Effect of Aging Treatments on the Structure, Deformation Response, and R Transformation in Nanocrystalline Ti–50.9 at.% Ni Alloy
Abstract
1. Introduction
2. Materials and Methods
3. Results
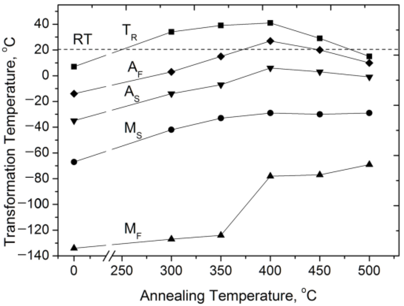
3.1. Microstructure Characterization
3.2. R-Phase Morphology
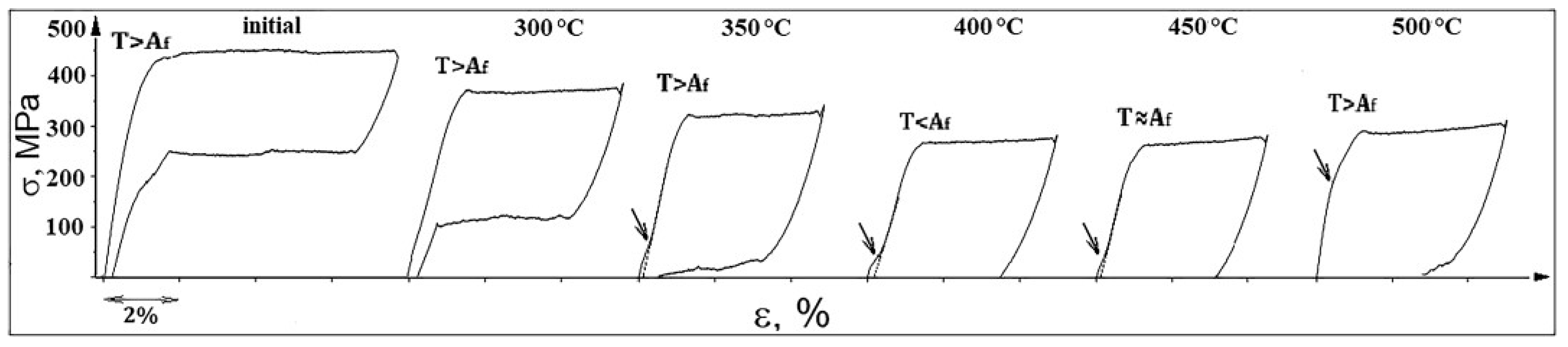
3.3. Deformation Response
3.4. R Phase after Loading-Unloading Cycle
4. Discussion
5. Conclusions
Author Contributions
Funding
Data Availability Statement
Conflicts of Interest
References
- Otsuka, K.; Ren, X. Physical metallurgy of TiNi-based shape memory alloys. Prog. Mater. Sci. 2005, 50, 511–678. [Google Scholar] [CrossRef]
- Pelton, A.R.; Russell, S.M.; DiCello, J. The physical metallurgy of nitinol for medical applications. JOM 2003, 55, 33–37. [Google Scholar] [CrossRef]
- Elahinia, M.H.; Hashemi, M.; Tabesh, M.; Bhaduri, S.B. Manufacturing and processing of NiTi implants: A review. Prog. Mater. Sci. 2012, 57, 911–946. [Google Scholar] [CrossRef]
- Khalil-Allafi, J.; Dlouhý, A.; Eggeler, G. Ni4Ti3-precipitation during aging of NiTi shape memory alloys and its influence on martensitic phase transformations. Acta Mater. 2002, 50, 4255–4274. [Google Scholar] [CrossRef]
- Michutta, J.; Somsen, C.; Yawny, A.; Dlouhy, A.; Eggeler, G. Elementary martensitic transformation processes in Ni-rich NiTi single crystals with Ti3Ni4 precipitates. Acta Mater. 2006, 54, 3525–3542. [Google Scholar] [CrossRef]
- Frenzel, J.; George, E.P.; Dlouhy, A.; Somsen, C.; Wagner, M.F.X.; Eggeler, G. Influence of Ni on martensitic phase transformations in NiTi shape memory alloys. Acta Mater. 2010, 58, 3444–3458. [Google Scholar] [CrossRef]
- Khalil-Allafi, J.; Ren, X.; Eggeler, G. The mechanism of multistage martensitic transformations in aged Ni-rich NiTi shape memory alloys. Acta Mater. 2002, 50, 793–803. [Google Scholar] [CrossRef]
- Zheng, Y.; Jiang, F.; Li, L.; Yang, H.; Liu, Y. Effect of ageing treatment on the transformation behavior of Ti–50.9 at.% Ni alloy. Acta Mater. 2008, 56, 736–745. [Google Scholar] [CrossRef]
- Wang, X.; Li, K.; Schryvers, D.; Verlinden, B.; Van Humbeeck, J. R-phase transition and related mechanical properties controlled by low-temperature aging treatment in a Ti–50.8 at.% Ni thin wire. Scr. Mater. 2014, 72–73, 21–24. [Google Scholar] [CrossRef]
- Miyazaki, S.; Otsuka, K. Deformation and transition behavior associated with the R-phase in Ti-Ni alloy. Metall. Mater. Trans. A. 1986, 17, 53–63. [Google Scholar] [CrossRef]
- Lin, H.C.; Wu, S.K. Determination of heat of transformation in a cold rolled martensitic TiNi alloy. Metall. Trans. A. 1993, 24, 293–299. [Google Scholar] [CrossRef]
- Mahmud, A.S.; Wu, Z.; Yang, H.; Liu, Y. Effect of Cold Work and Partial Annealing on Thermomechanical Behaviour of Ti-50.5at%Ni. Shape Mem. Superelasticity 2017, 3, 57–66. [Google Scholar] [CrossRef]
- Waitz, T.; Kazykhanov, V.; Karnthaler, H.P. Martensitic phase transformations in nanocrystalline NiTi studied by TEM. Acta Mater. 2004, 52, 137–147. [Google Scholar] [CrossRef]
- Shi, X.; Cui, L.; Jiang, D.; Yu, C.; Guo, F.; Yu, M.; Ren, Y.; Liu, Y. Grain size effect on the R phase transformation of nanocrystalline NiTi shape memory alloys. J. Mater. Sci. 2014, 49, 4643–4647. [Google Scholar] [CrossRef]
