Investigation on Corrosion Resistance Properties of 17-4 PH Bound Metal Deposition As-Sintered Specimens with Different Build-Up Orientations
Abstract
:1. Introduction
2. Materials and Methods
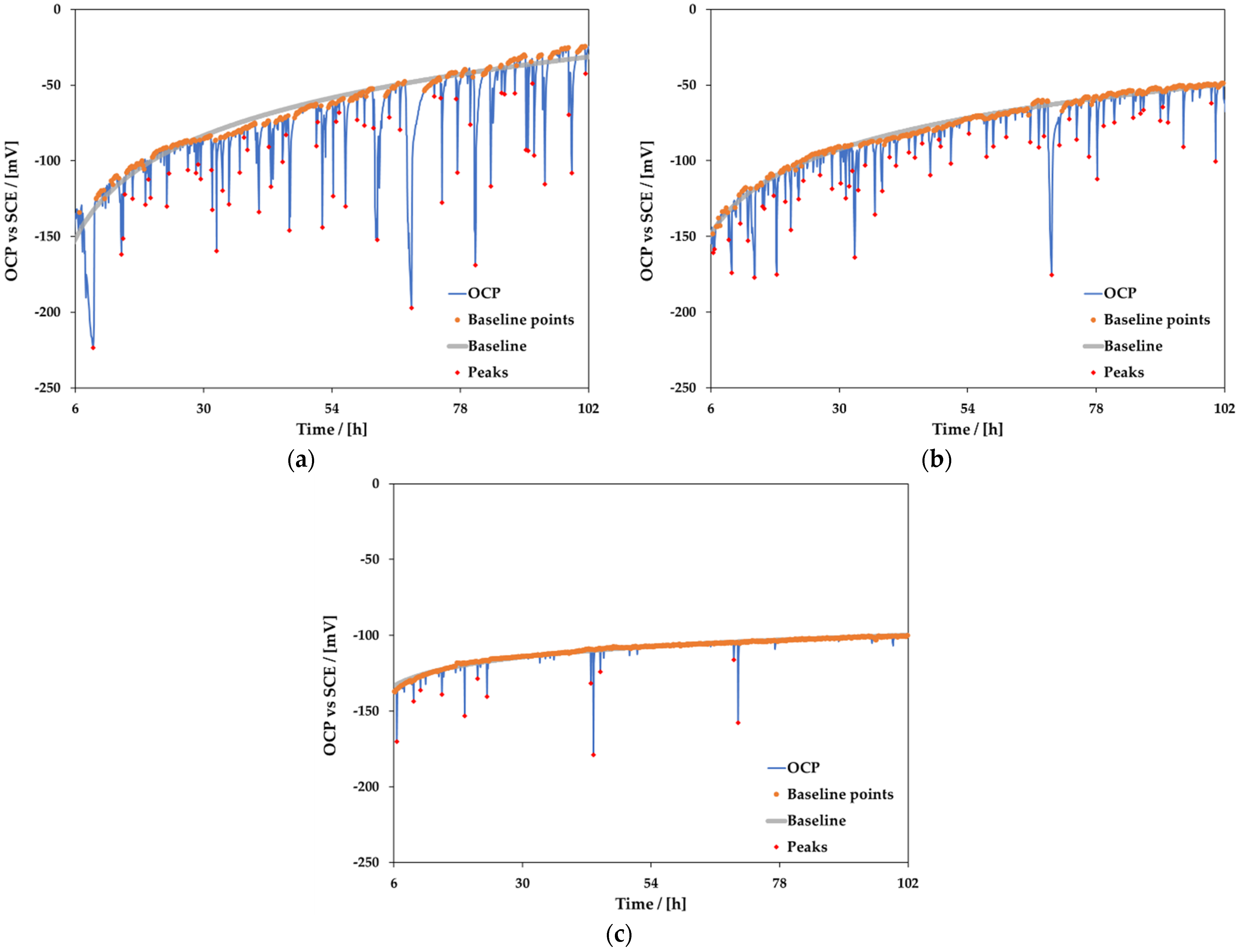
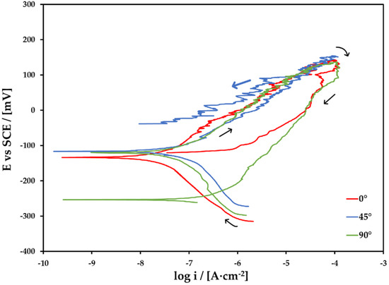
3. Results and Discussion
4. Conclusions
Author Contributions
Funding
Data Availability Statement
Acknowledgments
Conflicts of Interest
References
- Frazier, W.E. Metal additive manufacturing: A review. J. Mater. Eng. Perform. 2014, 23, 1917–1928. [Google Scholar] [CrossRef]
- Yakout, M.; Elbestawi, M.A.; Veldhuis, S.C. A review of metal additive manufacturing technologies. Solid State Phenom. 2018, 278, 1–14. [Google Scholar] [CrossRef]
- Klar, E.; Samal, P.K. Powder Metallurgy Stainless Steels: Processing, Microstructure, and Properties; ASM International: Materials Park, OH, USA, 2007. [Google Scholar] [CrossRef]
- Petzoldt, F.; Hartwig, T. Overview on binder and feedstock systems for PIM. In Proceedings of the Second European Symposium on Powder Injection Molding, Munich, Germany, 18–20 October 2000; pp. 43–50. [Google Scholar]
- Desktopmetal.com. Available online: https://www.desktopmetal.com/resources/deep-dive-bmd (accessed on 22 February 2022).
- Watson, A.; Belding, J.; Ellis, B.D. Characterization of 17-4 PH processed via bound metal deposition (BMD). In Proceedings of the TMS 2020 149th Annual Meeting & Exhibition Supplemental Proceedings, Pittsburgh, PA, USA, 12 February 2020; pp. 205–216. [Google Scholar]
- Desktop Metal. Case Study: Alpha Precision Group; Desktop Metal: Burlington, MA, USA, 2020; pp. 1–12. [Google Scholar]
- Desktop Metal. Case Study: Egar Tool & Die Ltd.; Desktop Metal: Burlington, MA, USA, 2020; pp. 1–11. [Google Scholar]
- Desktop Metal. Case Study: Innovative Plastics; Desktop Metal: Burlington, MA, USA, 2020; pp. 1–7. [Google Scholar]
