Collapse of Externally Pressurized Steel–Composite Hybrid Cylinders: Analytical Solution and Experimental Verification
Abstract
:1. Introduction
2. Materials and Methods
2.1. Problem Definition
2.2. Mechanical Properties
2.3. Analytical Formulas
2.3.1. Designed Formula
2.3.2. Modified NASA SP-8700 Formula
2.3.3. Modified ASME Code 2007 (RD-1172) Formula
3. Results and Discussion
3.1. Verification of the Analytical Model
3.1.1. Steel-Only Cylinders
3.1.2. Steel–Composite Hybrid Cylinders
3.2. Effects of the Wrap Angle, Thickness, and Length on the Collapse Pressure
4. Conclusions
- (1)
- The derived formula can determine the collapse pressure of steel-only cylinders with acceptable accuracy. The errors of this formula with respect to the results obtained in two verification experiments were 0.020–0.069 and 0.027–0.031. The minimum errors of the proposed formula in these experiments were 0.020 and 0.027, which were lower than the corresponding errors of other analytical formulas.
- (2)
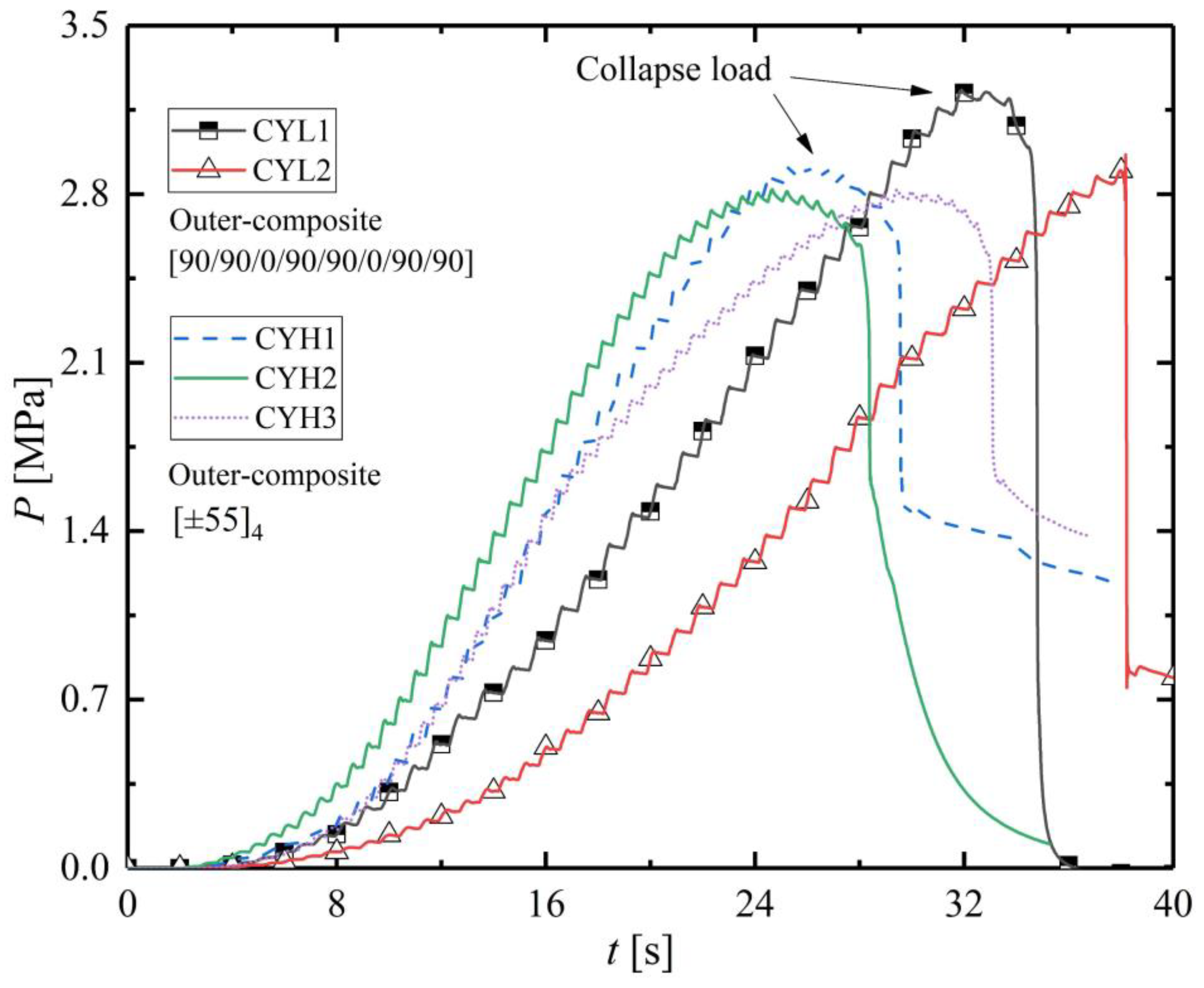
- The experimental results obtained for the steel–composite hybrid cylinders were repeatable. The maximum difference between the experimental collapse pressure was 8.29%. These findings indicate that samples are manufactured and tested with good quality. The average difference between the collapse pressure calculated using the proposed formula and the experimental results was 1.7% and 3.1% for the CYH and CYL cylinders, respectively. The derived formula considered material failure and could reasonably predict the collapse pressure of the steel–composite hybrid cylinders.
