Experimental Investigation and Numerical Simulation of the Fluidity of A356 Aluminum Alloy
Abstract
1. Introduction
2. Experiments
2.1. Suction Fluidity Test
2.2. Microstructure Observation
3. Fluidity Modeling of the A356 Alloy
3.1. Mass Transfer Calculation
3.2. Heat Transfer Calculation
4. Results and Discussion
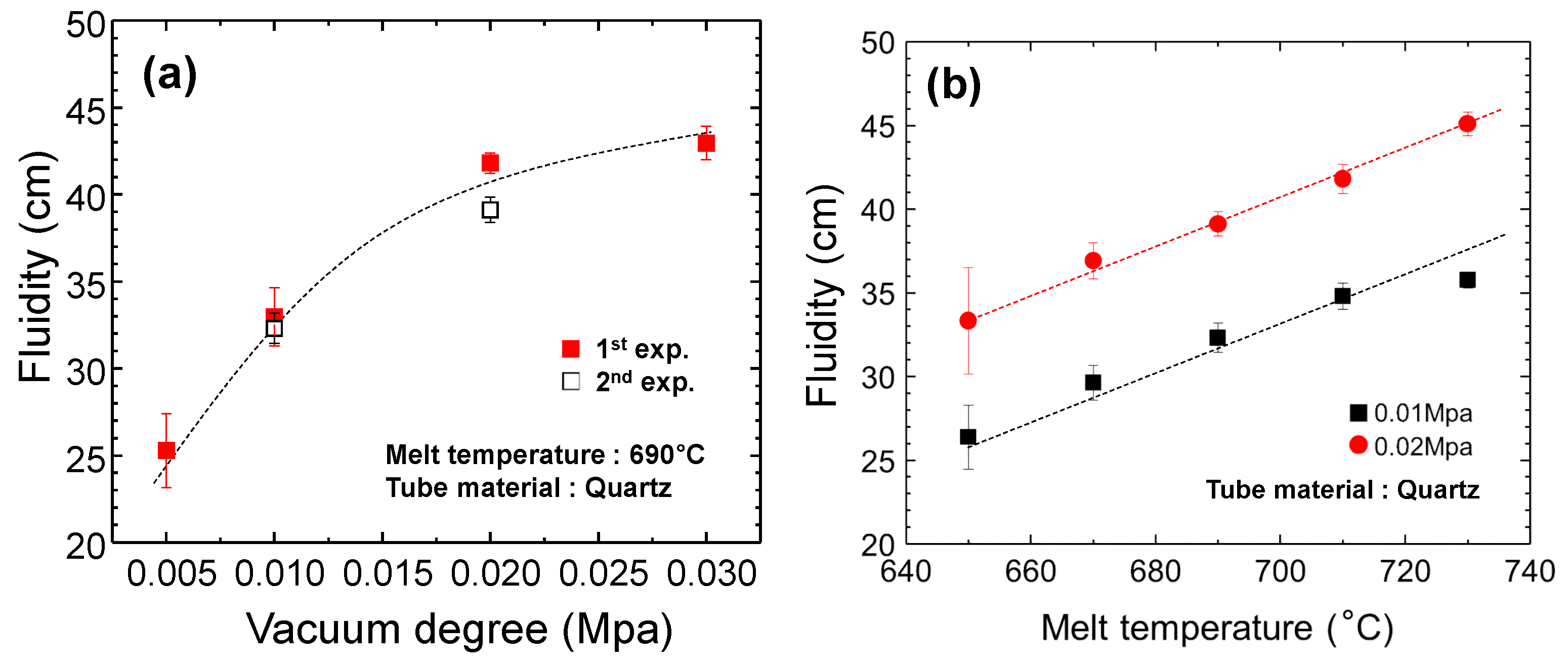
4.1. Effect of Melt Temperature on the Fluidity of A356 and A383 Alloy
4.2. Effect of Vacuum Degree on the Fluidity of the A356 Alloy
4.3. Effect of Tube Materials on the Fluidity of the A356 Alloy
4.4. Calculation Results of the Present Fluidity Model
5. Conclusions
Author Contributions
Funding
Institutional Review Board Statement
Informed Consent Statement
Data Availability Statement
Conflicts of Interest
References
- Shin, J.-S.; Kim, K.-T.; Ko, S.-H.; An, D.-J.; Kim, M.-H. Design and Evaluation of Aluminum Casting Alloys for Thermal Managing Application. J. Korea Foundry Soc. 2013, 33, 22–31. [Google Scholar] [CrossRef][Green Version]
- Sheshradri, M.R.; Ramachandran, A. Casting fluidity and fluidity of aluminum and its alloys. Mod. Cast. 1965, 21, 110–122. [Google Scholar]
- Haga, T.; Imamura, S.; Fuse, H. Fluidity Investigation of Pure Al and Al-Si Alloys. Materials 2021, 14, 5372. [Google Scholar] [CrossRef] [PubMed]
- Mollard, F.R.; Flemings, M.C.; Niyama, E.F. Understanding aluminum fluidity: The key to advanced cast products. AFS Trans. 1987, 95, 647–652. [Google Scholar]
- Gowri, S.; Samuel, F.H. Effect of alloying element on the solidification characteristic and microstructure of Al-Si-Cu-Mg-Fe 380 alloy. Metall. Mater. Trans. A 1994, 25, 437–448. [Google Scholar] [CrossRef]
- Behera, R.; Chatterjee, D.; Sutradhar, G. Effect of reinforcement particles on the fluidity and solidification behavior of the stir cast aluminum. Am. J. Mater. Sci. 2012, 2, 53–61. [Google Scholar] [CrossRef]
- Adefuye, O.A. Casting fluidity of commercial pure Al-Si casting alloys. Trans. J. Sci. Technol. 2014, 4, 16–30. [Google Scholar]
- Bazhenov, V.E.; Baranov, I.I.; Titov, A.Y.; Sannikov, A.V.; Ozherelkov, D.Y.; Lyskovich, A.A.; Koltygin, A.V.; Belov, V.D. Effect of Ti, Sr, and B Addition on the Fluidity of A356.2 Grade Aluminum Alloy. Russ. J. Non-Ferr. Met. 2022, 63, 526. [Google Scholar] [CrossRef]
- Zou, G.; Chai, Y.; Shen, Q.; Tengfei, C.; Zhang, H. Analysis of the fluidity and hot tearing susceptibility of AlSi3.5Mg0.5Cu0.4 and A356 aluminum alloys. Int. J. Metalcast. 2022, 16, 909. [Google Scholar] [CrossRef]
- Timelli, G.; Bonollo, F. Fluidity of aluminium die castings alloy. Int. J. Cast Met. Res. 2007, 20, 304–311. [Google Scholar] [CrossRef]
- Niesse, J.E.; Flemings, M.C.; Taylor, H.F. Applications of Theory in Understanding Fluidity of Metals. AFS Trans. 1959, 67, 685–697. [Google Scholar]
