Mixed Oxide Electrodes Based on Ruthenium and Copper: Electrochemical Properties as a Function of the Composition and Method of Manufacture
Abstract
:1. Introduction
2. Materials and Methods
2.1. Chemicals and Materials
2.2. Electrode Preparation
2.3. Electrode Characterization
3. Results and Discussion
3.1. Surface Morphology
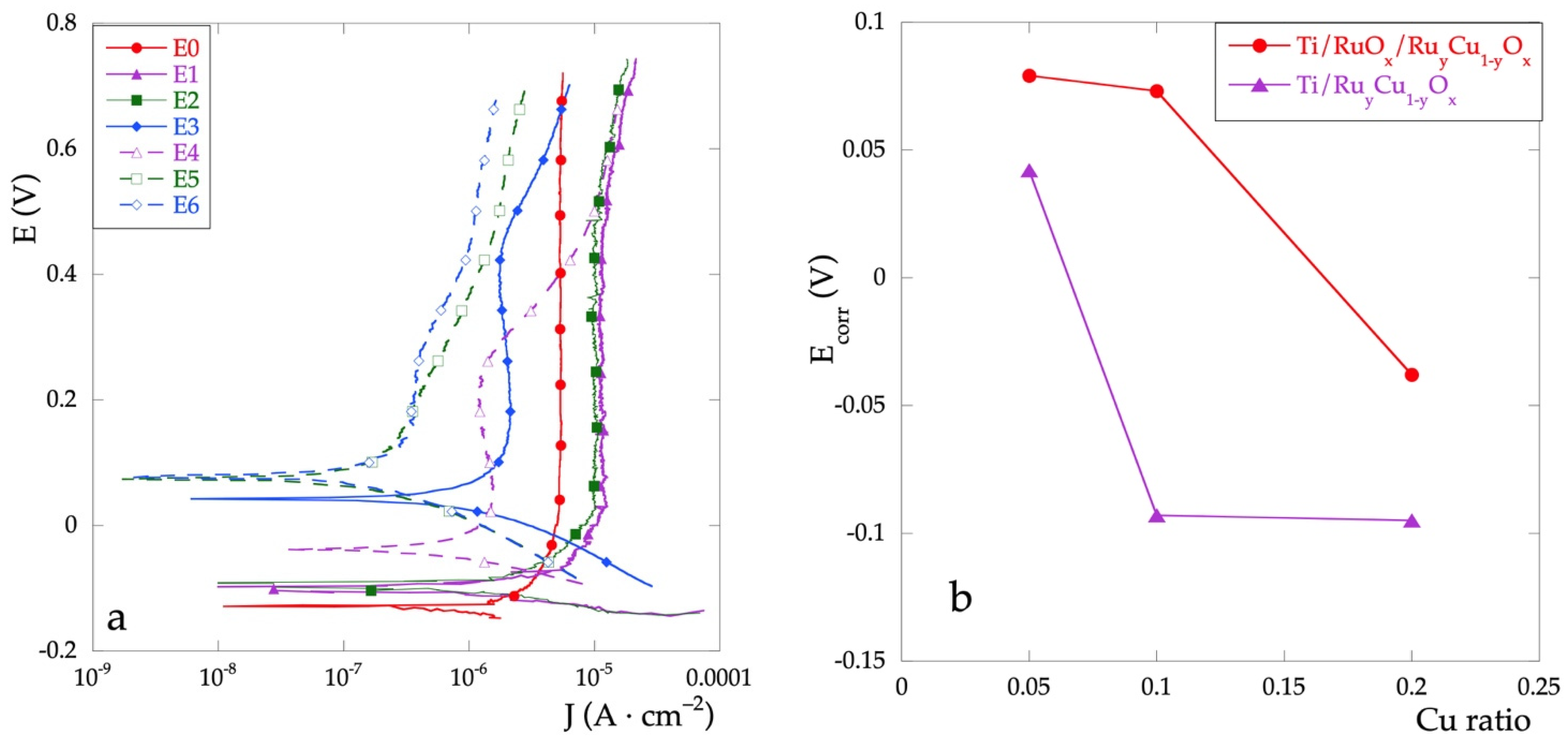
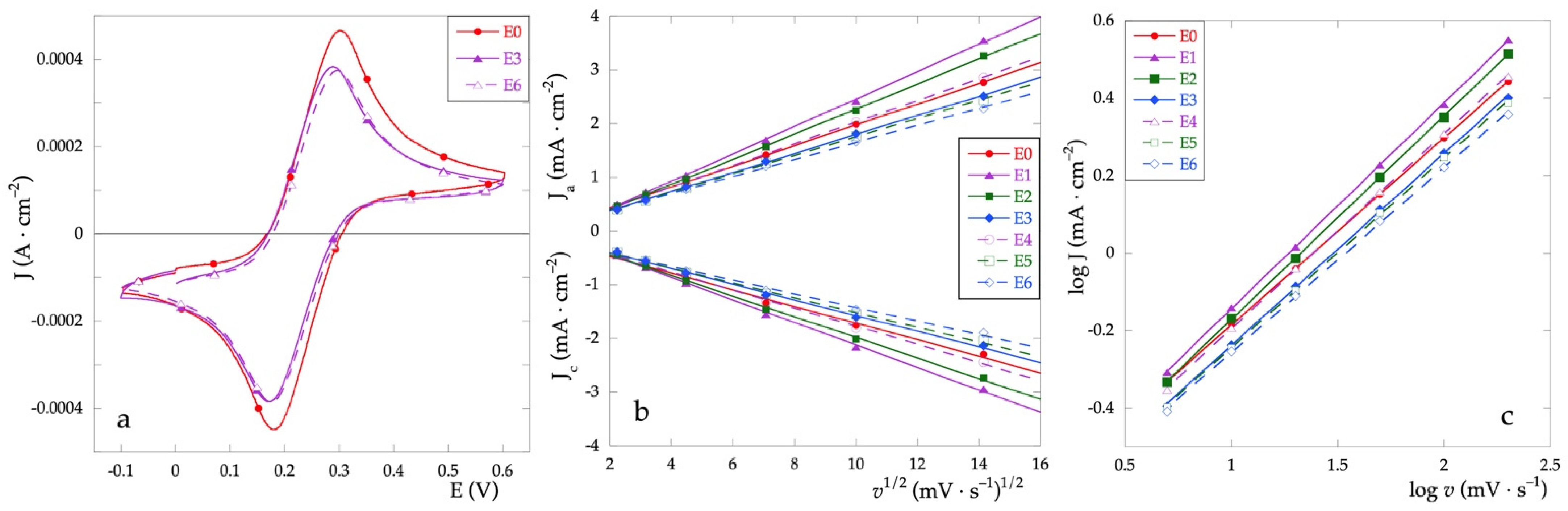
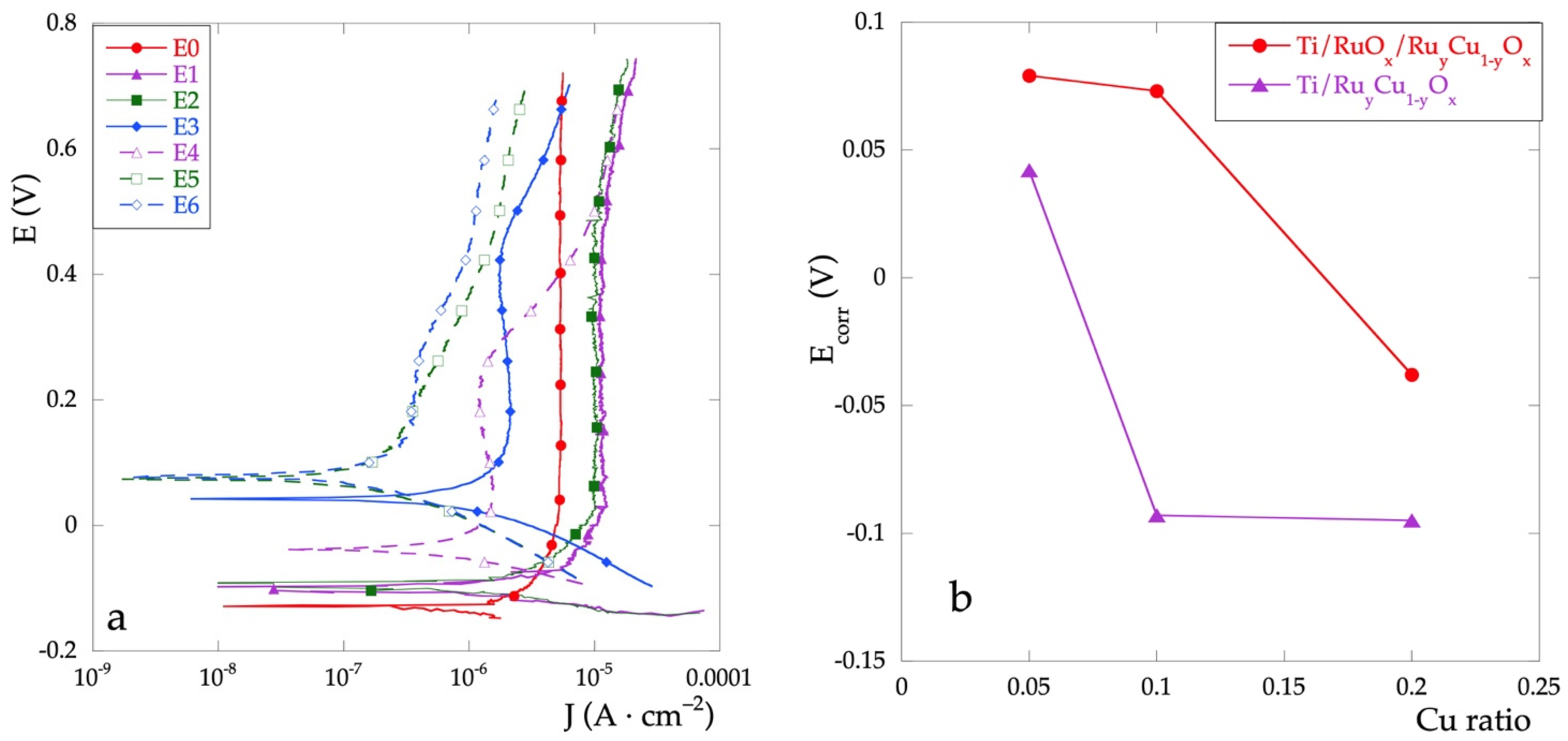
3.2. Corrosion Properties
3.3. EIS Measurements
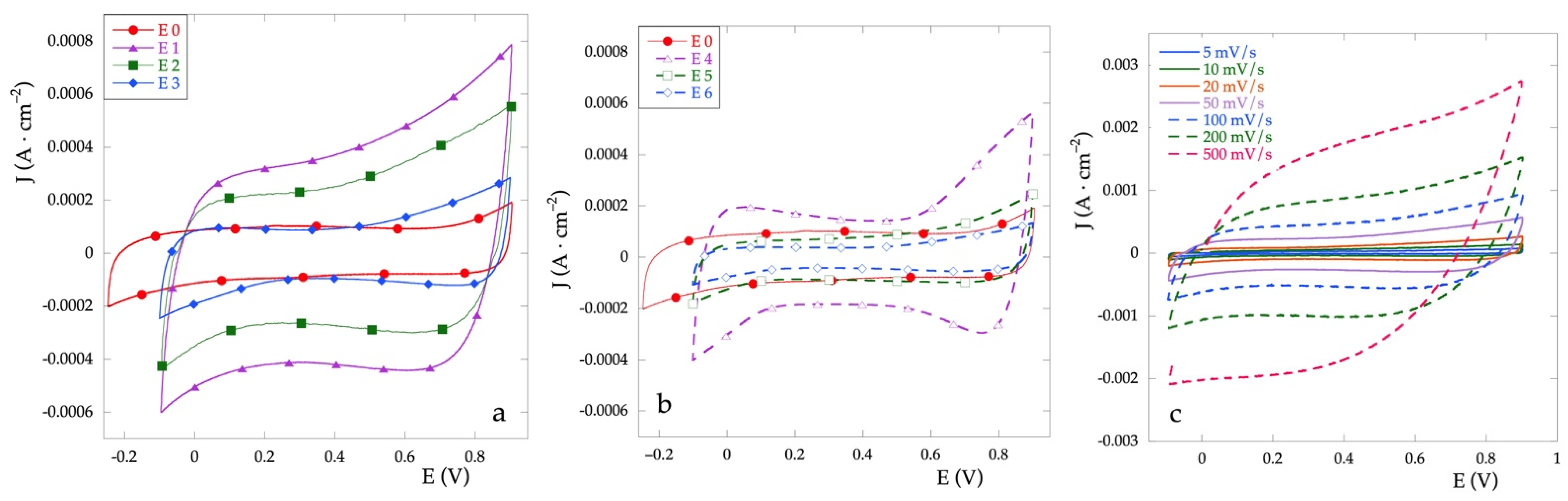
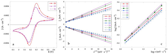
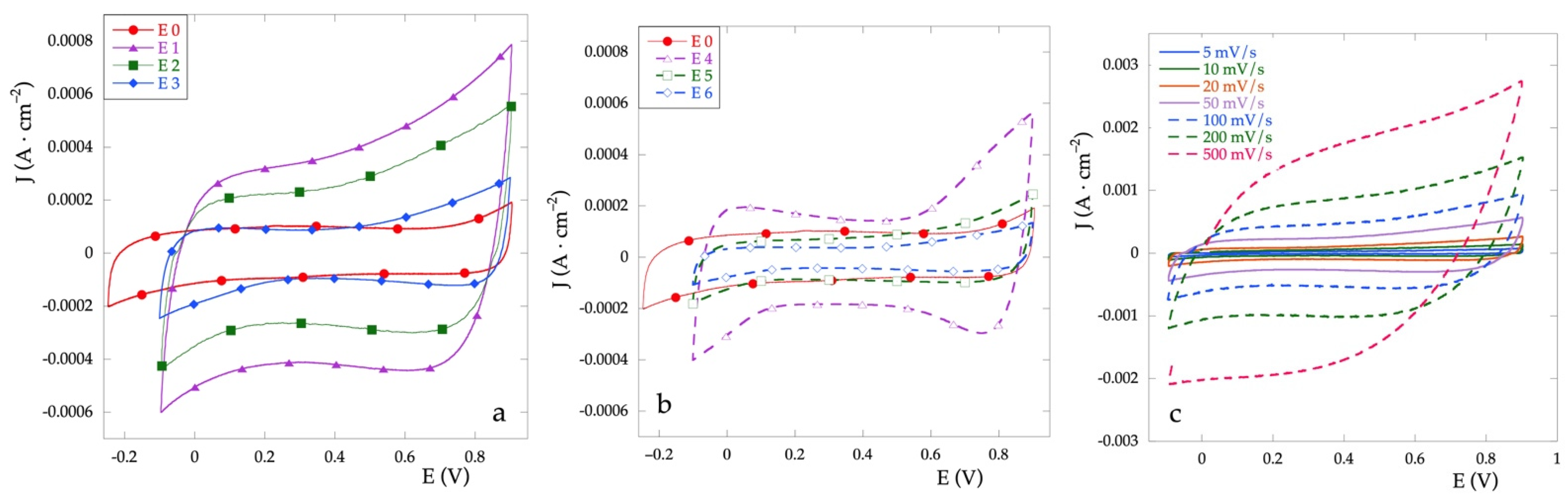
3.4. Cyclic Voltammetries in Na2SO4
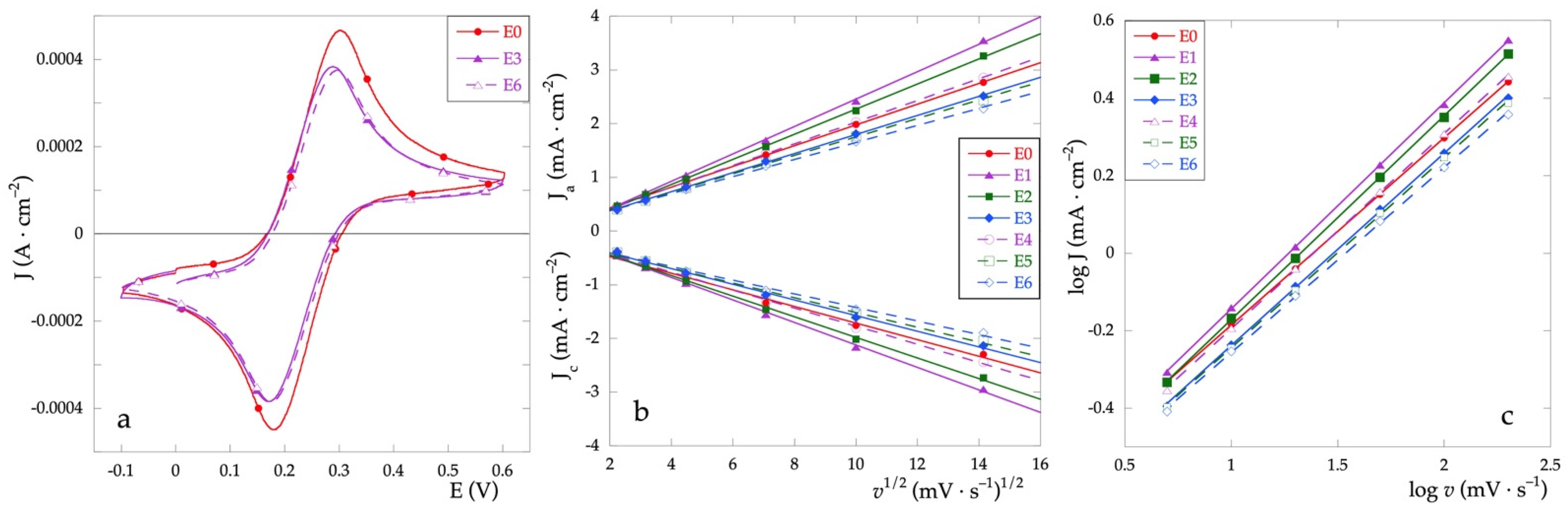
3.5. Cyclic Voltammetries in Na2SO4 and Fe+2/Fe+3
3.6. Anodic Polarization Curves
4. Conclusions
Supplementary Materials
Author Contributions
Funding
Data Availability Statement
Conflicts of Interest
References
- Anpo, M.; Dohshi, S.; Kitano, M.; Hu, Y.; Takeuchi, M.; Matsuoka, M. The preparation and characterization of highly efficient titanium oxide–based photofunctional materials. Annu. Rev. Mater. Res. 2005, 35, 1–27. [Google Scholar] [CrossRef]
- De Santis, S.; Rossi, E.; Sebastiani, M.; Sennato, S.; Bemporad, E.; Orsini, M. A Nanoindentation Approach for Time-Dependent Evaluation of Surface Free Energy in Micro- and Nano-Structured Titanium. Materials 2022, 15, 287. [Google Scholar] [CrossRef] [PubMed]
- Liang, S.; Wang, X.; Cheng, Y.J.; Xia, Y.; Müller-Buschbaumad, P. Anatase titanium dioxide as rechargeable ion battery electrode-A chronological review. Energy Storage Mater. 2022, 45, 201–264. [Google Scholar] [CrossRef]
