Fabrication, Microstructure, and Physico-Mechanical Properties of Fe–Cr–Ni–Mo–W High-Entropy Alloys from Elemental Powders
Abstract
1. Introduction
2. Materials and Methods
3. Result and Discussion
3.1. Analysis of Powder Mixtures
3.2. Structure and Phase Composition
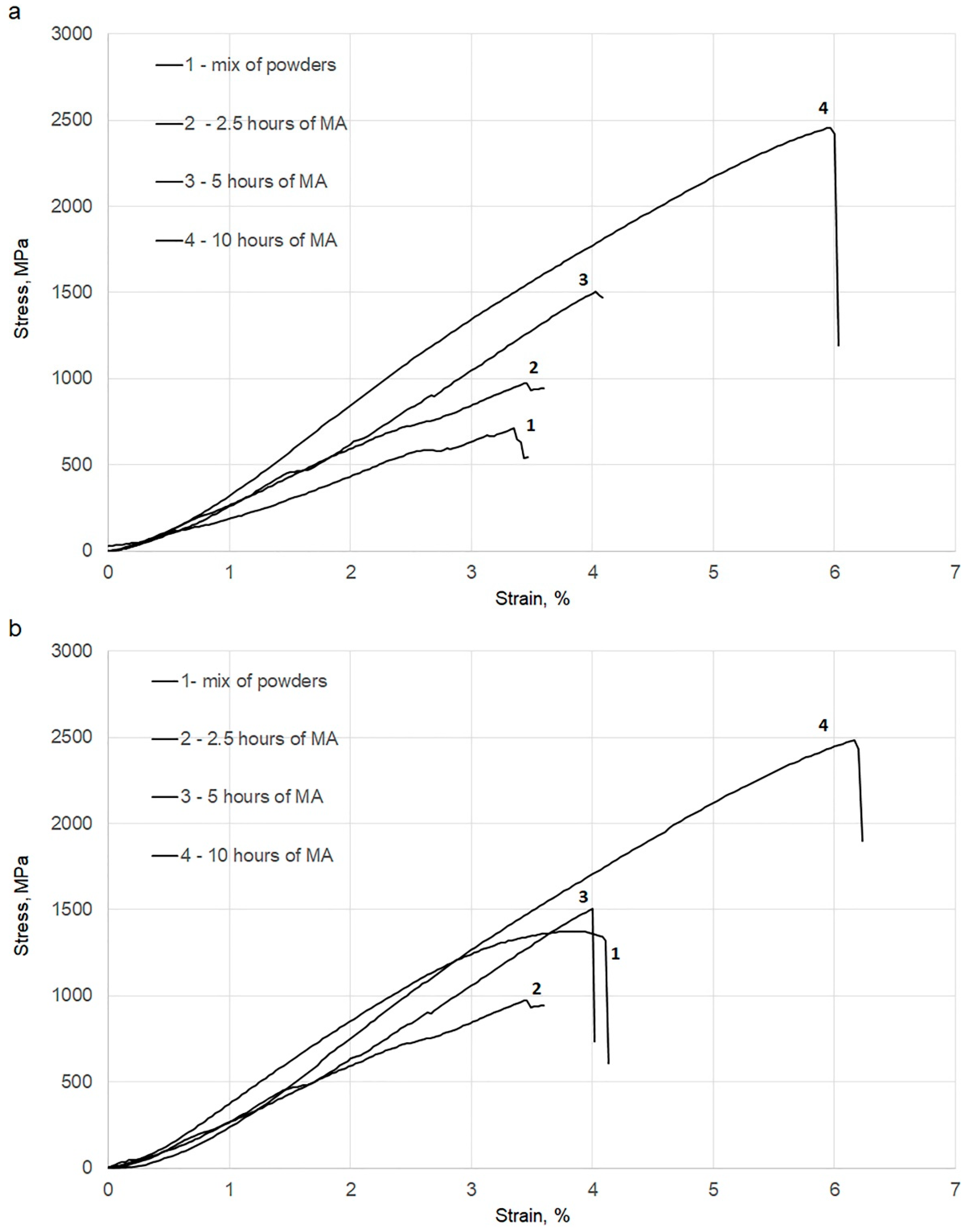
3.3. Physical and Mechanical Properties of Consolidated Samples
4. Conclusions
Author Contributions
Funding
Institutional Review Board Statement
Informed Consent Statement
Data Availability Statement
Conflicts of Interest
References
- Yeh, B.J.; Chen, S.K.; Lin, S.J.; Gan, J.Y.; Chin, T.S.; Shun, T.T.; Tsau, C.H.; Chang, S.Y. Nanostructured High-Entropy Alloys with Multiple Principal Elements: Novel Alloy Design Concepts and Outcomes. Adv. Eng. Mater. 2004, 6, 299–303. [Google Scholar] [CrossRef]
- Cantor, B.; Chang, I.T.H.; Knight, P.; Vincent, A.J.N. Microstructural development in equiatomic multicomponent alloys. Mater. Sci. Eng. A 2004, 375–377, 213–218. [Google Scholar] [CrossRef]
- Miracle, D.B.; Senkov, O.N. Acta Materialia A critical review of high entropy alloys and related concepts. Acta Mater. 2017, 122, 448–511. [Google Scholar] [CrossRef]
- Gao, M.C.; Yeh, J.-W.; Liaw, P.K.; Zhang, Y. High-Entropy Alloys; Springer International Publishing: Cham, Switzerland, 2016. [Google Scholar]
- Yeh, J.-W. Recent progress in high-entropy alloys. Ann. Chim. Sci. Mat. 2006, 31, 633–648. [Google Scholar] [CrossRef]
- Ye, Y.F.; Wang, Q.; Lu, J.; Liu, C.T.; Yang, Y. High-entropy alloy: Challenges and prospects. Materialstoday 2016, 19, 349–362. [Google Scholar] [CrossRef]
- Tsai, M.-H.; Yeh, J.-W. High-entropy alloys: A critical review. Mater. Res. Lett. 2014, 2, 107–123. [Google Scholar] [CrossRef]
- Patel, P.; Roy, A.; Sharifi, N.; Stoyanov, P.; Chromik, R.R.; Moreau, C. Tribological Performance of High-Entropy Coatings (HECs): A Review. Materials 2022, 15, 3699. [Google Scholar] [CrossRef]
- Li, W.; Liu, P.; Liaw, P.K. Microstructures and Properties of High-Entropy Alloy Films and Coatings: A Review. Mater. Res. Lett. 2018, 6, 199–229. [Google Scholar] [CrossRef]
- Li, J.; Huang, Y.; Meng, X.; Xie, Y. A Review on High Entropy Alloys Coatings: Fabrication Processes and Property Assessment. Adv. Eng. Mater. 2019, 21, 1900343. [Google Scholar] [CrossRef]
- Kenedy, G.R.; Chemeli, K.R.; Cheng, W.-C. The Observation of Cellular Precipitation in an Ni36Co18Cr20Fe19Al7 High-Entropy Alloy after Quenching and Annealing. Materials 2022, 15, 6613. [Google Scholar] [CrossRef]
- Lohmuller, P.; Peltier, L.; Hazotte, A.; Zollinger, J.; Laheurte, P.; Fleury, E. Variations of the Elastic Properties of the CoCrFeMnNi High Entropy Alloy Deformed by Groove Cold Rolling. Materials 2018, 11, 1337. [Google Scholar] [CrossRef] [PubMed]
