B.; Zhang, X.; Ma, M.; Liu, R. Corrosion and passivation of annealed Ti–20Zr–6.5Al–4V alloy. Corros. Sci. 2015, 101, 56–65. [Google Scholar] [CrossRef]
- Liang, S.X.; Liu, K.Y.; Yin, L.X.; Huang, G.W.; Shi, Y.D.; Zheng, L.Y.; Xing, Z.G. Review of major technologies improving surface performances of Ti alloys for implant biomaterials. J. Vac. Sci. Technol. A 2022. [Google Scholar] [CrossRef]
- Gulati, K.; Martinez, R.D.O.; Czerwiński, M.; Michalska-Domańska, M. Understanding the influence of electrolyte aging in electrochemical anodization of titanium. Adv. Colloid Interface Sci. 2022, 302, 102615. [Google Scholar] [CrossRef]
- Pereira, B.L.; Lepienski, C.M.; Seba, V.; Nugent, M.J.D.; Torres, R.; Kuroda, P.A.B.; Grandini, C.R.; Soares, P. Plasma electrolytic oxidation up to four-steps performed on niobium and Nb-Ti alloys. Surf. Coat. Technol. 2022, 438, 128369. [Google Scholar] [CrossRef]
- Al Zoubi, W.; Allaf, A.W.; Assfour, B.; Ko, Y.G. Concurrent oxidation–reduction reactions in a single system using a low-plasma phenomenon: Excellent catalytic performance and stability in the hydrogenation reaction. ACS Appl. Mater. Interfaces 2022, 14, 6740–6753. [Google Scholar] [CrossRef]
- Saji, V.S. Superhydrophobic surfaces and coatings by electrochemical anodic oxidation and plasma electrolytic oxidation. Adv. Colloid Interface Sci. 2020, 283, 102245. [Google Scholar] [CrossRef]
- Matykina, E.; Arrabal, R.; Skeldon, P.; Thompson, G.E. Optimisation of the plasma electrolytic oxidation process efficiency on aluminium. Surf. Interface Anal. 2010, 42, 221–226. [Google Scholar] [CrossRef]
- Zhang, X.M.; Tian, X.B.; Yang, S.Q.; Gong, C.Z.; Fu, R.K.Y.; Chu, P.K. Low energy-consumption plasma electrolytic oxidation based on grid cathode. Rev. Sci. Instrum. 2010, 81, 103504. [Google Scholar] [CrossRef]
- Macak, J.M.; Tsuchiya, H.; Ghicov, A.; Yasuda, K.; Hahn, R.; Bauer, S.; Schmuki, P. TiO2 nanotubes: Self-organized electrochemical formation, properties and applications. Curr. Opin. Solid State Mater. Sci. 2007, 11, 3–18. [Google Scholar] [CrossRef]
- Lee, W.; Park, S.-J. Porous anodic aluminum oxide: Anodization and templated synthesis of functional nanostructures. Chem. Rev. 2014, 114, 7487–7556. [Google Scholar] [CrossRef]
- Macak, J.M.; Hildebrand, H.; Marten-Jahns, U.; Schmuki, P. Mechanistic aspects and growth of large diameter self-organized TiO2 nanotubes. J. Electroanal. Chem. 2008, 621, 254–266. [Google Scholar] [CrossRef]
- Pérez, D.A.G.; Jorge Junior, A.M.; Asato, G.H.; Lepretre, J.-C.; Roche, V.; Bolfarini, C.; Botta, W.J. Surface anodization of the biphasic Ti13Nb13Zr biocompatible alloy: Influence of phases on the formation of TiO2 nanostructures. J. Alloys Compd. 2019, 796, 93–102. [Google Scholar] [CrossRef]
- Ma, Y.; Wu, H.; Zhou, X.; Li, K.; Liao, Y.; Liang, Z.; Liu, L. Corrosion behavior of anodized Al-Cu-Li alloy: The role of intermetallic particle-introduced film defects. Corros. Sci. 2019, 158, 108110. [Google Scholar] [CrossRef]
- de Oliveira, L.A.; dos Santos, S.L.; de Oliveira, V.A.; Antunes, R.A. Influence of anodization on the fatigue and corrosion-fatigue behaviors of the AZ31B magnesium alloy. Metals 2021, 11, 1573. [Google Scholar] [CrossRef]
- Wu, S.; Wang, S.; Liu, W.; Yu, X.; Wang, G.; Chang, Z.; Wen, D. Microstructure and properties of TiO2 nanotube coatings on bone plate surface fabrication by anodic oxidation. Surf. Coat. Technol. 2019, 374, 362–373. [Google Scholar] [CrossRef]
- Liu, Z.J.; Zhong, X.; Liu, H.; Tsai, I.L.; Donatus, U.; Thompson, G.E. Characterization of anodic oxide film growth on Ti6Al4V in NaTESi electrolyte with associated adhesive bonding behaviour. Electrochim. Acta 2015, 182, 482–492. [Google Scholar] [CrossRef]
- ASTM E1911-19; Standard Test Method for Measuring Surface Frictional Properties Using the Dynamic Friction Tester. ASTM International: West Conshohocken, PA, USA, 2019.
