Martensitic Transformation and Barocaloric Effect in Co-V-Ga-Fe Paramagnetic Heusler Alloy
Abstract
:1. Introduction
2. Experimental Method
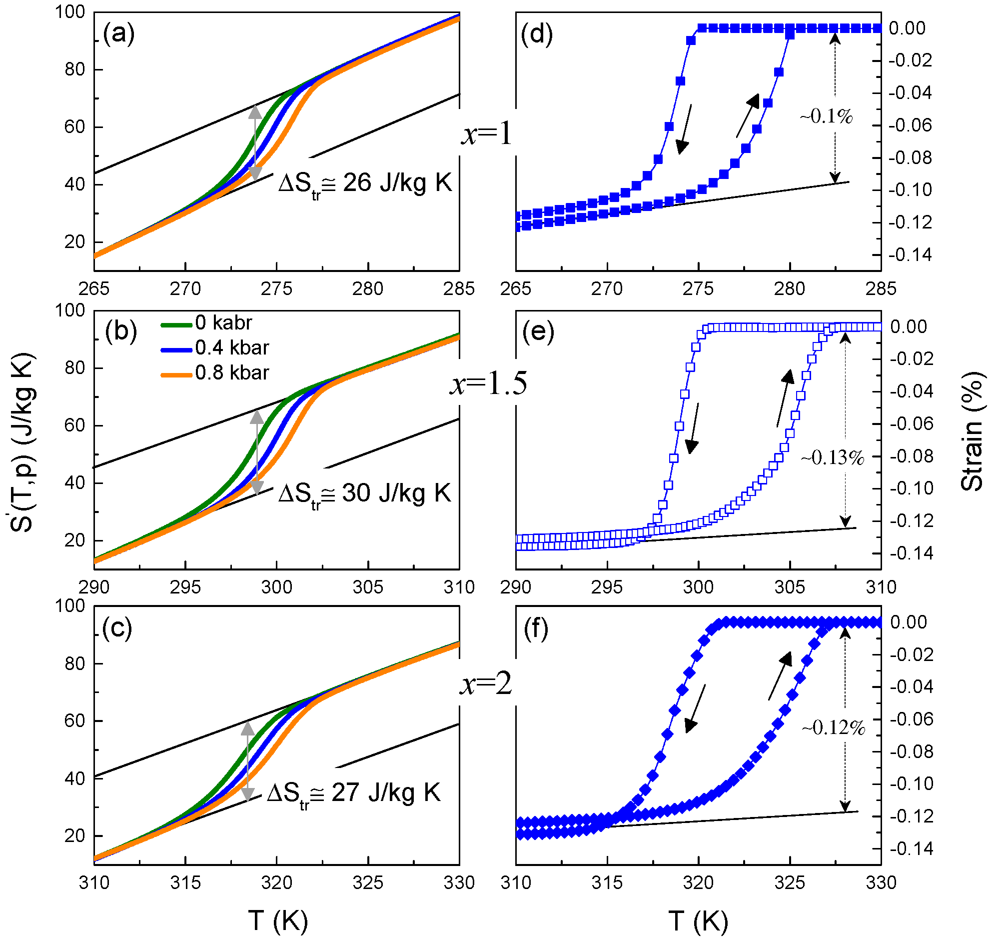
3. Results and Discussion
4. Conclusions
Author Contributions
Funding
Data Availability Statement
Acknowledgments
Conflicts of Interest
References
- Moya, X.; Kar-Narayan, S.; Mathur, N.D. Caloric materials near ferroic phase transitions. Nat. Mater. 2014, 13, 439–450. [Google Scholar] [CrossRef] [PubMed]
- Mañosa, L.; Planes, A. Materials with Giant Mechanocaloric Effects: Cooling by Strength. Adv. Mater. 2017, 29, 1603607. [Google Scholar] [CrossRef]
- Mañosa, L.; González-Alonso, D.; Planes, A.; Bonnot, E.; Barrio, M.; Tamarit, J.L.; Aksoy, S.; Acet, M. Giant solid-state barocaloric effect in the Ni–Mn–In magnetic shape-memory alloy. Nat. Mater. 2010, 9, 478–481. [Google Scholar] [CrossRef] [PubMed] [Green Version]
- Stern-Taulats, E.; Planes, A.; Lloveras, P.; Barrio, M.; Tamarit, J.L.; Pramanick, S.; Majumdar, S.; Yüce, S.; Emre, B.; Frontera, C.; et al. Tailoring barocaloric and magnetocaloric properties in low-hysteresis magnetic shape memory alloys. Acta Mater. 2015, 96, 324–332. [Google Scholar] [CrossRef] [Green Version]
- He, X.J.; Xu, K.; Wei, S.X.; Zhang, Y.L.; Li, Z.; Jing, C. Barocaloric effect associated with magneto-structural transformation studied by an effectively indirect method for the Ni58.3Mn17.1Ga24.6 Heusler alloy. J. Mater. Sci. 2017, 52, 2915–2923. [Google Scholar] [CrossRef]
- He, X.J.; Kang, Y.R.; Wei, S.X.; Zhang, Y.L.; Cao, Y.M.; Xu, K.; Li, Z.; Jing, C.; Li, Z.B. A large barocaloric effect and its reversible behavior with an enhanced relative volume change for Ni42.3Co7.9Mn38.8Sn11 Heusler alloy. J. Alloys Compd. 2018, 741, 821–825. [Google Scholar] [CrossRef]
- Wei, X.Y.; Shen, Y.; Zhang, Z.; Guo, J.P.; Li, B.; Liu, E.K.; Zhang, Z.D.; Liu, J. Low-pressure-induced giant barocaloric effect in an all-d-metal Heusler Ni35.5Co14.5Mn35Ti15 magnetic shape memory alloy. APL Mater. 2020, 8, 051101. [Google Scholar] [CrossRef]
- Mañosa, L.; González-Alonso, D.; Planes, A.; Barrio, M.; Tamarit, J.L.; Titov, I.S.; Acet, M.; Bhattacharyya, A.; Majumdar, S. Inverse barocaloric effect in the giant magnetocaloric La–Fe–Si–Co compound. Nat. Commun. 2011, 2, 595. [Google Scholar] [CrossRef]
