Kinetic Analysis of Isothermal and Non-Isothermal Reduction of Iron Ore Fines in Hydrogen Atmosphere
Abstract
1. Introduction
2. Materials and Methods
2.1. Preparation of Sample
2.2. Reduction Experiments
2.3. Thermal Analysis Kinetics
2.3.1. Isothermal Condition
2.3.2. Non-Isothermal Condition
3. Results and Discussion
3.1. The Calculation of Kinetic Parameter with Isothermal Reduction
3.1.1. Reduction Degree and Rate
3.1.2. Apparent Activation Energy and Rate-Controlling Steps
3.1.3. Model Function Results
3.2. The Calculation of Kinetic Parameter with Non-Isothermal Reduction
3.2.1. Reduction Degree and Rate
3.2.2. Apparent Activation Energy and Rate-Controlling Steps
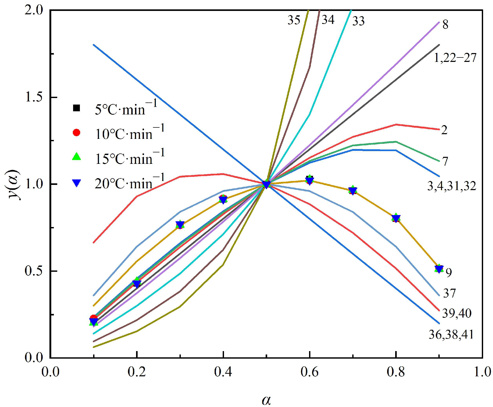
3.2.3. Model Function Results
3.3. Influence of Different Parameters on Industrial Applications
4. Conclusions
- (1)
- Under isothermal conditions, temperature plays a vital role in the reduction process. The activation energy was 27–93 kJ·mol−1. The rate-controlling step was gaseous diffusion and interfacial chemical reaction mixed control in the initial stages, and interfacial chemical reaction and solid diffusion in the final stages. The reduction of the samples was expressed by the model function F1 (instantaneous nucleation and unidimensional growth) toward R2 (bidimensional shape) through the ln-ln and sharp analyses.
- (2)
- In the non-isothermal reduction experiment, the heating rate significantly affected the reaction rate. The average activation energy calculated by the KAS method was 26 kJ·mol−1. The reaction mechanism was analyzed using the Malek method. The models for the non-isothermal kinetics of the reduction of iron ore fines include mixed control, two-dimensional diffusion, and three-dimensional diffusion, depending on the stage of the reduction process.
- (3)
- The reduction of the sample under isothermal conditions can be described by a unidimensional growth at the initial stage of reduction and the 2D shrinking layer reaction mechanism at a later stage. Under non-isothermal conditions, the reduction of the sample is described, in turn, by the mixing control, 2D reaction, and 3D reaction.
- (4)
- The use of H2 as a reducing agent changes the conditions of the iron oxide reduction reaction, the reduction rate, and the morphology of reduction products, leading to significant changes in its reaction kinetic process. Basic theoretical research on the future large-scale use of H2 in the ironmaking process is needed to really achieve low-carbon ironmaking.
Author Contributions
Funding
Conflicts of Interest
References
- Lei, R.; Sheng, Z.; Tiandou, P.; Ou, X.M. A review of CO2 emissions reduction technologies and low-carbon development in the iron and steel industry focusing on China. Renew. Sustain. Energy Rev. 2021, 143, 110846. [Google Scholar]
- Zhang, Q.; Shen, J.L.; Xu, L.S. Carbon peak and low-carbon transition path of China’s iron and steel industry. Iron Steel 2021, 56, 152–163. [Google Scholar]
- Fan, Z.Y.; Friedmann, S.J. Low-carbon production of iron and steel: Technology options, economic assessment, and policy. Joule 2021, 5, 829–862. [Google Scholar] [CrossRef]
- Liu, S.; Liu, X.; Qing, L.; Zhang, X.; Qie, Y.N. Study on the appropriate production parameters of a gas-injection blast furnace. High Temp. Mater. Process. 2020, 39, 10–25. [Google Scholar]
- Higuchi, K.; Matsuzaki, S.; Saito, K.; Nomura, S. Improvement in reduction behavior of sintered ores in a blast furnace through injection of reformed coke oven gas. ISIJ Int. 2020, 60, 2218–2227. [Google Scholar] [CrossRef]