- Liu, F.; Liaw, P.K.; Zhang, Y. Recent Progress with BCC-Structured High-Entropy Alloys. Metals 2022, 12, 501. [Google Scholar] [CrossRef]
- Zhang, Y.; Li, R. New Advances in High-Entropy Alloys. Entropy 2020, 22, 1158. [Google Scholar] [CrossRef] [PubMed]
- Choi, N.; Park, N.; Kim, J.-k.; Karasev, A.V.; Jönsson, P.G.; Park, J.H. Influence of Manufacturing Conditions on Inclusion Characteristics and Mechanical Properties of FeCrNiMnCo Alloy. Metals 2020, 10, 1286. [Google Scholar] [CrossRef]
- Lee, W.-H.; Park, K.B.; Yi, K.-W.; Lee, S.Y.; Park, K.; Lee, T.W.; Na, T.-W.; Park, H.-K. Synthesis of Spherical V-Nb-Mo-Ta-W High-Entropy Alloy Powder Using Hydrogen Embrittlement and Spheroidization by Thermal Plasma. Metals 2019, 9, 1296. [Google Scholar] [CrossRef]
- Zhang, M.; Zhang, W.; Liu, Y.; Liu, B.; Wang, J. FeCoCrNiMo high-entropy alloys prepared by powder metallurgy processing for diamond tool applications. Powder Metall. 2018, 61, 123–130. [Google Scholar] [CrossRef]
- Ji, W.; Fu, Z.; Wang, W.; Wang, H.; Zhang, J.; Wang, Y.; Zhang, F. Mechanical alloying synthesis and spark plasma sintering consolidation of CoCrFeNiAl high-entropy alloy. J. Alloys Compd. 2014, 589, 61–66. [Google Scholar] [CrossRef]
- Kumar, A.; Arora, A.; Chandrakar, R.; Rao, K.R.; Chopkar, M. Nano-crystalline high entropy alloys prepared by mechanical alloying. Mater. Today Proc. 2020, 27, 1310–1314. [Google Scholar] [CrossRef]
- Shivam, V.; Shadangi, Y.; Basu, J.; Mukhopadhyay, N. Evolution of phases, hardness and magnetic properties of AlCoCrFeNi high entropy alloy processed by mechanical alloying. J. Alloys Compd. 2020, 832, 154826. [Google Scholar] [CrossRef]
- Shkodich, N.; Sedegov, A.; Kuskov, K.; Busurin, S.; Scheck, Y.; Vadchenko, S.; Moskovskikh, D. Refractory High-Entropy HfTaTiNbZr-Based Alloys by Combined Use of Ball Milling and Spark Plasma Sintering: Effect of Milling Intensity. Metals 2020, 10, 1268. [Google Scholar] [CrossRef]
- Normand, J.; Moriche, R.; García-Garrido, C.; Sepúlveda Ferrer, R.E.; Chicardi, E. Development of a TiNbTaMoZr-Based High Entropy Alloy with Low Young’s Modulus by Mechanical Alloying Route. Metals 2020, 10, 1463. [Google Scholar] [CrossRef]
- Faruk, K.; Melih, Y.; İpek Selimoğlu, G.; Bora, D. Influence of Co content on microstructure and hardness of AlCoxCrFeNi (0 ≤ x ≤ 1) high-entropy alloys produced by self-propagating high-temperature synthesis. Eng. Sci. Technol. Int. J. 2022, 27, 101003. [Google Scholar]
- Nikolai, K.; Volker, V.; Nikita, S.; Dmitry, S.; Vladimir, S.; Zherebtsov, S. Laser beam welding of a CoCrFeNiMn-type high entropy alloy produced by self-propagating high-temperature synthesis. Intermetallics 2018, 96, 63–71. [Google Scholar]