- Osório, W.R.; Peixoto, L.C.; Moutinho, D.J.; Gomes, L.G.; Ferreira, I.L.; Garcia, A. Corrosion resistance of directionally solidified Al–6Cu–1Si and Al–8Cu–3Si alloys castings. Mater. Des. 2011, 32, 3832–3837. [Google Scholar] [CrossRef]
- Zhang, X.L.; Jiang, Z.H.; Yao, Z.P.; Song, Y.; Wu, Z.D. Effects of scan rate on the potentiodynamic polarization curve obtained to determine the Tafel slopes and corrosion current density. Corros. Sci. 2009, 51, 581–587. [Google Scholar] [CrossRef]
- Osório, W.R.; Freitas, E.S.; Garcia, A. EIS and potentiodynamic polarization studies on immiscible monotectic Al–In alloys. Electrochim. Acta 2013, 102, 436–445. [Google Scholar] [CrossRef]
- McCafferty, E. Validation of corrosion rates measured by the Tafel extrapolation method. Corros. Sci. 2005, 47, 3202–3215. [Google Scholar] [CrossRef]
- Sjöström, T.; Nobbs, A.H.; Su, B. Bactericidal nanospike surfaces via thermal oxidation of Ti alloy substrates. Mater. Lett. 2016, 167, 22–26. [Google Scholar] [CrossRef] [Green Version]
- Sikder, P.; Koju, N.; Ren, Y.; Goel, V.K.; Phares, T.; Lin, B.; Bhaduri, S.B. Development of single-phase silver-doped antibacterial CDHA coatings on Ti6Al4V with sustained release. Surf. Coat. Technol. 2018, 342, 105–116. [Google Scholar] [CrossRef]
- Cui, W.; Qin, G.; Duan, J.; Wang, H. A graded nano-TiN coating on biomedical Ti alloy: Low friction coefficient, good bonding and biocompatibility. Mater. Sci. Eng. C 2017, 71, 520–528. [Google Scholar] [CrossRef]
- Fu, Y.; Mo, A. A Review on the electrochemically self-organized titania nanotube arrays: Synthesis, modifications, and biomedical applications. Nanoscale Res. Lett. 2018, 13, 187. [Google Scholar] [CrossRef] [PubMed]
- Deen, K.M.; Farooq, A.; Raza, M.A.; Haider, W. Effect of electrolyte composition on TiO2 nanotubular structure formation and its electrochemical evaluation. Electrochim. Acta 2014, 117, 329–335. [Google Scholar] [CrossRef]
- Qin, J.; Cao, Z.; Li, H.; Su, Z. Formation of anodic TiO2 nanotube arrays with ultra-small pore size. Surf. Coat. Technol. 2021, 405, 126661. [Google Scholar] [CrossRef]
- Gong, Z.; Hu, Y.; Gao, F.; Quan, L.; Liu, T.; Gong, T.; Pan, C. Effects of diameters and crystals of titanium dioxide nanotube arrays on blood compatibility and endothelial cell behaviors. Colloids Surf. B Biointerfaces 2019, 184, 110521. [Google Scholar] [CrossRef]
- Fraoucene, H.; Sugiawati, V.A.; Hatem, D.; Belkaid, M.S.; Vacandio, F.; Eyraud, M.; Pasquinelli, M.; Djenizian, T. Optical and electrochemical properties of self-organized TiO2 nanotube arrays from anodized Ti−6Al−4V alloy. Front. Chem. 2019, 7, 66. [Google Scholar] [CrossRef] [Green Version]
- Ivanova, A.A.; Surmeneva, M.A.; Tyurin, A.I.; Pirozhkova, T.S.; Shuvarin, I.A.; Prymak, O.; Epple, M.; Chaikina, M.V.; Surmenev, R.A. Fabrication and physico-mechanical properties of thin magnetron sputter deposited silver-containing hydroxyapatite films. Appl. Surf. Sci. 2016, 360, 929–935. [Google Scholar] [CrossRef]
- Gui, L.; Peng, J.; Li, P.; Peng, R.; Yu, P.; Luo, Y. Electrochemical degradation of dye on TiO2 nanotube array constructed anode. Chemosphere 2019, 235, 1189–1196. [Google Scholar] [CrossRef]
- Niu, D.; Zhou, Q.; Zhu, X.; Feng, X.; Chen, S.; Wang, A.; Song, Y. Formation of TiO2 nanopetal architectures originated from anodic titanium oxide nanotubes. Chem. Phys. Lett. 2020, 759, 137950. [Google Scholar] [CrossRef]