- (3)
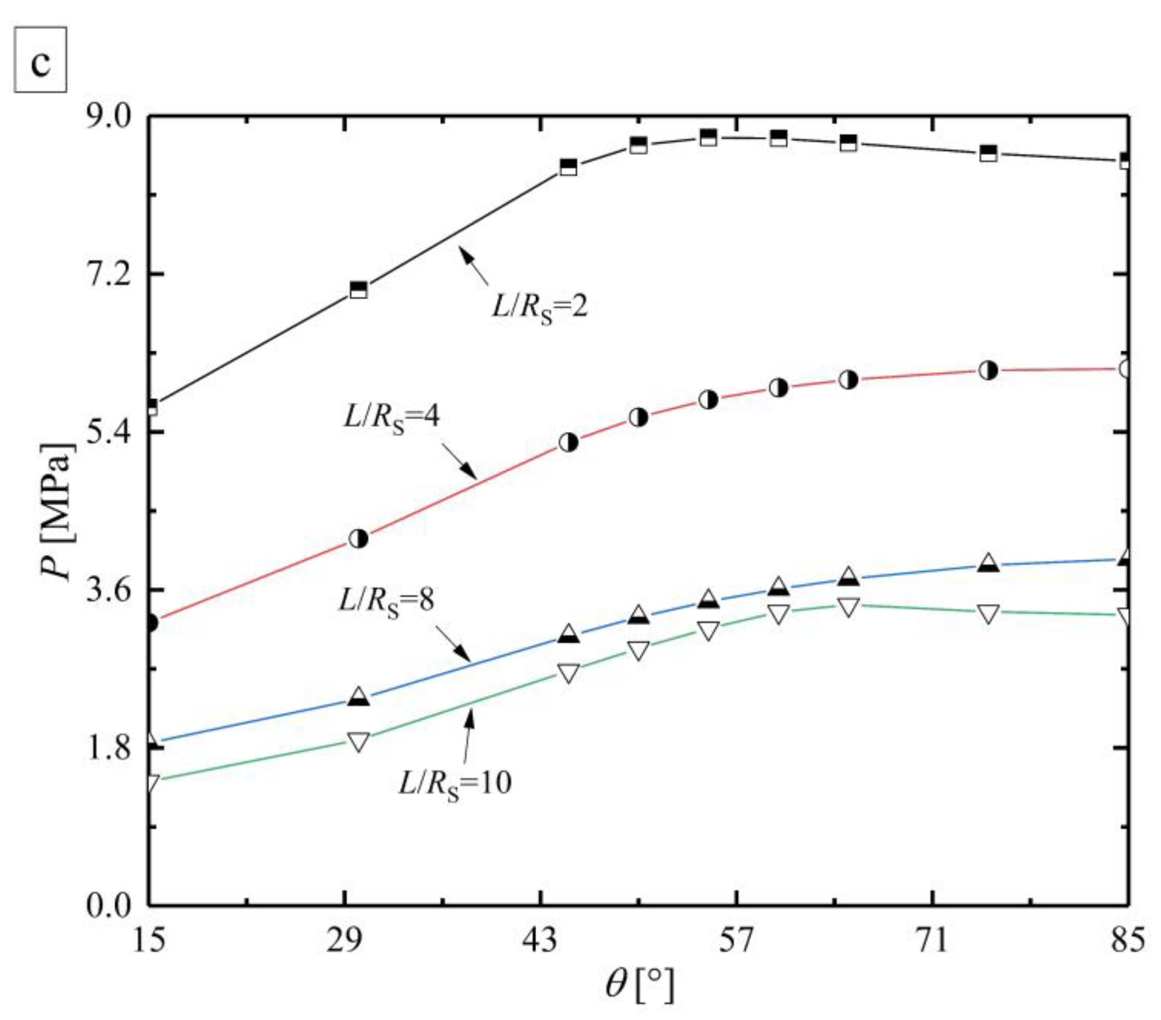
- An increase in wrap angle caused an increase in the collapse pressure (by up to 113.09%). Notably, the inflection points of the trends occur at a wrap angle ranging from 55° to 65°. The maximum collapse pressure was observed. The aforementioned results suggest that the loading capacity of steel–composite hybrid cylinders can be maximized under a wrap angle of ±55°. These findings are mainly because the hoop stress is twice the value of axial stress for cylinders under uniform pressure.