- Evseev, N.S.; Matveev, A.E.; Nikitin, P.Y.; Abzaev, Y.A.; Zhukov, I.A. A theoretical and experimental investigation on the SHS synthesis of (HfTiCN)-TiB2 high-entropy composite. Ceram. Intern. 2022, 48, 16010–16014. [Google Scholar] [CrossRef]
- Xiong, K.; Huang, L.; Wang, X.; Yu, L.; Feng, W. Cooling-Rate Effect on Microstructure and Mechanical Properties of Al0.5CoCrFeNi High-Entropy Alloy. Metals 2022, 12, 1254. [Google Scholar] [CrossRef]
- Kolmakov, А.G.; Ivannikov, А.Y.; Kaplan, М.А.; Kirsankin, А.А.; Sevost’yanov, М.A. Коррозионностойкие стали в аддитивном производстве. Izvestiya. Ferr. Metall. 2021, 64, 619–650. (In Russian) [Google Scholar]
- Ustyukhin, A.S.; Ankudinov, A.B.; Zelensky, V.A.; Alymov, M.I.; Milyaev, I.M.; Vompe, T.A. Synthesis, thermal treatment, and characterization of sintered hard magnetic Fe–30Cr–16Co alloy. J. Alloys Compd. 2022, 902, 163754. [Google Scholar] [CrossRef]
- Moravcik, I.; Kubicek, A.; Moravcikova-Gouvea, L.; Adam, O.; Kana, V.; Pouchly, V.; Zadera, A.; Dlouhy, I. The Origins of High-Entropy Alloy Contamination Induced by Mechanical Alloying and Sintering. Metals 2020, 10, 1186. [Google Scholar] [CrossRef]
- Chlup, Z.; Fintová, S.; Hadraba, H.; Kuběna, I.; Vilémová, M.; Matějíček, J. Fatigue Behaviour and Crack Initiation in CoCrFeNiMn High-Entropy Alloy Processed by Powder Metallurgy. Metals 2019, 9, 1110. [Google Scholar] [CrossRef]
- Prabhu, G.; Kumar, N.A.; Sankaranarayana, M.; Nandy, T.K. Tensile and impact properties of microwave sintered tungsten heavy alloys. Mater. Sci. Eng. A 2014, 607, 63–70. [Google Scholar] [CrossRef]
- Rogachev, A.S.; Vadchenko, S.G.; Kochetov, N.A.; Rouvimov, S.; Kovalev, D.Y.; Shchukin, A.S.; Moskovskikh, D.O.; Nepa-pushev, A.A.; Mukasyan, A.S. Structure and properties of equiatomic CoCrFeNiMn alloy fabricated by high-energy ball milling and spark plasma sintering. J. Alloys Compd. 2019, 805, 1237–1245. [Google Scholar] [CrossRef]
- Murty, B.S.; Yeh, J.-W.; Ranganathan, S.; Bhattacharjee, P.P. High-Entropy Alloys; Elsevier: London, UK, 2019; ISBN 9780128160671. [Google Scholar]
- Liu, Q.; Wang, G.; Sui, X.; Liu, Y.; Li, X.; Yang, J. Microstructure and mechanical properties of ultra-fine grained MoNbTaTiV refractory high-entropy alloy fabricated by spark plasma sintering. J. Mater. Sci. Technol. 2019, 35, 2600–2607. [Google Scholar] [CrossRef]
- Lu, K.; Zhu, J.; Guo, D.; Yang, M.; Sun, H.; Wang, Z.; Hui, X.; Wu, Y. Microstructures, Corrosion Resistance and Wear Resistance of High-Entropy Alloys Coatings with Various Compositions Prepared by Laser Cladding: A Review. Coatings 2022, 12, 1023. [Google Scholar] [CrossRef]