- Miyazaki, S.; Otsuka, K. Mechanical behaviour associated with the premartensitic rhombohedral-phase transition in a Ti50Ti47Fe3 alloy. Philos. Mag. A 1985, 50, 393–408. [Google Scholar] [CrossRef]
- Miyazaki, S.; Igo, Y.; Otsuka, K. Effect of thermal cycling on the transformation temperatures of TiNi alloys. Acta Metall. 1986, 34, 2045–2051. [Google Scholar] [CrossRef]
- Šittner, P.; Landa, M.; Lukáš, P.; Novák, V. R-phase transformation in NiTi alloys. Mech. Mater. 2006, 38, 475–492. [Google Scholar] [CrossRef]
- Wang, X.; Verlinden, B.; Van Humbeeck, J. Fundamental development on utilizing the R-phase transformation in NiTi shape memory alloys. Mater. Sci. Tech. 2014, 30, 1517–1529. [Google Scholar] [CrossRef]
- Duerig, T.W.; Bhattacharya, K. The Influence of the R-Phase on the Superelastic Behavior of NiTi. Shape Mem. Superelasticity 2015, 1, 153–161. [Google Scholar] [CrossRef]
- Poletika, T.M.; Girsova, S.L.; Lotkov, A.I. Ti3Ni4 precipitation features in heat-treated grain / subgrain nanostructure in Ni-rich TiNi alloy. Intermetallics 2020, 127, 106966. [Google Scholar] [CrossRef]
- Poletika, T.M.; Girsova, S.L.; Lotkov, A.I.; Kudryachov, A.N.; Girsova, N.V. Structure and Multistage Martensite Transformation in Nanocrystalline Ti-50.9Ni Alloy. Metals 2021, 11, 1262. [Google Scholar] [CrossRef]
- Prokoshkin, S.; Brailovski, V.; Dubinskiy, S.; Inaekyan, K.; Kreitcberg, A. Gradation of nanostructures in cold-rolled and annealed Ti–Ni shape memory alloys. Shape Mem. Superelasticity 2016, 2, 12–17. [Google Scholar] [CrossRef]
- Prokoshkin, S.; Dubinskiy, S.; Brailovski, V. Features of a nanosubgrained structure in deformed and annealed Ti-Ni SMA: A Brief Review. Shape Mem. Superelasticity 2019, 5, 336–345. [Google Scholar] [CrossRef]
- Cao, S.; Ke, C.B.; Zhang, X.P.; Schryvers, D. Morphological characterization and distribution of autocatalytic-grown Ni4Ti3 precipitates in a NiTi single crystal. J. Alloys Compd. 2013, 577, 215–218. [Google Scholar] [CrossRef]
- Prokofiev, E.A.; Burow, A.; Payton, E.; Bhaduri, S. Suppression of Ni4Ti3 precipitation by grain size refinement in Ni-rich NiTi shape memory alloys. Mem. Alloy. Adv. Eng. Mater. 2010, 12, 747–753. [Google Scholar] [CrossRef]
- Shindo, D.; Murakami, Y.; Ohba, T. Understanding precursor phenomena for the R-phase transformation in Ti-Ni-based alloys. MRS Bull. 2002, 27, 121–127. [Google Scholar] [CrossRef]
- Miyazaki, S.; Wayman, C.M. The R-phase transition and associated shape memory mechanism in Ti-Ni single crystals. Acta Metall. 1988, 36, 181–192. [Google Scholar] [CrossRef]
- Chen, Y.; Liu, Y.; Yu, K.; Yang, F.; Jiang, D.; Ren, Y.; Cui, L. Small-scale confined R-phase transformation in Ni47 Ti49 Fe2 Nb2 alloy. Materialia 2021, 20, 101262. [Google Scholar] [CrossRef]
- Chen, Y.; Li, A.; Ma, Z.; Wang, T.; Liu, Y.; Yu, K.; Yang, F.; Jiang, D.; Zhao, K.; Yang, H.; et al. Step-wise R phase transformation rendering high-stability two-way shape memory effect of a NiTiFe-Nb nanowire composite. Acta Mater. 2021, 219, 117258. [Google Scholar] [CrossRef]
- Fukuda, T.; Saburi, T.; Doi, K.; Nenno, S. Nucleation and Self-Accommodation of the R-Phase in Ti-Ni Alloys. Mater. Trans. JIM 1992, 33, 271–277. [Google Scholar] [CrossRef]