- Liu, W.G.; Zuo, H.B.; Wang, J.S.; Xue, Q.G.; Yang, F.; Ren, B.L. The production and application of hydrogen in steel industry. Int. J. Hydrogen Energy 2021, 46, 10548–10569. [Google Scholar] [CrossRef]
- Dawood, F.; Anda, M.; Shafiullah, G.M. Hydrogen production for energy: An overview. Int. J. Hydrogen Energy 2020, 45, 3847–3869. [Google Scholar] [CrossRef]
- Parra, D.; Valverde, L.; Pino, F.J.; Patel, M.K. A review on the role, cost and value of hydrogen energy systems for deep decarbonisation. Renew. Sustain. Energy Rev. 2019, 101, 279–294. [Google Scholar] [CrossRef]
- Mousa, E.A.; Babich, A.; Senk, D. Reduction behavior of iron ore pellets with simulated coke oven gas and natural gas. Steel Res. Int. 2013, 84, 1085–1097. [Google Scholar] [CrossRef]
- Ding, C.Y.; Lv, X.W.; Li, G.; Bai, C.G.; Xuan, S.W.; Tang, K.; Chen, Y. Reduction of CaO–Fe2O3 series compounds by CO. ISIJ Int. 2017, 57, 1181–1190. [Google Scholar] [CrossRef]
- Ding, C.Y.; Lv, X.W.; Li, G.; Bai, C.G.; Xuan, S.W.; Tang, K.; Lv, X. Isothermal reduction of powdery 2CaO·Fe2O3 and CaO·Fe2O3 under H2 atmosphere. Int. J. Hydrogen Energy 2018, 43, 24–36. [Google Scholar] [CrossRef]
- Abolpour, B.; Afsahi, M.M.; Azizkarimi, M. Hydrogen reduction of magnetite concentrate particles. Miner. Process. Extr. Metall. 2018, 130, 1–14. [Google Scholar] [CrossRef]
- Bai, M.H.; Long, H.; Li, L.J.; Liu, D.; Ren, S.B.; Zhao, C.F.; Cheng, J. Kinetics of iron ore pellets reduced by H2-N2 under non-isothermal condition. Int. J. Hydrogen Energy 2018, 43, 15586–15592. [Google Scholar] [CrossRef]
- Bai, M.H.; Long, H.; Ren, S.B.; Liu, D.; Zhao, C.F. Reduction behavior and kinetics of iron ore pellets under H2–N2 atmosphere. ISIJ Int. 2018, 58, 1034–1041. [Google Scholar] [CrossRef]
- Lin, H.Y.; Chen, Y.W.; Li, C. The mechanism of reduction of iron oxide by hydrogen. Thermochim. Acta 2003, 400, 61–67. [Google Scholar] [CrossRef]
- Tiernan, M.J.; Barnes, P.A.; Parkes, G.M.B. Reduction of iron oxide catalysts: The investigation of kinetic parameters using rate perturbation and linear heating thermoanalytical techniques. J. Phys. Chem. B 2001, 105, 220–228. [Google Scholar] [CrossRef]
- Chen, F.; Mohassab, Y.; Jiang, T.; Sohn, H.Y. Hydrogen reduction kinetics of hematite concentrate particles relevant to a novel flash ironmaking process. Metall. Mater. Trans. B 2015, 46, 1133–1145. [Google Scholar] [CrossRef]
- Chen, F.; Mohassab, Y.; Zhang, S.Q.; Sohn, H.Y. Kinetics of the reduction of hematite concentrate particles by carbon monoxide relevant to a novel flash ironmaking process. Metall. Mater. Trans. B 2015, 46, 1716–1728. [Google Scholar] [CrossRef]
- Mccune, R.C.; Wynblatt, P. Calcium segregation to a magnesium oxide (100) surface. J. Am. Ceram. Soc. 1983, 66, 111–117. [Google Scholar] [CrossRef]
- Vyazovkin, S.; Wight, C.A. Model-free and model-fitting approaches to kinetic analysis of isothermal and nonisothermal data. Thermochim. Acta 1999, 340–341, 53–68. [Google Scholar] [CrossRef]
- Wiltowski, T.; Hinckley, C.C.; Smith, G.V.; Nishizawa, T.; Saporoschenko, M.; Shiley, R.H.; Webster, J. Kinetics and mechanisms of iron sulfide reductions in hydrogen and in carbon monoxide. J. Solid State Chem. 1987, 71, 95–102. [Google Scholar] [CrossRef]
- Hancock, J.D.; Sharp, J.H. Method of comparing solid-state kinetic date and its application to the decomposition of kaolinite, brucite, an BaCO3. J. Am. Ceram. Soc. 1972, 55, 74–77. [Google Scholar] [CrossRef]
- Sharp, J.H.; Brindley, G.W.; Achar, B.N.N. Numerical data for some commonly used solid state reaction equations. J. Am. Ceram. Soc. 2006, 49, 379–382. [Google Scholar] [CrossRef]
- Avrami, M. Kinetics of phase change. II: Transformation-time relations for random distribution of nuclei. J. Chem. Phys. 1940, 8, 212–224. [Google Scholar] [CrossRef]