- Yuce, S.; Barrio, M.; Emre, B.; Stern-Taulats, E.; Planes, A.; Tamarit, J.L.; Mudryk, Y.; Gschneidner, K.A., Jr.; Pecharsky, V.K.; Mañosa, L. Barocaloric effect in the magnetocaloric prototype Gd5Si2Ge2. Appl. Phys. Lett. 2012, 101, 071906. [Google Scholar] [CrossRef]
- De Oliveira, N.A. Giant magnetocaloric and barocaloric effects in R5Si2Ge2(R = Tb, Gd). J. Appl. Phys. 2013, 113, 033910. [Google Scholar] [CrossRef]
- Matsunami, D.; Fujita, A.; Takenaka, K.; Kano, M. Giant barocaloric effect enhanced by the frustration of the antiferromagnetic phase in Mn3GaN. Nat. Mater. 2014, 14, 73–78. [Google Scholar] [CrossRef] [PubMed]
- Wu, R.R.; Bao, L.F.; Hu, F.X.; Wu, H.; Huang, Q.Z.; Wang, J.; Dong, X.L.; Li, G.N.; Sun, J.R.; Shen, F.R.; et al. Giant barocaloric effect in hexagonal Ni2In-type Mn-Co-Ge-In compounds around room temperature. Sci. Rep. 2015, 5, 18027. [Google Scholar] [CrossRef] [PubMed]
- Aznar, A.; Lloveras, P.; Kim, J.Y.; Stern-Taulats, E.; Barrio, M.; Tamarit, J.L.; Sánchez-Valdé, C.F.; Luis Sánchez Llamazares, J.; Mathur, N.D.; Moya, X. Giant and Reversible Inverse Barocaloric Effects near Room Temperature in Ferromagnetic MnCoGeB0.03. Adv. Mater. 2019, 31, 1903577. [Google Scholar] [CrossRef] [PubMed] [Green Version]
- Kuang, Y.F.; Qi, J.; Xu, H.J.; Yang, B.; Li, B.; Li, Z.B.; Yan, H.L.; Zhang, Y.D.; Esling, C.; Zhao, X.; et al. Low-pressure-induced large reversible barocaloric effect near room temperature in (MnNiGe)-(FeCoGe) alloys. Scr. Mater. 2021, 200, 113908. [Google Scholar] [CrossRef]
- Stern-Taulats, E.; Lloveras, P.; Barrio, M.; Defay, E.; Egilmez, M.; Planes, A.; Tamarit, J.L.; Mañosa, L.; Mathur, N.D.; Moya, X. Inverse barocaloric effects in ferroelectric BaTiO3 ceramics. APL Mater. 2016, 4, 091102. [Google Scholar] [CrossRef] [Green Version]
- Mikhaleva, E.A.; Flerov, I.N.; Gorev, M.V.; Molokeev, M.S.; Cherepakhin, A.V.; Kartashev, A.V.; Mikhashenok, N.V.; Sablina, K.A. Caloric Characteristics of PbTiO3 in the Temperature Range of the Ferroelectric Phase Transition. Phys. Sol. State 2012, 54, 1719. [Google Scholar] [CrossRef]
- Aznar, A.; Lloveras, P.; Romanini, M.; Barrio, M.; Tamarit, J.L.; Cazorla, C.; Errandonea, D.; Mathur, N.D.; Planes, A.; Moya, X.; et al. Giant barocaloric effects over a wide temperature range in superionic conductor AgI. Nat. Commun. 2017, 8, 1851. [Google Scholar] [CrossRef]