- Arshad, M.; Amer, M.; Hayat, Q.; Janik, V.; Zhang, X.; Moradi, M.; Bai, M. High-Entropy Coatings (HEC) for High-Temperature Applications: Materials, Processing, and Properties. Coatings 2022, 12, 691. [Google Scholar] [CrossRef]
- Ghadami, F.; Davoudabadi, M.A.; Ghadami, S. Cyclic Oxidation Properties of the Nanocrystalline AlCrFeCoNi High-Entropy Alloy Coatings Applied by the Atmospheric Plasma Spraying Technique. Coatings 2022, 12, 372. [Google Scholar] [CrossRef]
- Chang, J.; He, J.; Mao, M.; Zhou, W.; Lei, Q.; Li, X.; Li, D.; Chua, C.-K.; Zhao, X. Advanced Material Strategies for Next-Generation Additive Manufacturing. Materials 2018, 11, 166. [Google Scholar] [CrossRef]
- Cobbinah, P.V.; Nzeukou, R.A.; Onawale, O.T.; Matizamhuka, W.R. Laser Powder Bed Fusion of Potential Superalloys: A Review. Metals 2021, 11, 58. [Google Scholar] [CrossRef]
- Luo, S.; Gao, P.; Yu, H.; Yang, J.; Wang, Z.; Zeng, X. Selective laser melting of an equiatomic AlCrCuFeNi high-entropy alloy: Processability, non-equilibrium microstructure and mechanical behavior. J. Alloys Compd. 2019, 771, 387–397. [Google Scholar] [CrossRef]
- He, J.Y.; Wang, H.; Huang, H.L.; Xu, X.D.; Chen, M.W.; Wu, Y.; Liu, X.J.; Nieh, T.G.; An, K.; Lu, Z.P. A precipitation-hardened high-entropy alloy with outstanding tensile properties. Acta Mater. 2016, 102, 187–196. [Google Scholar] [CrossRef]
- Liu, W.H.; Lu, Z.P.; He, J.Y.; Luan, J.H.; Wang, Z.J.; Liu, B.; Liu, Y.; Chen, M.W.; Liu, C.T. Ductile CoCrFeNiMox high entropy alloys strengthened by hard intermetallic phases. Acta Mater. 2016, 116, 332–342. [Google Scholar] [CrossRef]
- Senkov, O.N.; Miracle, D.B.; Chaput, K.J.; Couzinie, J.-P. Development and exploration of refractory high entropy alloys—A review. J. Mater. Res. 2018, 33, 3092–3128. [Google Scholar] [CrossRef]
- Zhang, M.; Peng, Y.; Zhang, W.; Liu, Y.; Wang, L.; Hu, S.; Hu, Y. Gradient Distribution of Microstructures and Mechanical Properties in a FeCoCrNiMo High-Entropy Alloy during Spark Plasma Sintering. Metals 2019, 9, 351. [Google Scholar] [CrossRef]
- Xia, S.; Yang, X.; Chen, M.; Yang, T.; Zhang, Y. The Al Effects of Co-Free and V-Containing High-Entropy Alloys. Metals 2017, 7, 18. [Google Scholar] [CrossRef]
- Málek, J.; Zýka, J.; Lukáč, F.; Čížek, J.; Kunčická, L.; Kocich, R. Microstructure and Mechanical Properties of Sintered and Heat-Treated HfNbTaTiZr High Entropy Alloy. Metals 2019, 9, 1324. [Google Scholar] [CrossRef]
- Satyanarayana, P.V.; Sokkalingam, R.; Jena, P.K.; Sivaprasad, K.; Prashanth, K.G. Tungsten Matrix Composite Reinforced with CoCrFeMnNi High-Entropy Alloy: Impact of Processing Routes on Microstructure and Mechanical Properties. Metals 2019, 9, 992. [Google Scholar] [CrossRef]