- Heidazadeh, A.; Emamy, M.; Rhimzadeh, A.; Soufi, R.; Sohrabi Baba Heidary, D.; Nasibi, S. The effect of copper addition on the fluidity and viscosity of an Al-Mg-Si alloy. J. Mater. Eng. Perform. 2014, 23, 469–476. [Google Scholar] [CrossRef]
- Niu, G.; Mao, J.; Wang, J. Effect of Ce addition on fluidity of casting aluminum alloy A356. Metall. Mater. Trans. A 2019, 50, 5935–5944. [Google Scholar] [CrossRef]
- Di Sabatino, M.; Arnberg, L.; Apelian, D. Progress on the understanding of fluidity of aluminum foundry alloys. Int. J. Metalcast. 2008, 2, 17–27. [Google Scholar] [CrossRef]
- Kim, M.-G.; Sung, S.-Y.; Kim, Y.-J. Microstructure, metal mold reaction and fluidity of investment cast-TiAl alloys. Mater. Trans. 2004, 45, 536–541. [Google Scholar] [CrossRef]
- Brenji, R.V. Effect of reinforcement amount, mold temperature, superheat, and mold thickness on fluidity of in-sity Al-Mg2Si composites. China Foundry 2018, 15, 66–74. [Google Scholar] [CrossRef]
- Tiryakioglu, M.; Askeland, D.R.; Ramsay, C.W. Fluidity of 319 and A356: An Experimental Design Approach. AFS Trans 1994, 102, 17–25. [Google Scholar]
- Pulivarti, S.R.; Birru, A.K. Effect of Mould Coatings and Pouring Temperature on the Fluidity of Different Thin Cross-Sections of A206 Alloy by Sand Casting. Trans. Indian Inst. Met. 2018, 71, 1735–1745. [Google Scholar] [CrossRef]
- Hiratsuka, S.; Hareyama, T.; Horie, H. Numerical Simulation of Suction Fluidity Test of Flake Graphite Cast Iron. J. JFS 2006, 78, 675–683. [Google Scholar]
- Hiratsuka, S.; Hareyama, T.; Horie, H. Numerical Simulation of Suction Fluidity Test of AC4CH Aluminum Alloy. J. JFS 2006, 78, 684–690. [Google Scholar]
- Bazhenov, V.E.; Petrova, A.V.; Rizhsky, A.A.; Tselovalnik, Y.V.; Sannikov, A.V.; Belov, V.D. Simulation and experimental validation of A356 and AZ91 alloy fluidity in a graphite mold. Int. J. Metalcast. 2021, 15, 319. [Google Scholar] [CrossRef]
- Di Sabatino, M.; Arnberg, L.; Bonollo, F. Simulation of fluidity in Al-Si alloys. Metall. Sci. Technol. 2005, 23, 3. [Google Scholar]
- Bale, C.W.; Belisle, É.; Chartrand, P.; Degterov, S.; Eriksson, G.; Hack, K.; Jung, I.-H.; Kang, Y.-B.; Melançon, J.; Pelton, A.D.; et al. FactSage thermochemical software and databases - recent developments. Calphad 2009, 33, 295–311. [Google Scholar] [CrossRef]
- Bale, C.W.; Belisle, É.; Chartrand, P.; Degterov, S.; Eriksson, G.; Gheribi, A.; Hack, K.; Jung, I.-H.; Kang, Y.-B.; Melançon, J.; et al. FactSage thermochemical software and databases, 2010–2016. Calphad 2016, 54, 35–53. [Google Scholar] [CrossRef]
- Bellos, V.; Nalbantis, I.; Tsakiris, G. Friction Modeling of Flood Flow Simulations. J. Hydraul. Eng. 2018, 144, 04018073, Erratum in J. Hydraul. Eng. 2020, 146, 08220005. [Google Scholar] [CrossRef]
- Zhang, F.; Du, Y.; Liu, S.; Jie, W. Modeling of the viscosity in the Al-Cu-Mg-Si system: Database construction. CALPHAD 2015, 49, 79–86. [Google Scholar] [CrossRef]