- Desktop Metal. Case Study: Lumenium; Desktop Metal: Burlington, MA, USA, 2018; pp. 1–7. [Google Scholar]
- Mascerahanas, J.; Schlieper, G. High strength MIM materials. In Proceedings of the Second European Symposium on Powder Injection Molding, Munich, Germany, 18–20 October 2000. [Google Scholar]
- Torralba, J.M.; Hidalgo, J. Metal injection molding (MIM) of stainless steel. In Handbook of Metal Injection Molding; Woodhead Publishing Series in Metals and Surface Engineering; Heaney, D., Ed.; Woodhead Publishing: Cambridge, UK, 2019; pp. 409–429. [Google Scholar]
- Bellezze, T.; Giuliani, G.; Roventi, G. Study of stainless steels corrosion in a strong acid mixture. Part 1: Cyclic potentiodynamic polarization curves examined by means of an analytical method. Corros. Sci. 2018, 130, 113–125. [Google Scholar] [CrossRef]
- Bellezze, T.; Roventi, G.; Fratesi, R. Localised corrosion and cathodic protection of 17 4PH propeller shafts. Corros. Eng. Sci. Technol. 2013, 48, 340–345. [Google Scholar] [CrossRef]
- Svilar, M.; Ambs, H.D. PM Martensitic stainless steels: Processing and properties. Adv. Powder Metall. Part. Mater. 1990, 2, 259–272. [Google Scholar]
- Reinshagen, J.H.; Witsberger, J.C. Properties of precipitation hardening stainless steel produced by conventional powder metallurgy. Adv. Powder Metall. Part. Mater. 1994, 7, 7–339. [Google Scholar]
- Costa, I.; Franco, C.V.; Kunioshi, C.T.; Rossi, J.L. Corrosion resistance of injection-molded 17-4PH steel in sodium chloride solution. Corrosion 2006, 62, 357–365. [Google Scholar] [CrossRef]
- Reinshagen, J.; Neupaver, A. Principles of atomization. Phys. Chem. Powder Met. Prod. Process. 1989, 16. Available online: https://www.beyonddiscovery.org/powder-metallurgy/references-mtj.html (accessed on 22 February 2022).