- Maity, T.; Prashanth, K.G.; Janda, A.; Kim, J.T.; Spieckermann, F.; Eckert, J. Mechanism of high-pressure torsion-induced shear banding and lamellar thickness saturation in Co-Cr-Fe-Ni-Nb high-entropy composites. J. Mater. Res. 2019, 34, 2672–2682. [Google Scholar] [CrossRef]
- Tsai, M.H.; Chang, K.C.; Li, J.H.; Tsai, R.C.; Cheng, A.H. A second criterion for sigma phase formation in high-entropy alloys. Mater. Res. Lett. 2016, 4, 90–95. [Google Scholar] [CrossRef]










| Chemical Composition | 35Fe30Cr20Ni10Mo5W | 30Fe30Cr20Ni10Mo10W | ||||
|---|---|---|---|---|---|---|
| Mode | Density, g/cm3 | Strength, MPa | HRC | Density, g/cm3 | Strength, MPa | HRC |
| 5 h of mixing | 8.12 ± 0.02 | 860 ± 30 | 53 ± 1 | 8.35 ± 0.01 | 1350 ± 40 | 52 ± 1 |
| 2.5 h of milling | 8.06 ± 0.01 | 970 ± 35 | 52 ± 1 | 8.26 ± 0.01 | 950 ± 25 | 53 ± 1 |
| 5 h of milling | 8.08 ± 0.02 | 1350 ± 40 | 56 ± 1 | 8.29 ± 0.02 | 1500 ± 40 | 59 ± 1 |
| 10 h of milling | 8.17 ± 0.02 | 2430 ± 30 | 60 ± 1 | 8.42 ± 0.01 | 2460 ± 35 | 61 ± 1 |
Publisher’s Note: MDPI stays neutral with regard to jurisdictional claims in published maps and institutional affiliations. |
© 2022 by the authors. Licensee MDPI, Basel, Switzerland. This article is an open access article distributed under the terms and conditions of the Creative Commons Attribution (CC BY) license (https://creativecommons.org/licenses/by/4.0/).
Share and Cite
Ivannikov, A.Y.; Grebennikov, I.K.; Klychevskikh, Y.A.; Mikhailova, A.V.; Sergienko, K.V.; Kaplan, M.A.; Lysenkov, A.S.; Sevostyanov, M.A. Fabrication, Microstructure, and Physico-Mechanical Properties of Fe–Cr–Ni–Mo–W High-Entropy Alloys from Elemental Powders. Metals 2022, 12, 1764. https://doi.org/10.3390/met12101764
Ivannikov AY, Grebennikov IK, Klychevskikh YA, Mikhailova AV, Sergienko KV, Kaplan MA, Lysenkov AS, Sevostyanov MA. Fabrication, Microstructure, and Physico-Mechanical Properties of Fe–Cr–Ni–Mo–W High-Entropy Alloys from Elemental Powders. Metals. 2022; 12(10):1764. https://doi.org/10.3390/met12101764
Chicago/Turabian StyleIvannikov, Alexander Yurievich, Ivan Konstantinovich Grebennikov, Yulia Alexandrovna Klychevskikh, Anna Vladimirovna Mikhailova, Konstantin Victorovich Sergienko, Mikhail Alexandrovich Kaplan, Anton Sergeevich Lysenkov, and Mikhail Anatolievich Sevostyanov. 2022. "Fabrication, Microstructure, and Physico-Mechanical Properties of Fe–Cr–Ni–Mo–W High-Entropy Alloys from Elemental Powders" Metals 12, no. 10: 1764. https://doi.org/10.3390/met12101764
APA StyleIvannikov, A. Y., Grebennikov, I. K., Klychevskikh, Y. A., Mikhailova, A. V., Sergienko, K. V., Kaplan, M. A., Lysenkov, A. S., & Sevostyanov, M. A. (2022). Fabrication, Microstructure, and Physico-Mechanical Properties of Fe–Cr–Ni–Mo–W High-Entropy Alloys from Elemental Powders. Metals, 12(10), 1764. https://doi.org/10.3390/met12101764