- Favier, D.; Louche, H.; Schlosser, P.; Orge’as, L.; Vacher, P.; Debove, L. Homogeneous and heterogeneous deformation mechanisms in an austenitic polycrystalline Ti-50.8 at.% Ni thin tube under tension. Investigation via temperature and strain fields measurements. Acta Mater. 2007, 55, 5310–5322. [Google Scholar] [CrossRef]
- Feng, B.; Kong, X.; Hao, S.; Liu, Y.; Yang, Y.; Yang, H.; Guo, F.; Jiang, D.; Wang, T.; Ren, Y.; et al. In-situ synchrotron high energy X-ray diffraction study of micromechanical behaviour of R phase reorientation in nanocrystalline NiTi alloy. Acta Mater. 2020, 194, 565–576. [Google Scholar] [CrossRef]
- Huo, X.; Chen, P.; Lahkar, S.; Jin, M.; Han, X.; Song, Y.; Wang, X. Occurrence of the R-phase with increased stability induced by low temperature precipitate-free aging in a Ni 50.9 Ti 49.1 alloy. Acta Mater. 2022, 227, 117688. [Google Scholar] [CrossRef]
- Gall, R.; Sehitoglu, Y.; Chumlyakov, Y.I.; Kireeva, I.V. Tension–compression asymmetry of the stress–strain response in aged single crystal and polycrystalline NiTi. Acta Mater. 1999, 47, 1203. [Google Scholar] [CrossRef]
- Zhang, X.; Sehitoglu, H. Crystallography of the B2 → R → B19 phase transformations in NiTi. Mater. Sci. Eng. A 2004, 374, 292–302. [Google Scholar] [CrossRef]
- Mao, S.C.; Luo, J.F.; Zhang, Z.; Wub, M.H.; Liu, Y.; Han, X.D. EBSD studies of the stress-induced B2–B19′ martensitic transformation in NiTi tubes under uniaxial tension and compression. Acta Mater. 2010, 58, 3357–3366. [Google Scholar] [CrossRef]







| Tannealing | 300 °C | 350 °C | 400 °C | 450 °C | 500 °C |
|---|---|---|---|---|---|
| Length, nm | 3 ÷ 5 | 10 ÷ 15 | 12 ÷ 35 | 20 ÷ 50 | 52 ÷ 200 |
| Width, nm | 3 ÷ 5 | 10 ÷ 12 | 10 ÷ 15 | 10 ÷ 17 | 17 ÷ 40 |
Publisher’s Note: MDPI stays neutral with regard to jurisdictional claims in published maps and institutional affiliations. |
© 2022 by the authors. Licensee MDPI, Basel, Switzerland. This article is an open access article distributed under the terms and conditions of the Creative Commons Attribution (CC BY) license (https://creativecommons.org/licenses/by/4.0/).
Share and Cite
Poletika, T.M.; Girsova, S.L.; Bitter, S.M.; Lotkov, A.I. Effect of Aging Treatments on the Structure, Deformation Response, and R Transformation in Nanocrystalline Ti–50.9 at.% Ni Alloy. Metals 2022, 12, 1725. https://doi.org/10.3390/met12101725
Poletika TM, Girsova SL, Bitter SM, Lotkov AI. Effect of Aging Treatments on the Structure, Deformation Response, and R Transformation in Nanocrystalline Ti–50.9 at.% Ni Alloy. Metals. 2022; 12(10):1725. https://doi.org/10.3390/met12101725
Chicago/Turabian StylePoletika, Tamara M., Svetlana L. Girsova, Sergey M. Bitter, and Aleksander I. Lotkov. 2022. "Effect of Aging Treatments on the Structure, Deformation Response, and R Transformation in Nanocrystalline Ti–50.9 at.% Ni Alloy" Metals 12, no. 10: 1725. https://doi.org/10.3390/met12101725
APA StylePoletika, T. M., Girsova, S. L., Bitter, S. M., & Lotkov, A. I. (2022). Effect of Aging Treatments on the Structure, Deformation Response, and R Transformation in Nanocrystalline Ti–50.9 at.% Ni Alloy. Metals, 12(10), 1725. https://doi.org/10.3390/met12101725