- Avrami, M. Granulation, phase change, and microstructure kinetics of phase change. III. J. Chem. Phys. 1941, 9, 177–184. [Google Scholar] [CrossRef]
- Kissinger, H.E. Reaction kinetics in differential thermal analysis. Anal. Chem. 1957, 29, 1702–1706. [Google Scholar] [CrossRef]
- Málek, J. A computer program for kinetic analysis of non-isothermal thermoanalytical data. Thermochim. Acta 1989, 138, 337–346. [Google Scholar] [CrossRef]
- Dang, J.; Zhang, G.H.; Chou, K.C. Kinetics and mechanism of hydrogen reduction of ilmenite powders. J. Alloys Compd. 2015, 619, 443–451. [Google Scholar] [CrossRef]
- EI-Geassya, A.A. Influence of silica on the gaseous reduction of wustite with H2, CO and H2-CO mixtures. Trans. Iron Steel Inst. Jpn. 1985, 25, 1036–1044. [Google Scholar] [CrossRef]
- El-Geassy, A.A.; Rajakumar, V. Influence of particle size on the gaseous reduction of wustite at 900–1100 °C. Trans. Iron Steel Inst. Jpn. 1985, 25, 1202–1211. [Google Scholar] [CrossRef]
- Gleitzer, C. Some remarkable features in the reduction of iron oxides. Solid State Ionics 1990, 38, 133–141. [Google Scholar] [CrossRef]
- Nasr, M.I.; Omar, A.A.; Khedr, M.H.; El-Geassy, A.A. Effect of nickel oxide doping on the kinetics and mechanism of iron oxide reduction. ISIJ Int. 1995, 35, 1043–1049. [Google Scholar] [CrossRef]
- Zuo, H.B.; Wang, C.; Dong, J.J.; Jiao, K.X.; Xu, R.S. Reduction kinetics of iron oxide pellets with H2 and CO mixtures. Int. J. Miner. Metall. Mater. 2015, 22, 688–696. [Google Scholar] [CrossRef]
- El-Geassy, A.A.; Nasr, M.I.; El-Raghy, S.M.; Hammam, A.A. Comparative studies on isothermal and non-isothermal reduction of haematite in carbon monoxide atmosphere. Ironmak. Steelmak. 2019, 47, 948–957. [Google Scholar] [CrossRef]











| TFe | Fe2O3 | FeO | CaO | SiO2 | MgO | Al2O3 |
|---|---|---|---|---|---|---|
| 62.04 | 87.36 | 1.06 | 1.18 | 5.60 | 1.53 | 1.29 |
| Function | Mechanism | G(α) | dα/dt | n |
|---|---|---|---|---|
| One-dimensional diffusion | 0.62 | |||
| Two-dimensional diffusion | 0.57 | |||
| Three-dimensional diffusion, Jander equation | 0.54 | |||
| Three-dimensional diffusion, Ginstling-Brounshtein equation | 0.57 | |||
| Bimolecular decay law (instantaneous nucleation and unidimensional growth) | 1 | |||
| Phase boundary controlled reaction (bidimensional shape) | 1.11 | |||
| Phase boundary controlled reaction (tridimensional shape) | 1.07 | |||
| Random instant nucleation and two-dimensional growth of nuclei (A-E equation) | 2 | |||
| Random instant nucleation and three-dimensional growth of nuclei (A-E equation) | 3 |
| No. | Function | Mechanism | F(α) | f(α) |
|---|---|---|---|---|
| 1 | Parabolic law | One-dimensional diffusion | ||
| 2 | Valensi equation | Two-dimensional diffusion | ||
| 3 | Jander equation (2D, n = 1/2) | Two-dimensional diffusion | ||
| 4 | Jander equation (2D, n = 2) | Two-dimensional diffusion | ||
| 5 | Jander equation (3D, n = 1/2) | Three-dimensional diffusion | ||
| 6 | Jander equation (3D, n = 2) | Three-dimensional diffusion | ||
| 7 | Ginstling–Brounstein equation | Three-dimensional diffusion | ||
| 8 | Antagonistic Jander equation | Three-dimensional diffusion | ||
| 9 | Zhurlev–Lesokin–Tempelman equation (3D) | Three-dimensional diffusion | ||
| 10 | Avrami–Erofeev equation (n = 1/4, m = 4) | Random nucleation and subsequent growth | ||
| 11 | Avrami–Erofeev equation (n = 1/3, m = 3) | Random nucleation and subsequent growth | ||
| 12 | Avrami–Erofeev equation (n = 2/5) | Random nucleation and subsequent growth | ||