- Fujishima, A.; Rao, T.N.; Tryk, D.A. Titanium dioxide photocatalysis. J. Photochem. Photobiol. C Photochem. Rev. 2000, 1, 1–21. [Google Scholar] [CrossRef]
- De Santis, S.; Sotgiu, G.; Porcelli, F.; Marsotto, M.; Iucci, G.; Orsini, M. A Simple Cerium Coating Strategy for Titanium Oxide Nano-tubes’ Bioactivity Enhancement. Nanomaterials 2021, 11, 445. [Google Scholar] [CrossRef] [PubMed]
- Battocchio, C.; Concolato, S.; De Santis, S.; Fahlman, M.; Iucci, G.; Santi, M.; Sotgiu, G.; Orsini, M. Chitosan functionalization of titanium and Ti6Al4V alloy with chloroacetic acid as linker agent. Mater. Sci. Eng. C 2019, 99, 1133–1140. [Google Scholar] [CrossRef]
- Trasatti, S. Electrocatalysis: Understanding the success of DSA®. Electrochim. Acta 2000, 45, 2377–2385. [Google Scholar] [CrossRef]
- Sotgiu, G.; Orsini, M.; De Santis, S.; Porcelli, F.; Petrucci, E. Effect on Durability and Electrochemical Response of the Addition of a Non-noble Transition Metal in Mixed Ruthenium and Manganese Oxide Thin-film Electrodes. Chem. Eng. Trans. 2021, 86, 1393–1398. [Google Scholar] [CrossRef]
- Petrucci, E.; Orsini, M.; Porcelli, F.; De Santis, S.; Sotgiu, G. Effect of Spin Coating Parameters on the Electrochemical Properties of Ruthenium Oxide Thin Films. Electrochem 2021, 2, 83–94. [Google Scholar] [CrossRef]
- Majumdar, D.; Maiyalagan, T.; Jiang, Z. Review on Recent Progress in Ruthenium Oxide-based Composites for Supercapacitor Applications. ChemElectroChem 2019, 6, 4343–4372. [Google Scholar] [CrossRef]
- Cao, K.; Jin, T.; Yang, L.; Jiao, L. Recent progress in conversion reaction metal oxide anodes for Li-ion batteries. Mater. Chem. Front. 2017, 1, 2213–2242. [Google Scholar] [CrossRef]