- Ro, D.H.; Klar, E. Corrosion behavior of P/M austenitic stainless steels. Mod. Dev. Powder Metall. 1980, 13, 247–287. [Google Scholar]
- Larsen, R.M.; Thorsen, K.A. Removal of oxygen and carbon during sintering of austenitic stainless steels. In Proceedings of the PM World Congress, Kyoto, Japan, 12–15 July 1993. [Google Scholar]
- Ferris, D.P. Surface analysis of steel powders by ESCA. Int. J. Powder Met. Powder Technol. 1983, 19, 11–19. [Google Scholar]
- Klar, E.; Samal, P.K. Effect of density and sintering variables on the corrosion resistance of austenitic stainless steels. Adv. Powder Metall. Part. Mater. 1995, 11, 3–17. [Google Scholar]
- Lei, G.H.; German, R.M. Corrosion of sintered stainless steels in a sodium chloride solution. Mod. Dev. Powder Metall. 1985, 16, 261–275. [Google Scholar]
- Nyborg, I.; Tunberg, T.; Wang, P.X. Surface product formation during water atomization and sintering of austenitic stainless steel powder. Met. Powder Rep. 1990, 45, 750–753. [Google Scholar] [CrossRef]
- Maahn, E.; Jensen, S.K.; Larsen, R.M.; Mathiesen, T. Factors affecting the corrosion resistance of sintered stainless steel. Adv. Powder Metall. Part. Mater. 1994, 7, 253–271. [Google Scholar]
- Jones, F.M.F. The effect of processing variables on the properties of type 316L powder compacts. Prog. Powder Metall. 1970, 30, 25–50. [Google Scholar]
- Lei, G.; German, R.L.; Nayar, H.S. Corrosion control in sintered austenitic stainless steels. Prog. Powder Metall. 1983, 39, 391–410. [Google Scholar]
- Maahn, E.; Mathiesen, T. Corrosion properties of sintered stainless steel. In Proceedings of the U.K. Corrosion ’91, Manchester, UK, 22–24 October 1991. [Google Scholar]
- Dautzenberg, G.; Gesell, H. Production technique and properties of austenitic Cr-Ni stainless steel powders. Powder Met. Int. 1976, 8, 14–17. [Google Scholar]
- Ashurst, A.; Klar, E. Mercury porosimetry. Powder Metall. Met. Handb. 1984, 7, 266–271. [Google Scholar]
- Klar, E. Relationship between pore characterization and compacting properties of copper powders. J. Mater. 1972, 7, 418–424. [Google Scholar]
- Pao, M.A.; Klar, E. Corrosion phenomena in regular and tin-modified P/M stainless steels. Prog. Powder Metall. 1984, 39, 431–444. [Google Scholar]
- Samal, P.K.; Klar, E. Effect of sintering atmosphere on corrosion resistance and mechanical properties of austenitic stainless steels—Part I. Adv. Powder Metall. Part. Mater. 1997, 2, 14–55. [Google Scholar]
- Raghu, T.; Malhotra, S.N.; Ramakrishnan, P. Corrosion behavior of porous sintered type 316L austenitic stainless steel in 3% NaCl solution. Corrosion 1989, 45, 698–704. [Google Scholar] [CrossRef]
- Fontana, M.G.; Greene, N.D. Corrosion Engineering, 2nd ed.; McGraw-Hill Book Co.: New York, NY, USA, 1978. [Google Scholar]