| 13 | Avrami–Erofeev equation (n = 1/2, m = 2) | Random nucleation and subsequent growth | ||
| 14 | Avrami–Erofeev equation (n = 2/3) | Random nucleation and subsequent growth | ||
| 15 | Avrami–Erofeev equation (n = 3/4) | Random nucleation and subsequent growth | ||
| 16 | Mampel single law (n = 1, m = 1) | Random nucleation and subsequent growth | ||
| 17 | Avrami–Erofeev equation (n = 3/2) | Random nucleation and subsequent growth | ||
| 18 | Avrami–Erofeev equation (n = 2) | Random nucleation and subsequent growth | ||
| 19 | Avrami–Erofeev equation (n = 3) | Random nucleation and subsequent growth | ||
| 20 | Avrami–Erofeev equation (n = 4) | Random nucleation and subsequent growth | ||
| 21 | Prout–Tompkins equation | Autocatalytic reaction, dendritic nucleation | ||
| 22 | Mampel power law | n = 1/4 | ||
| 23 | Mampel power law | n = 1/3 | ||
| 24 | Mampel power law | n = 1/2 | ||
| 25 | Mampel power law | Phase boundary reaction (One-dimensional) | 1 | |
| 26 | Mampel power law | n = 3/2 | ||
| 27 | Mampel power law | n = 2 | ||
| 28 | Order of reaction | n = 1/4 | ||
| 29 | Spherical contraction (n = 1/3) | Phase boundary reaction (symmetrical sphere) | ||
| 30 | Spherical contraction (3D) | n = 3 | ||
| 31 | Cylindrical contraction (2D) | n = 1/2 | ||
| 32 | Cylindrical contraction (2D) | n = 2 | ||
| 33 | Order of reaction | n = 2 | ||
| 34 | Order of Reaction | n = 3 | ||
| 35 | Order of reaction | n = 4 | ||
| 36 | Order of reaction | Chemical reaction | ||
| 37 | Order of reaction | Chemical reaction | ||
| 38 | Order of reaction n = 2/3 | Chemical reaction | ||
| 39 | Exponential law | n = 1 | ||
| 40 | Exponential law | n = 2 | ||
| 41 | Order of reaction | Chemical reaction |
| E, kJ·mol−1 | Rate-Controlling Step |
|---|---|
| 8–16 | Gaseous diffusion |
| 29–42 | Combination of gaseous diffusion and interfacial chemical reaction |
| 60–67 | Interfacial chemical reaction |
| >90 | Solid diffusion |
| Temperature/°C | 800 | 850 | 900 | 950 | 1000 | 1050 | 1100 |
| n | 1.02 | 1.03 | 1.01 | 1.13 | 1.12 | 1.18 | 1.23 |
| Function | F1→R2 | ||||||
| α | 0.1 | 0.2 | 0.3 | 0.4 | 0.5 | 0.6 | 0.7 | 0.8 | 0.9 | 1 |
| Slope | 2944 | 3251 | 3210 | 3137 | 3126 | 3060 | 3100 | 3186 | 3662 | 3367 |
| Activation energy (kJ·mol−1) | 24 | 27 | 27 | 26 | 26 | 26 | 26 | 26 | 30 | 27 |
| Average activation energy (kJ·mol−1) | 26 | |||||||||
Publisher’s Note: MDPI stays neutral with regard to jurisdictional claims in published maps and institutional affiliations. |
© 2022 by the authors. Licensee MDPI, Basel, Switzerland. This article is an open access article distributed under the terms and conditions of the Creative Commons Attribution (CC BY) license (https://creativecommons.org/licenses/by/4.0/).
Share and Cite
Lyu, B.; Wang, G.; Yang, F.; Zuo, H.; Xue, Q.; Wang, J. Kinetic Analysis of Isothermal and Non-Isothermal Reduction of Iron Ore Fines in Hydrogen Atmosphere. Metals 2022, 12, 1754. https://doi.org/10.3390/met12101754
Lyu B, Wang G, Yang F, Zuo H, Xue Q, Wang J. Kinetic Analysis of Isothermal and Non-Isothermal Reduction of Iron Ore Fines in Hydrogen Atmosphere. Metals. 2022; 12(10):1754. https://doi.org/10.3390/met12101754
Chicago/Turabian StyleLyu, Binbin, Guang Wang, Fan Yang, Haibin Zuo, Qingguo Xue, and Jingsong Wang. 2022. "Kinetic Analysis of Isothermal and Non-Isothermal Reduction of Iron Ore Fines in Hydrogen Atmosphere" Metals 12, no. 10: 1754. https://doi.org/10.3390/met12101754
APA StyleLyu, B., Wang, G., Yang, F., Zuo, H., Xue, Q., & Wang, J. (2022). Kinetic Analysis of Isothermal and Non-Isothermal Reduction of Iron Ore Fines in Hydrogen Atmosphere. Metals, 12(10), 1754. https://doi.org/10.3390/met12101754