- Hyun, Y.; Choi, J.Y.; Park, H.K.; Lee, C.S. Synthesis and electrochemical performance of ruthenium oxide-coated carbon nanofibers as anode materials for lithium secondary batteries. Appl. Surf. Sci. 2016, 388, 274–280. [Google Scholar] [CrossRef]
- Kim, I.-H.; Kim, K.-B. Ruthenium oxide thin film electrodes for supercapacitors. Electrochem. Solid-State Lett. 2001, 4, A62–A64. [Google Scholar] [CrossRef]
- Brousse, K.; Pinaud, S.; Nguyen, S.; Fazzini, P.-F.; Makarem, R.; Josse, C.; Thimont, Y.; Chaudret, B.; Taberna, P.-L.; Respaud, M.; et al. Facile and Scalable Preparation of Ruthenium Oxide-Based Flexible Micro-Supercapacitors. Adv. Energy Mater. 2020, 10, 1903136. [Google Scholar] [CrossRef]
- Liao, Y.-H.; Chou, J.-C. Preparation and characteristics of ruthenium dioxide for pH array sensors with real-time measurement system. Sens. Actuators B Chem. 2008, 128, 603–612. [Google Scholar] [CrossRef]
- Tanumihardja, E.; Paradelo RodrÍguez, A.; Loessberg-Zahl, J.T.; Mei, B.; Olthuis, W.; van den Berg, A. On-chip electrocatalytic NO sensing using ruthenium oxide nanorods. Sens. Actuators B Chem. 2021, 334, 129631. [Google Scholar] [CrossRef]
- PopÍc, J.P.; Avramov-IvÍc, M.L.; VukovÍc, N.B. Reduction of carbon dioxide on ruthenium oxide and modified ruthenium oxide electrodes in 0.5 m NaHCO3. J. Electroanal. Chem. 1997, 421, 105–110. [Google Scholar] [CrossRef]
- Maurya, D.K.; Sardarinejad, A.; Alameh, K. Ruthenium oxide ion selective thin-film electrodes for engine oil acidity monitoring. Meas. Sci. Technol. 2015, 26, 065102. [Google Scholar] [CrossRef]