- (4)
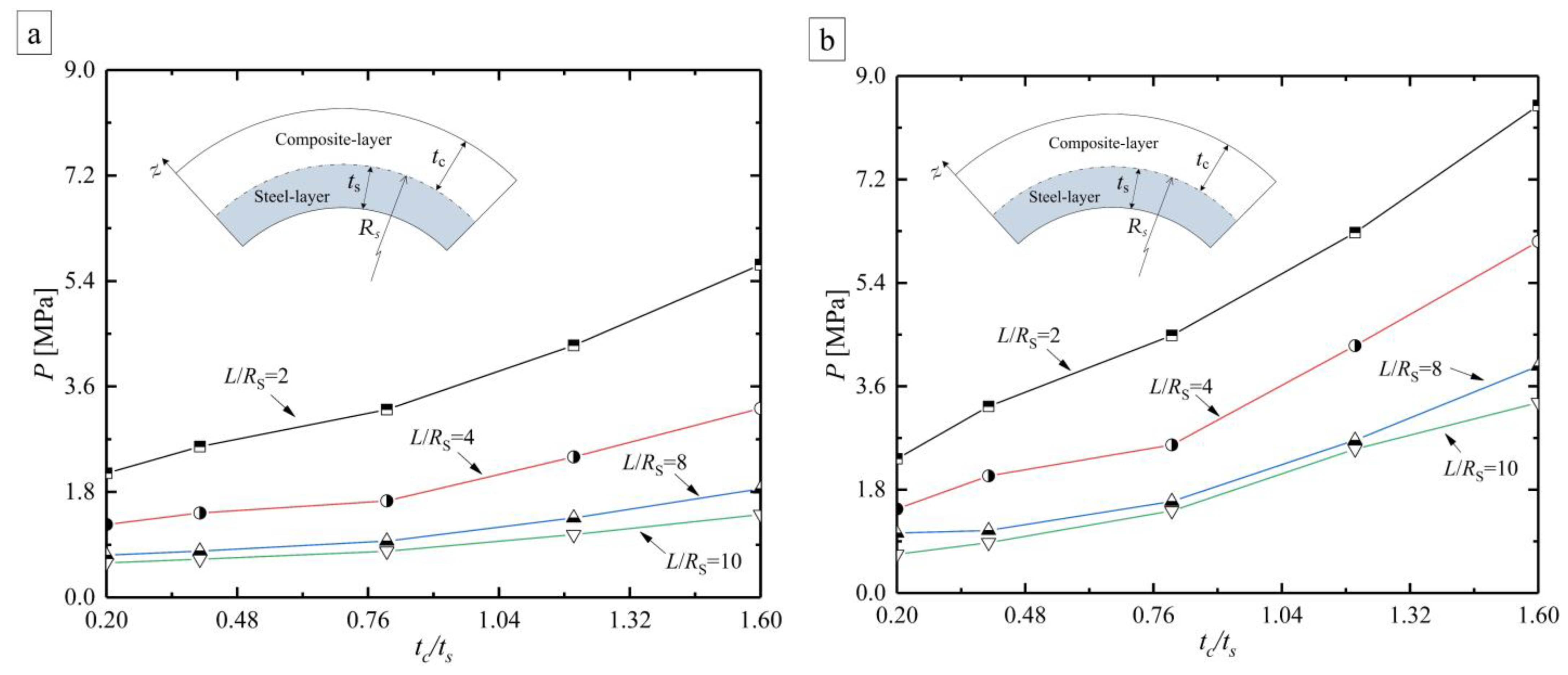
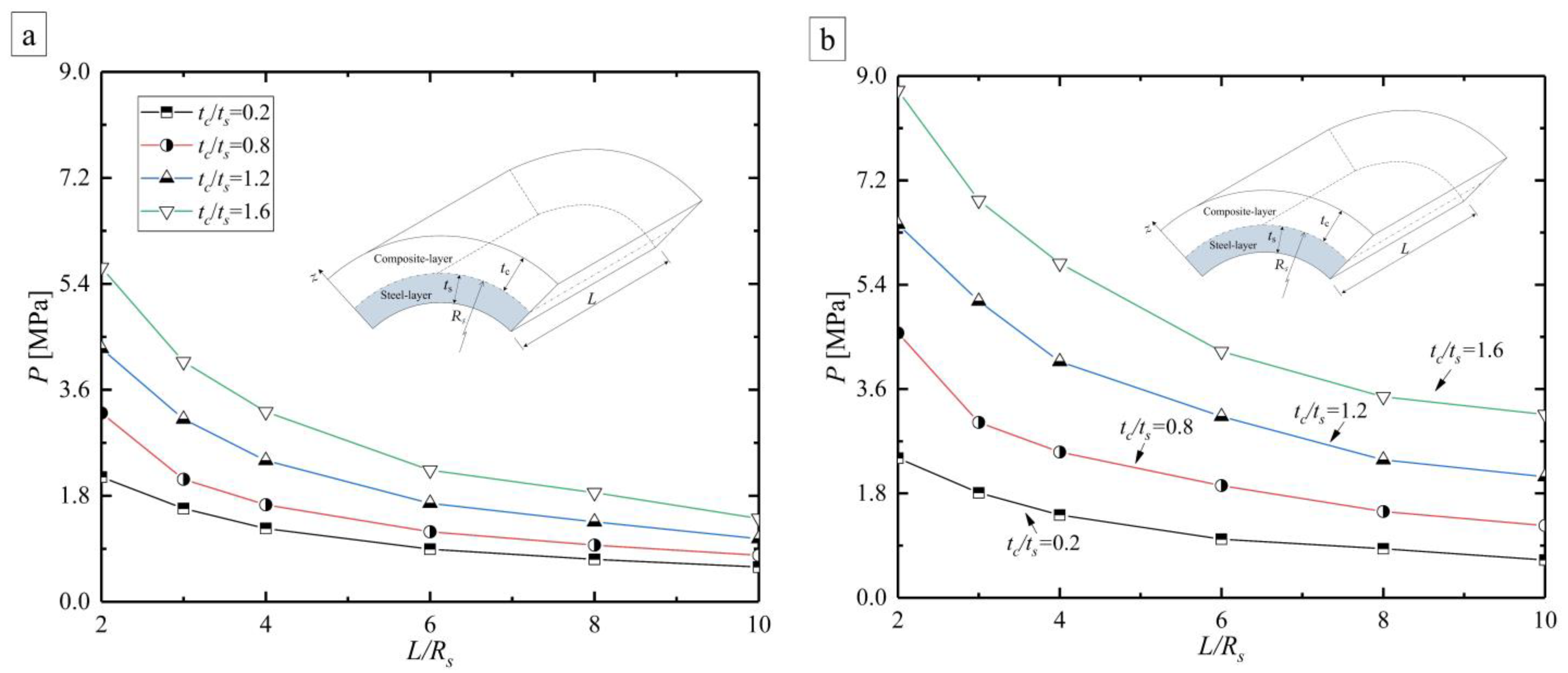
- For each cylinder length, the collapse pressure monotonically increased as the thickness ratios of the composite layer to the steel layer increased. However, the rate of this increase was reduced as the length-to-radius ratio increased and was considerably affected by the wrap angle. That is because the loading capacity of the longer cylinders considerably decreases. The thickness increasing plays a weak part in improving the loading capacity of the longer cylinders. Moreover, as the length-to-radius ratio increased, the collapse pressure initially decreased rapidly and then decreased gradually. These findings are mainly because the collapse resistance is considerably higher for shorter cylinders. The length plays a prominent part in improving the loading capacity of the shorter cylinders.