- Jiang, Z.; Dai, X.; Middleton, H. Investigation on passivity of titanium under steady-state conditions in acidic solutions. Mater. Chem. Phys. 2011, 126, 859–865. [Google Scholar] [CrossRef]
- Jiang, Z.; Dai, X.; Norby, T.; Middleton, H. Investigation of pitting resistance of titanium based on a modified point defect model. Corros. Sci. 2011, 53, 815–821. [Google Scholar] [CrossRef]
- Aladjem, A. Anodic oxidation of titanium and its alloys. J. Mater. Sci. 1973, 8, 688–704. [Google Scholar] [CrossRef]
- Zhang, L.; Duan, Y.; Gao, R.; Yang, J.; Wei, K.; Tang, D.; Fu, T. The effect of potential on surface characteristic and corrosion resistance of anodic oxide film formed on commercial pure titanium at the potentiodynamic-aging mode. Materials 2019, 12, 370. [Google Scholar] [CrossRef] [PubMed] [Green Version]
- Liang, S.X.; Yin, L.X.; Li, J.X.; Ma, M.Z.; Liu, R.P. Isothermal oxidation behavior of the TZAV-20 alloy. Mater. Des. 2015, 86, 458–463. [Google Scholar] [CrossRef]
- Qiao, X.; Liang, S.; Yin, L.; Li, D. Microstructural evolution and mechanical properties response of the ZT40 alloy with hot rolling. World J. Eng. 2015, 12, 431–436. [Google Scholar] [CrossRef]
- Aniołek, K. Structure and properties of titanium and the Ti-6Al-7Nb alloy after isothermal oxidation. Surf. Eng. 2020, 36, 847–858. [Google Scholar] [CrossRef]
- Guleryuz, H.; Cimenoglu, H. Surface modification of a Ti–6Al–4V alloy by thermal oxidation. Surf. Coat. Technol. 2005, 192, 164–170. [Google Scholar] [CrossRef]
- Liu, M.; Wang, Z.; Shi, C.; Wang, L.; Xue, X. Corrosion and wear behavior of Ti-30Zr alloy for dental implants. Mater. Res. Express 2019, 6, 0865c8. [Google Scholar] [CrossRef]
- Singh, R.; Dureja, J.S.; Dogra, M.; Gupta, M.K.; Mia, M.; Song, Q. Wear behavior of textured tools under graphene-assisted minimum quantity lubrication system in machining Ti-6Al-4V alloy. Tribol. Int. 2020, 145, 106183. [Google Scholar] [CrossRef]
- Wang, Y.; Zou, B.; Huang, C. Tool wear mechanisms and micro-channels quality in micro-machining of Ti-6Al-4V alloy using the Ti(C7N3)-based cermet micro-mills. Tribol. Int. 2019, 134, 60–76. [Google Scholar] [CrossRef]
- Wu, H.; Baker, I.; Liu, Y.; Wu, X.; Munroe, P.R.; Zhang, J. Tribological studies of a Zr-based bulk metallic glass. Intermetallics 2013, 35, 25–32. [Google Scholar] [CrossRef]
- Bin, F.; Luo, Z.J. Finite element simulation of the friction mechanism in plastic-working technology. Wear 1988, 121, 41–51. [Google Scholar] [CrossRef]
- Babilas, D.; Urbańczyk, E.; Sowa, M.; Maciej, A.; Korotin, D.M.; Zhidkov, I.S.; Basiaga, M.; Krok-Borkowicz, M.; Szyk-Warszyńska, L.; Pamuła, E.; et al. On the electropolishing and anodic oxidation of Ti-15Mo alloy. Electrochim. Acta 2016, 205, 256–265. [Google Scholar] [CrossRef]
- Pohrelyuk, I.; Tkachuk, O.; Proskurnyak, R.; Guspiel, J.; Beltowska-Lehman, E.; Morgiel, J. Influence of regulated modification of nitride layer by oxygen on the electrochemical behavior of Ti–6Al–4V alloy in the Ringer’s solution. Mater. Corros. 2019, 70, 2320–2325. [Google Scholar] [CrossRef]
- Jáquez-Muñoz, J.M.; Gaona-Tiburcio, C.; Chacón-Nava, J.; Cabral-Miramontes, J.; Nieves-Mendoza, D.; Maldonado-Bandala, E.; Delgado, A.D.; Flores-De los Rios, J.P.; Bocchetta, P.; Almeraya-Calderón, F. Electrochemical corrosion of titanium and titanium alloys anodized in H2SO4 and H3PO4 solutions. Coatings 2022, 12, 325. [Google Scholar] [CrossRef]
- Wu, Y.; Wu, H.; Wu, L.; Xie, Z.-H.; Liu, L.; Dai, X.; Zhang, G.; Yao, W.; Li, Y.; Pan, F. Influence of electrolyte temperature on morphology and properties of composite anodic film on titanium alloy Ti-10V-2Fe-3Al. Coatings 2020, 10, 1109. [Google Scholar] [CrossRef]