- Yu, J.; He, Q.; Yang, G.; Zhou, W.; Shao, Z.; Ni, M. Recent Advances and Prospective in Ruthenium-Based Materials for Electrochemical Water Splitting. ACS Catal. 2019, 9, 9973–10011. [Google Scholar] [CrossRef]
- Liang, R.; Du, Y.; Xiao, P.; Cheng, J.; Yuan, S.; Chen, Y.; Yuan, J.; Chen, J. Transition Metal Oxide Electrode Materials for Supercapacitors: A Review of Recent Developments. Nanomaterials 2021, 11, 1248. [Google Scholar] [CrossRef]
- Petrucci, E.; Montanaro, D.; Orsini, M.; Sotgiu, G. Micro- and nanostructured TiO2 substrate: Influence on the electrocatalytic properties of manganese oxide-based electrodes. J. Electroanal. Chem. 2018, 808, 380–386. [Google Scholar] [CrossRef]
- Lei, J.; Chen, X. RuO2/MnO2 composite materials for high-performance supercapacitor electrodes. J. Semicond. 2015, 36, 83006. [Google Scholar] [CrossRef]
- Browne, M.P.; Nolan, H.; Duesberg, G.S.; Colavita, P.E.; Lyons, M.E.G. Low-Overpotential High-Activity Mixed Manganese and Ruthenium Oxide Electrocatalysts for Oxygen Evolution Reaction in Alkaline Media. ACS Catal. 2016, 6, 2408–2415. [Google Scholar] [CrossRef]
- Yu, A.; Kim, M.H.; Lee, C.; Lee, Y. Structural transformation between rutile and spinel crystal lattices in Ru-Co binary oxide nanotubes: Enhanced electron transfer kinetics for the oxygen evolution reaction. Nanoscale 2021, 13, 13776–13785. [Google Scholar] [CrossRef]
- Zhuiykov, S.; Kats, E.; Marney, D.; Kalantar-Zadeh, K. Improved antifouling resistance of electrochemical water quality sensors based on Cu2O-doped RuO2 sensing electrode. Progr. Org. Coat. 2011, 70, 67–73. [Google Scholar] [CrossRef]