- Wilde, B.E. Influence of silicon on the pitting corrosion resistance of an 18Cr-8Ni stainless steel. Corrosion 1986, 42, 147–151. [Google Scholar] [CrossRef]
- Bellezze, T.; Roventi, G.; Quaranta, A.; Fratesi, R. Improvement of pitting corrosion resistance of AISI 444 stainless steel to make it a possible substitute for AISI 304L and 316L in hot natural waters. Mater. Corros. 2008, 59, 727–731. [Google Scholar] [CrossRef]










| % C | % Si | % Mn | % Cr | % Ni | % Al | % Cu | % Nb + Ta | |
|---|---|---|---|---|---|---|---|---|
| 17-4 PH BMD | 0.03 | 2.09 | 0.45 | 16.9 | 4.62 | 0.01 | 1.71 | // |
| Desktop Metal reference values | 0.07 (max) | // 1 | <1.0 | 15.5–17.5 | 3–5 | // 1 | 3–5 | 0.15–0.45 |
| % O | % Si | % C | % Fe | % Cr | % Cu | % Ni |
|---|---|---|---|---|---|---|
| 51.6 | 26.0 | 14.5 | 5.26 | 2.2 | 0.4 | 0.1 |
| Build-Up Orientation | Ecorr [mV] | σ | icorr (Tafel Fit) [µA·cm−2] | σ | icorr (Extrapolation) [µA·cm−2] | σ |
|---|---|---|---|---|---|---|
| 0° | −124 | 10 | 0.044 | 0.004 | 0.030 | 0.006 |
| 45° | −126 | 9 | 0.119 | 0.004 | 0.105 | 0.008 |
| 90° | −137 | 17 | 0.146 | 0.036 | 0.090 | 0.048 |
| Sample | Total Number of Drops | σ | Cumulative Time Width [h] | σ | Cumulative Intensity [mV·h] | σ |
|---|---|---|---|---|---|---|
| 0° | 65 | 3.5 | 24.15 | 1.73 | 965.2 | 92.5 |
| 45° | 65 | 4.5 | 15.79 | 2.87 | 420.4 | 133.5 |
| Wrought | 9 | 3 | 0.83 | 0.25 | 11.5 | 4.0 |
Publisher’s Note: MDPI stays neutral with regard to jurisdictional claims in published maps and institutional affiliations. |
© 2022 by the authors. Licensee MDPI, Basel, Switzerland. This article is an open access article distributed under the terms and conditions of the Creative Commons Attribution (CC BY) license (https://creativecommons.org/licenses/by/4.0/).
Share and Cite
Forcellese, P.; Mancia, T.; Simoncini, M.; Bellezze, T. Investigation on Corrosion Resistance Properties of 17-4 PH Bound Metal Deposition As-Sintered Specimens with Different Build-Up Orientations. Metals 2022, 12, 588. https://doi.org/10.3390/met12040588
Forcellese P, Mancia T, Simoncini M, Bellezze T. Investigation on Corrosion Resistance Properties of 17-4 PH Bound Metal Deposition As-Sintered Specimens with Different Build-Up Orientations. Metals. 2022; 12(4):588. https://doi.org/10.3390/met12040588
Chicago/Turabian StyleForcellese, Pietro, Tommaso Mancia, Michela Simoncini, and Tiziano Bellezze. 2022. "Investigation on Corrosion Resistance Properties of 17-4 PH Bound Metal Deposition As-Sintered Specimens with Different Build-Up Orientations" Metals 12, no. 4: 588. https://doi.org/10.3390/met12040588
APA StyleForcellese, P., Mancia, T., Simoncini, M., & Bellezze, T. (2022). Investigation on Corrosion Resistance Properties of 17-4 PH Bound Metal Deposition As-Sintered Specimens with Different Build-Up Orientations. Metals, 12(4), 588. https://doi.org/10.3390/met12040588