- Sasireka, A.; Rajendran, R.; Raj, V. In Vitro corrosion resistance and cytocompatibility of minerals substituted apatite/biopolymers duplex coatings on anodized Ti for orthopedic implant applications. Arab. J. Chem. 2020, 13, 6312–6326. [Google Scholar] [CrossRef]
- Nascimento, D.S.; Matos, G.R.L.; Moreira, F.K.V.; Macedo, M.C.S.S.; Souza, S.A. Anodizing-induced evolution of nanostructural surface morphologies in Ti-10Mo-xSi alloys for enhanced corrosion resistance. Surf. Coat. Technol. 2019, 377, 124924. [Google Scholar] [CrossRef]
- Liu, K.Y.; Liang, S.X.; Zhou, Y.X.; Liu, X.Y.; Shi, Y.D.; Huang, G.W.; Su, H.J.; Zheng, L.Y.; Xing, Z.G. Nanocomposite coatings and electrochemical corrosion behavior of TZAV-30 titanium alloy in simulated body fluid solution. J. Mater. Eng. Perform. 2022. [Google Scholar] [CrossRef]
- Bodunrin, M.O.; Chown, L.H.; Merwe, J.W.v.d.; Alaneme, K.K.; Oganbule, C.; Klenam, D.E.P.; Mphasha, N.P. Corrosion behavior of titanium alloys in acidic and saline media: Role of alloy design, passivation integrity, and electrolyte modification. Corros. Rev. 2020, 38, 25–47. [Google Scholar] [CrossRef]
- Dias Corpa Tardelli, J.; Bolfarini, C.; Cândido dos Reis, A. Comparative analysis of corrosion resistance between beta titanium and Ti-6Al-4V alloys: A systematic review. J. Trace Elem. Med. Biol. 2020, 62, 126618. [Google Scholar] [CrossRef]
- Jones, D.A. Principals and Prevention of Corrosion, 2nd ed.; Prentice-Hall: Hoboken, NJ, USA, 1996. [Google Scholar]
- Fattah-alhosseini, A.; Molaei, M.; Babaei, K. The effects of nano- and micro-particles on properties of plasma electrolytic oxidation (PEO) coatings applied on titanium substrates: A review. Surf. Interfaces 2020, 21, 100659. [Google Scholar] [CrossRef]
- Yao, J.; Wang, Y.; Wu, G.; Sun, M.; Wang, M.; Zhang, Q. Growth characteristics and properties of micro-arc oxidation coating on SLM-produced TC4 alloy for biomedical applications. Appl. Surf. Sci. 2019, 479, 727–737. [Google Scholar] [CrossRef]







Publisher’s Note: MDPI stays neutral with regard to jurisdictional claims in published maps and institutional affiliations. |
© 2022 by the authors. Licensee MDPI, Basel, Switzerland. This article is an open access article distributed under the terms and conditions of the Creative Commons Attribution (CC BY) license (https://creativecommons.org/licenses/by/4.0/).
Share and Cite
Liu, K.; Zhou, Y.; Yin, L.; Shi, Y.; Huang, G.; Liu, X.; Zheng, L.; Xing, Z.; Zhang, X.; Liang, S. Surface Microstructure and Performance of Anodized TZ30 Alloy in SBF Solution. Metals 2022, 12, 719. https://doi.org/10.3390/met12050719
Liu K, Zhou Y, Yin L, Shi Y, Huang G, Liu X, Zheng L, Xing Z, Zhang X, Liang S. Surface Microstructure and Performance of Anodized TZ30 Alloy in SBF Solution. Metals. 2022; 12(5):719. https://doi.org/10.3390/met12050719
Chicago/Turabian StyleLiu, Kaiyang, Yixin Zhou, Lixia Yin, Yindong Shi, Guangwei Huang, Xiaoyan Liu, Liyun Zheng, Zhenguo Xing, Xiliang Zhang, and Shunxing Liang. 2022. "Surface Microstructure and Performance of Anodized TZ30 Alloy in SBF Solution" Metals 12, no. 5: 719. https://doi.org/10.3390/met12050719
APA StyleLiu, K., Zhou, Y., Yin, L., Shi, Y., Huang, G., Liu, X., Zheng, L., Xing, Z., Zhang, X., & Liang, S. (2022). Surface Microstructure and Performance of Anodized TZ30 Alloy in SBF Solution. Metals, 12(5), 719. https://doi.org/10.3390/met12050719