- Su, J.; Ge, R.; Jiang, K.; Dong, Y.; Hao, F.; Tian, Z.; Chen, G.; Chen, L. Assembling Ultrasmall Copper-Doped Ruthenium Oxide Nanocrystals into Hollow Porous Polyhedra: Highly Robust Electrocatalysts for Oxygen Evolution in Acidic Media. Adv. Mater. 2018, 30, 1801351. [Google Scholar] [CrossRef]
- Kishor, K.; Saha, S.; Parashtekar, A.; Pala, R.G.S. Increasing chlorine selectivity through weakening of oxygen adsorbates at surface in cu doped RuO2 during seawater electrolysis. J. Electrochem. Soc. 2018, 165, J3276–J3280. [Google Scholar] [CrossRef]
- Sotgiu, G.; Tortora, L.; Petrucci, E. Influence of surface roughening of Titanium substrate in the electrochemical activity of Manganese oxide thin film electrode in anodic oxidation of dye-containing solutions. J. Appl. Electrochem. 2015, 45, 787–797. [Google Scholar] [CrossRef]
- Sotgiu, G.; Foderà, M.; Marra, F.; Petrucci, E. Production and characterization of manganese oxide-based electrodes for anodic oxidation of organic compounds. Chem. Eng. Trans. 2014, 41, 115–120. [Google Scholar] [CrossRef]
- Oumaïma Gharbi, O.; Tran, M.T.T.; Tribollet, B.; Turmine, M.; Vivier, V. Revisiting cyclic voltammetry and electrochemical impedance spectroscopy analysis for capacitance measurements. Electrochim. Acta 2020, 343, 136109. [Google Scholar] [CrossRef]
- Luu, T.L.; Kim, C.; Yoon, J. Development of templated RuO2 nanorod and nanosheet electrodes to improve the electrocatalytic activities for chlorine evolution. J. Korean Soc. Water Wastewater 2017, 31, 373–381. [Google Scholar] [CrossRef]