- Bermúdez-García, J.M.; Sánchez-Andújar, M.; Castro-García, S.; López-Beceiro, J.; Artiaga, R.; Señarís-Rodríguez, M.A. Giant barocaloric effect in the ferroic organic-inorganic hybrid [TPrA][Mn(dca)3] perovskite under easily accessible pressures. Nat. Commun. 2017, 8, 15715. [Google Scholar] [CrossRef] [Green Version]
- Li, B.; Kawakita, Y.; Ohira-Kawamura, S.; Sugahara, T.; Wang, H.; Wang, J.F.; Chen, Y.N.; Kawaguchi, S.; Kawaguchi, S.; Ohara, K.; et al. Colossal barocaloric effects in plastic crystals. Nature 2019, 567, 506–510. [Google Scholar] [CrossRef]
- Lloveras, P.; Aznar, A.; Barrio, M.; Negrier, P.; Popescu, C.; Planes, A.; Mañosa, L.; Stern-Taulats, E.; Avramenko, A.; Mathur, N.D.; et al. Colossal barocaloric effects near room temperature in plastic crystals of neopentylglycol. Nat. Commun. 2019, 10, 1803. [Google Scholar] [CrossRef]
- Kübler, J.; Fecher, G.H.; Felser, C. Understanding the trend in the Curie temperatures of Co2-based Heusler compounds: Ab initio calculations. Phys. Rev. B 2007, 76, 024414. [Google Scholar] [CrossRef]
- Kanomata, T.; Chieda, Y.; Endo, K.; Okada, H.; Nagasako, M.; Kobayashi, K.; Kainuma, R.; Umetsu, R.Y.; Takahashi, H.; Furutani, Y.; et al. Magnetic properties of the half-metallic Heusler alloys Co2VAl and Co2VGa under pressure. Phys. Rev. B. 2010, 82, 144415. [Google Scholar] [CrossRef]
- Xu, X.; Nagashima, A.; Nagasako, M.; Omori, T.; Kanomata, T.; Kainuma, R. Martensitic transformation and phase diagram in ternary Co-V-Ga Heusler alloys. Appl. Phys. Lett. 2017, 110, 121906. [Google Scholar] [CrossRef]
- Liu, C.Q.; Li, Z.; Zhang, Y.L.; Huang, Y.S.L.; Ye, M.F.; Sun, X.D.; Zhang, G.J.; Cao, Y.M.; Xu, K.; Jing, C. Realization of metamagnetic martensitic transformation with multifunctional properties in Co50V34Ga16 Heusler alloy. Appl. Phys. Lett. 2018, 112, 211903. [Google Scholar] [CrossRef]
- Liu, K.; Ma, S.C.; Zhang, Y.X.; Zeng, H.; Yu, G.; Luo, X.H.; Chen, C.C.; Rehman, S.U.; Hu, Y.F.; Zhong, Z.C. Magnetic-field-driven reverse martensitic transformation with multiple magneto-responsive effects by manipulating magnetic ordering in Fe-doped Co-V-Ga Heusler alloys. J. Mater. Sci. Technol. 2020, 58, 145–154. [Google Scholar] [CrossRef]