Author Contributions
Funding
Data Availability Statement
Conflicts of Interest
References
- Magnucki, K.; Jasion, P.; Rodak, M. Strength and Buckling of an Untypical Dished Head of a Cylindrical Pressure Vessel. Int. J. Press. Vessel. Pip. 2018, 161, 17–21. [Google Scholar] [CrossRef]
- Magnucki, K.; Lewinski, J.; Cichy, R. Strength and Buckling Problems of Dished Heads of Pressure Vessels-Contemporary Look. J. Press. Vessel Technol. Trans. ASME 2018, 140, 041201. [Google Scholar] [CrossRef]
- Blachut, J. Buckling of Cylinders with Imperfect Length. In Proceedings of the ASME 2013 Pressure Vessels and Piping Conference, Paris, France, 14–18 July 2013; pp. 1–9. [Google Scholar]
- Błachut, J. Experimental Perspective on the Buckling of Pressure Vessel Components. Appl. Mech. Rev. 2014, 66, 30–33. [Google Scholar] [CrossRef]
- Blachut, J.; Magnucki, K. Strength, Stability, and Optimization of Pressure Vessels: Review of Selected Problems. Appl. Mech. Rev. 2008, 61, 0608011–06080133. [Google Scholar] [CrossRef]
- Zhang, J.; Zhu, Z.; Wang, F.; Zhao, X.; Zhu, Y. Buckling Behaviour of Double-Layer and Single-Layer Stainless Steel Cylinders under External Pressure. Thin-Walled Struct. 2021, 161, 107485. [Google Scholar] [CrossRef]
- Khamlichi, A.; Bezzazi, M.; Limam, A. Buckling of Elastic Cylindrical Shells Considering the Effect of Localized Axisymmetric Imperfections. Thin-Walled Struct. 2004, 42, 1035–1047. [Google Scholar] [CrossRef]
- Fatemi, S.M.; Showkati, H.; Maali, M. Experiments on Imperfect Cylindrical Shells under Uniform External Pressure. Thin-Walled Struct. 2013, 65, 14–25. [Google Scholar] [CrossRef]
- Ifayefunmi, O.; Fadzullah, S.H.S.M. Buckling Behaviour of Imperfect Axially Compressed Cylinder with an Axial Crack. Int. J. Automot. Mech. Eng. 2017, 14, 3837–3848. [Google Scholar] [CrossRef]
- Błachut, J. Buckling of Axially Compressed Cylinders with Imperfect Length. Comput. Struct. 2010, 88, 365–374. [Google Scholar] [CrossRef]
- Zhang, Y.; Liu, Z.; Xin, J.; Wang, Y.; Zhang, C.; Zhang, Y. The Attenuation Mechanism of CFRP Repaired Corroded Marine Pipelines Based on Experiments and FEM. Thin-Walled Struct. 2021, 169, 108469. [Google Scholar] [CrossRef]
- Vukelic, G.; Vizentin, G.; Bakhtiari, R. Failure Analysis of a Steel Pressure Vessel with a Composite Wrap Repair Proposal. Int. J. Press. Vessel. Pip. 2021, 193, 104476. [Google Scholar] [CrossRef]
- Kr Singh, D.; Villamayor, A.; Hazra, A. Numerical and Experimental Analysis of Loctite Adhesive Composite Wrapping on En 10028 Steel Pipe. Mater. Today Proc. 2020, 44, 4158–4165. [Google Scholar] [CrossRef]
- Maali, M.; Kılıç, M.; Yaman, Z.; Ağcakoca, E.; Aydın, A.C. Buckling and Post-Buckling Behavior of Various Dented Cylindrical Shells Using CFRP Strips Subjected to Uniform External Pressure: Comparison of Theoretical and Experimental Data. Thin-Walled Struct. 2019, 137, 29–39. [Google Scholar] [CrossRef]
- Draidi, Z.; Bui, T.T.; Limam, A.; Tran, H.V.; Bennani, A. Buckling Behavior of Metallic Cylindrical Shell Structures Strengthened with CFRP Composite. Adv. Civ. Eng. 2018, 2018, 4231631. [Google Scholar] [CrossRef]
- Carvelli, V.; Panzeri, N.; Poggi, C. Buckling Strength of GFRP Under-Water Vehicles. Compos. Part B Eng. 2001, 32, 89–101. [Google Scholar] [CrossRef]