- Panic, V.V.; Vidakovic, T.R.; Dekanski, A.B.; Miskovic-Stankovic, V.B.; Nikolic, B.Z. Capacitive properties of RuO2-coated titanium electrodes prepared by the alkoxide ink procedure. J. Electroanal. Chem. 2007, 609, 120–128. [Google Scholar] [CrossRef]
- Taurino, I.; Carrara, S.; Giorcelli, M.; Tagliaferro, A.; De Micheli, G. Comparison of two different carbon nanotube-based surfaces with respect to potassium ferricyanide electrochemistry. Surf. Sci. 2012, 606, 156–160. [Google Scholar] [CrossRef] [Green Version]
- Bard, A.; Faulkner, L.R. Electrochemical methods. In Fundamentals and Applications, 2nd ed.; Wiley: New York, NY, USA, 2001. [Google Scholar]
- Kusmierek, E. Evaluating the Effect of WO3 on Electrochemical and Corrosion Properties of TiO2-RuO2-Coated Titanium Anodes with Low Content of RuO2. Electrocatalysis 2021, 11, 555–566. [Google Scholar] [CrossRef]
- Aromaa, J.; Forsén, O. Evaluation of the electrochemical activity of a Ti-RuO2-TiO2 permanent anode. Electrochim. Acta 2006, 51, 6104–6110. [Google Scholar] [CrossRef]
- Krstajic, N.; Trasatti, S. Cathodic behavior of RuO2-doped Ni/Co3O4 electrodes in alkaline solutions: Hydrogen evolution. J. Appl. Electrochem. 1998, 28, 1291–1297. [Google Scholar] [CrossRef]
- Kapałka, A.; Foti, G.; Comninellis, C. Determination of the Tafel slope for oxygen evolution on boron-doped diamond electrodes. Electrochem. Commun. 2008, 10, 607–610. [Google Scholar] [CrossRef]
- Hu, J.M.; Zhang, J.Q.; Cao, C.N. Oxygen evolution reaction on IrO2-based DSA® type electrodes: Kinetics analysis of Tafel lines and EIS. Int. J. Hydrogen Energy 2004, 29, 791–797. [Google Scholar] [CrossRef]