- Liu, H.W.; Li, Z.; Zhang, Y.L.; Ni, Z.T.; Xu, K.; Liu, Y.S. A large barocaloric effect associated with paramagnetic martensitic transformation in Co50Fe2.5V31.5Ga16 quaternary Heusler alloy. Scr. Mater. 2020, 177, 1–5. [Google Scholar] [CrossRef]
- Liu, K.; Zeng, H.; Qi, J.; Luo, X.H.; Zhao, X.W.; Zheng, X.M.; Yuan, Y.; Chen, C.C.; Ma, S.C.; Xie, R.; et al. Microstructure and giant barocaloric effect induced by low pressure in Heusler Co51Fe1V33Ga15 alloy undergoing martensitic transformation. J. Mater. Sci. Technol. 2021, 73, 76–82. [Google Scholar] [CrossRef]
- Rodriguez-Carvajal, J. Recent advances in magnetic structure determination by neutron powder diffraction. Physica B 1993, 192, 55–69. [Google Scholar] [CrossRef]
- Khoi, L.D.; Veillet, P.; Campbell, I.A. Hyperfine fields and magnetic interactions in Heusler alloys. J. Phys. F Met. Phys. 1978, 8, 1811–1825. [Google Scholar] [CrossRef]
- Burch, T.J.; Litrenta, T.; Budnick, J.I. Hyperfine Studies of Site Occupation in Ternary Systems. Phys. Rev. Lett. 1974, 33, 421–424. [Google Scholar] [CrossRef]
- Ni, Z.T.; Li, Z.; Cao, Y.M.; Liu, H.W.; Zhang, Y.L.; Xu, K.; Liu, Y.S. Influence of hydrostatic pressure on martensitic transformation and strain behavior for Co52V29+xGa19-x Heusler alloys. J. Mater. Sci. 2021, 55, 8317–8324. [Google Scholar] [CrossRef]
- Qian, Y.T.; Wu, M.; Yu, L.T.; Liu, H.W.; Si, X.D.; Luo, X.J.; Li, Z.; Cai, C.B.; Liu, Y.S. Griffiths phase and spontaneous magnetization in polycrystalline Co50V34Ga16 alloy. J. Alloys Compd. 2018, 741, 821–825. [Google Scholar] [CrossRef]
- Zhang, Y.L.; He, X.J.; Li, Z.; Xu, K.; Liu, C.Q.; Huang, Y.S.; Jing, C. Electrical transport properties and giant baroresistance effect at martensitic transformation of Ni43.7Fe5.3Mn35.4In15.6 Heusler alloy. Appl. Phys. Lett. 2018, 112, 182402. [Google Scholar] [CrossRef]
- Pecharsky, V.K.; Gschneidner, K.A. Giant Magnetocaloric Effect in Gd5(Si2Ge2). Phys. Rev. Lett. 1997, 78, 4494–4497. [Google Scholar] [CrossRef]
- Wade, H.; Tanabe, Y. Giant magnetocaloric effect of MnAs1-xSbx. Appl. Phys. Lett. 2001, 79, 3302–3304. [Google Scholar] [CrossRef]
- Tegus, O.; Brück, E.; Buschow, K.H.J.; de Boer, F.R. Transition-metal-based magnetic refrigerants for room-temperature applications. Nature 2002, 415, 150–152. [Google Scholar] [CrossRef]