- Petersen, S.; Hack, K. The thermochemistry library ChemApp and its applications. Int. J. Mater. Res 2007, 98, 935–945. [Google Scholar] [CrossRef]
- Munson, B.R.; Young, D.F.; Okiishi, T.H. Fundamentals of Fluid Mechanics, 4th ed.; John Willey & Sons.: New York, USA, 2002; p. 482. [Google Scholar]
- Kobatake, H.; Brillo, J.; Schmitz, J.; Pichon, P.-Y. Surface tension of binary Al-Si liquid alloys. J. Mater. Sci. 2015, 50, 3351–3360. [Google Scholar] [CrossRef]
- Davis, J.R. ASM Specialty Handbook: Aluminum and Aluminum Alloys; ASM International: Materials Park, OH, USA, 1993; p. 719. [Google Scholar]
- Kosky, P.; Balmer, R.T.; Keat, W.D.; Wise, G. Exploring Engineering: An Introduction to Engineering and Design, 5th ed.; Academic Press: Cambridge, MA, USA, 2015; 322p. [Google Scholar]
- Spear, R.E.; Gardner, G.R. Dendrite Cell Size. AFS Trans. 1963, 71, 209. [Google Scholar]










| Alloy | Si | Mg | Mn | Fe | Cu | Ti | Sr | Zn | Al | Liquidus (°C) |
|---|---|---|---|---|---|---|---|---|---|---|
| A356 | 7.32 | 0.35 | - | 0.10 | 0.02 | 0.12 | 0.014 | - | Bal. | 618 |
| A383 | 10.36 | 0.25 | 0.19 | 0.97 | 1.85 | 0.04 | - | 1.17 | Bal. | 586 |
| Tube Material | Vertical Position | Center | Edge | ||
|---|---|---|---|---|---|
| DAS (m) | Solidification Rate (°C/s) | DAS (m) | Solidification Rate (°C/s) | ||
| Quartz | 1 | 32.1 | 2.15 | 30.9 | 2.39 |
| 2 | 18.1 | 10.6 | 10.4 | 49.6 | |
| 3 | 13.9 | 21.9 | 9.29 | 68.2 | |
| Stainless steel | 1 | 7.76 | 112 | 5.02 | 379 |
| 2 | 8.28 | 94.0 | 5.11 | 359 | |
| 3 | 33.1 | 1.96 | 30.7 | 2.43 | |
Publisher’s Note: MDPI stays neutral with regard to jurisdictional claims in published maps and institutional affiliations. |
© 2022 by the authors. Licensee MDPI, Basel, Switzerland. This article is an open access article distributed under the terms and conditions of the Creative Commons Attribution (CC BY) license (https://creativecommons.org/licenses/by/4.0/).
Share and Cite
Bang, H.-S.; Kwon, H.-I.; Chung, S.-B.; Kim, D.-U.; Kim, M.-S. Experimental Investigation and Numerical Simulation of the Fluidity of A356 Aluminum Alloy. Metals 2022, 12, 1986. https://doi.org/10.3390/met12111986
Bang H-S, Kwon H-I, Chung S-B, Kim D-U, Kim M-S. Experimental Investigation and Numerical Simulation of the Fluidity of A356 Aluminum Alloy. Metals. 2022; 12(11):1986. https://doi.org/10.3390/met12111986
Chicago/Turabian StyleBang, Hyeon-Sik, Hyeok-In Kwon, Sung-Bean Chung, Dae-Up Kim, and Min-Su Kim. 2022. "Experimental Investigation and Numerical Simulation of the Fluidity of A356 Aluminum Alloy" Metals 12, no. 11: 1986. https://doi.org/10.3390/met12111986
APA StyleBang, H.-S., Kwon, H.-I., Chung, S.-B., Kim, D.-U., & Kim, M.-S. (2022). Experimental Investigation and Numerical Simulation of the Fluidity of A356 Aluminum Alloy. Metals, 12(11), 1986. https://doi.org/10.3390/met12111986