| Item | Layer 1 | Layer 2 | Layer 3 | Layer 4 | OCP (V) | Ecorr (V) | Jcorr A·cm−2 | ba (mV) | bc (mV) |
|---|---|---|---|---|---|---|---|---|---|
| E0 | Ru | Ru | Ru | Ru | 0.331 | −0.130 | 7.15 × 10−7 | 32.0 | 38.6 |
| E1 | Ru:Cu 80:20 | Ru:Cu 80:20 | Ru:Cu 80:20 | Ru:Cu 80:20 | 0.310 | −0.095 | 7.05 × 10−9 | 25.0 | 10.6 |
| E2 | Ru:Cu 90:10 | Ru:Cu 90:10 | Ru:Cu 90:10 | Ru:Cu 90:10 | 0.287 | −0.093 | 1.08 × 10−8 | 54.7 | 12.3 |
| E3 | Ru:Cu 95:5 | Ru:Cu 95:5 | Ru:Cu 95:5 | Ru:Cu 95:5 | 0.336 | 0.042 | 2.59 × 10−7 | 39.9 | 31.8 |
| E4 | Ru | Ru | Ru:Cu 80:20 | Ru:Cu 80:20 | 0.359 | −0.038 | 2.52 × 10−7 | 51.0 | 26.0 |
| E5 | Ru | Ru | Ru:Cu 90:10 | Ru:Cu 90:10 | 0.362 | 0.073 | 4.10 × 10−8 | 53.3 | 26.0 |
| E6 | Ru | Ru | Ru:Cu 95:5 | Ru:Cu 95:5 | 0.343 | 0.079 | 1.79 × 10−8 | 27.3 | 16.0 |
| Item | RS (Ohm) | Rct (kOhm) | Q (mS·sn) | n | Ceff (mF) |
|---|---|---|---|---|---|
| E0 | 63.9 | 22.9 | 1.1 | 0.96 | 1.030 |
| E1 | 63.5 | 12.5 | 0.5 | 0.83 | 3.949 |
| E2 | 74.9 | 11.7 | 2.7 | 0.80 | 1.788 |
| E3 | 60.7 | 9.8 | 1.1 | 0.80 | 0.563 |
| E4 | 70.5 | 27.3 | 0.2 | 0.82 | 0.091 |
| E5 | 68.9 | 25.4 | 0.3 | 0.80 | 0.129 |
| E6 | 67.9 | 22.6 | 0.3 | 0.81 | 0.103 |
| Item | Epa (V) | Jpa (mA·cm−2) | Epc (V) | Jpc (mA·cm−2) | ΔEp (V) | E1/2 (V) | Ed 1 (V) | B 2 (mV/dec) |
|---|---|---|---|---|---|---|---|---|
| E0 | 0.302 | 0.47 | 0.180 | −0.45 | 0.122 | 0.241 | 1.339 | 109 |
| E1 | 0.309 | 0.48 | 0.171 | −0.46 | 0.138 | 0.240 | 1.291 | 144 |
| E2 | 0.307 | 0.48 | 0.171 | −0.46 | 0.136 | 0.239 | 1.282 | 128 |
| E3 | 0.298 | 0.45 | 0.171 | −0.44 | 0.127 | 0.235 | 1.319 | 122 |
| E4 | 0.297 | 0.44 | 0.169 | −0.43 | 0.128 | 0.233 | 1.291 | 118 |