- Shamberger, P.J.; Ohuchi, F.S. Hysteresis of the martensitic phase transition in magnetocaloric effect Ni-Mn-Sn alloys. Phys. Rev. B 2009, 79, 144407. [Google Scholar] [CrossRef]
- Tao, K.; Song, W.H.; Lin, J.C.; Zhang, X.K.; Tong, P.; Zhang, Z.; Qi, J.; Li, B.; Ling, L.S.; Ma, L.; et al. Giant reversible barocaloric effect with low hysteresis in antiperovskite PdNMn3 compound. Scr. Mater. 2021, 203, 114049. [Google Scholar] [CrossRef]
- Aznar, A.; Gràcia-Condal, A.; Planes, A.; Lloveras, P.; Barrio, M.; Tamarit, J.L.; Xiong, W.X.; Cong, D.Y.; Popescu, C.; Mañosa, L. Giant barocaloric effect in all-d-metal Heusler shape memory alloys. Phys. Rev. Mater. 2019, 3, 044406. [Google Scholar] [CrossRef] [Green Version]






| x | e/a | (K) | (K) | (K) | (K) | (K) | (K) | (K) |
|---|---|---|---|---|---|---|---|---|
| 1 | 6.73 | 276 | 269 | 275 | 282 | 6 | 274 | 279 |
| 1.5 | 6.755 | 302 | 295 | 301 | 309 | 6.5 | 299 | 306 |
| 2 | 6.78 | 321 | 313 | 319 | 328 | 6.5 | 318 | 324 |
Publisher’s Note: MDPI stays neutral with regard to jurisdictional claims in published maps and institutional affiliations. |
© 2022 by the authors. Licensee MDPI, Basel, Switzerland. This article is an open access article distributed under the terms and conditions of the Creative Commons Attribution (CC BY) license (https://creativecommons.org/licenses/by/4.0/).
Share and Cite
Liu, J.; Li, Z.; Liu, H.; Yu, L.; Zhang, Y.; Cao, Y.; Xu, K.; Liu, Y. Martensitic Transformation and Barocaloric Effect in Co-V-Ga-Fe Paramagnetic Heusler Alloy. Metals 2022, 12, 516. https://doi.org/10.3390/met12030516
Liu J, Li Z, Liu H, Yu L, Zhang Y, Cao Y, Xu K, Liu Y. Martensitic Transformation and Barocaloric Effect in Co-V-Ga-Fe Paramagnetic Heusler Alloy. Metals. 2022; 12(3):516. https://doi.org/10.3390/met12030516
Chicago/Turabian StyleLiu, Jie, Zhe Li, Hongwei Liu, Litao Yu, Yuanlei Zhang, Yiming Cao, Kun Xu, and Yongsheng Liu. 2022. "Martensitic Transformation and Barocaloric Effect in Co-V-Ga-Fe Paramagnetic Heusler Alloy" Metals 12, no. 3: 516. https://doi.org/10.3390/met12030516
APA StyleLiu, J., Li, Z., Liu, H., Yu, L., Zhang, Y., Cao, Y., Xu, K., & Liu, Y. (2022). Martensitic Transformation and Barocaloric Effect in Co-V-Ga-Fe Paramagnetic Heusler Alloy. Metals, 12(3), 516. https://doi.org/10.3390/met12030516