| E5 | 0.300 | 0.40 | 0.169 | −0.40 | 0.131 | 0.235 | 1.331 | 119 |
| E6 | 0.298 | 0.38 | 0.176 | −0.39 | 0.122 | 0.237 | 1.366 | 127 |
Publisher’s Note: MDPI stays neutral with regard to jurisdictional claims in published maps and institutional affiliations. |
© 2022 by the authors. Licensee MDPI, Basel, Switzerland. This article is an open access article distributed under the terms and conditions of the Creative Commons Attribution (CC BY) license (https://creativecommons.org/licenses/by/4.0/).
Share and Cite
Petrucci, E.; Porcelli, F.; Orsini, M.; De Santis, S.; Sotgiu, G. Mixed Oxide Electrodes Based on Ruthenium and Copper: Electrochemical Properties as a Function of the Composition and Method of Manufacture. Metals 2022, 12, 316. https://doi.org/10.3390/met12020316
Petrucci E, Porcelli F, Orsini M, De Santis S, Sotgiu G. Mixed Oxide Electrodes Based on Ruthenium and Copper: Electrochemical Properties as a Function of the Composition and Method of Manufacture. Metals. 2022; 12(2):316. https://doi.org/10.3390/met12020316
Chicago/Turabian StylePetrucci, Elisabetta, Francesco Porcelli, Monica Orsini, Serena De Santis, and Giovanni Sotgiu. 2022. "Mixed Oxide Electrodes Based on Ruthenium and Copper: Electrochemical Properties as a Function of the Composition and Method of Manufacture" Metals 12, no. 2: 316. https://doi.org/10.3390/met12020316
APA StylePetrucci, E., Porcelli, F., Orsini, M., De Santis, S., & Sotgiu, G. (2022). Mixed Oxide Electrodes Based on Ruthenium and Copper: Electrochemical Properties as a Function of the Composition and Method of Manufacture. Metals, 12(2), 316. https://doi.org/10.3390/met12020316