- Özbek, Ö. Axial and Lateral Buckling Analysis of Kevlar/Epoxy Fiber-Reinforced Composite Laminates Incorporating Silica Nanoparticles. Polym. Compos. 2021, 42, 1109–1122. [Google Scholar] [CrossRef]
- Ross, C.T.F. A Conceptual Design of an Underwater Vehicle. Ocean Eng. 2006, 33, 2087–2104. [Google Scholar] [CrossRef]
- Davies, P.; Choqueuse, D.; Bigourdan, B.; Chauchot, P. Composite Cylinders for Deep Sea Applications: An Overview. J. Press. Vessel Technol. Trans. ASME 2016, 138, 060904. [Google Scholar] [CrossRef]
- Wei, R.; Pan, G.; Jiang, J.; Shen, K.; Lyu, D. An Efficient Approach for Stacking Sequence Optimization of Symmetrical Laminated Composite Cylindrical Shells Based on a Genetic Algorithm. Thin-Walled Struct. 2019, 142, 160–170. [Google Scholar] [CrossRef]
- Teng, J.G.; Hu, Y.M. Behaviour of FRP-Jacketed Circular Steel Tubes and Cylindrical Shells under Axial Compression. Constr. Build. Mater. 2007, 21, 827–838. [Google Scholar] [CrossRef]
- Choqueuse, D.; Bigourdan, B.; Deuff, A.; Douchin, B.; Quetel, L. Hydrostatic Compression Behaviour of Steel-Composite Hybrid Tubes. In Proceedings of the 17th International Conference on Composite Materials, Edinburgh, UK, 27–31 July 2009. [Google Scholar]
- Vakili, M.; Showkati, H. Experimental and Numerical Investigation of Elephant Foot Buckling and Retrofitting of Cylindrical Shells by FRP. J. Compos. Constr. 2016, 20, 04015087. [Google Scholar] [CrossRef]
- Ventsel, E.S.; Krauthammer, T.; Carrera, E. Thin Plates and Shells: Theory: Analysis, and Applications; CRC Press: Boca Raton, FL, USA, 2001. [Google Scholar]
- Ross, C. A Proposed Design Chart to Predict the Inelastic Buckling Pressures for Conical Shells Under Uniform External Pressure. Mar. Technol. 2007, 44, 77–81. [Google Scholar] [CrossRef]
- Society, China Classification, Specification for the Entry and Construction of Diving Systems and Submersible; People Traffic Press: Beijing, China, 2018.
- American Bureau of Shipping. Underwater Vehicles, Systems and Hyperbaric Facilities; American Bureau of Shipping: Houston, TX, USA, 2012. [Google Scholar]
- Buckling of Thin-Walled Circular Cylinders(NASA/SP-8007); National Aeronautics and Space Administration: Moffett Field, CA, USA, 2020.
- Section: X Fiber-Reinforced Plastic Pressure Vessel; ASME Boiler and Pressure Vessel Code; The American Society of Mechanical Engineers: New York, NY, USA, 2017.
- Liu, J.; Yu, B.; Zhou, Y.; Zhang, Y.; Duan, M. The Buckling of Spherical-Cylindrical Composite Shells by External Pressure. Compos. Struct. 2021, 265, 113773. [Google Scholar] [CrossRef]
- Rosenow, M.W.K. Wind Angle Effects in Glass Fibre-Reinforced Polyester Filament Wound Pipes. Composites 1984, 15, 144–152. [Google Scholar] [CrossRef]
- Imran, M.; Shi, D.; Tong, L.; Elahi, A.; Waqas, H.M.; Uddin, M. Multi-Objective Design Optimization of Composite Submerged Cylindrical Pressure Hull for Minimum Buoyancy Factor and Maximum Buckling Load Capacity. Def. Technol. 2021, 17, 1190–1206. [Google Scholar] [CrossRef]
- Imran, M.; Shi, D.; Tong, L.; Waqas, H.M. Design Optimization of Composite Submerged Cylindrical Pressure Hull Using Genetic Algorithm and Finite Element Analysis. Ocean Eng. 2019, 190, 106443. [Google Scholar] [CrossRef]
- Imran, M.; Shi, D.; Tong, L.; Elahi, A.; Uddin, M. On the Elastic Buckling of Cross-Ply Composite Closed Cylindrical Shell under Hydrostatic Pressure. Ocean Eng. 2021, 227, 108633. [Google Scholar] [CrossRef]
- Lopatin, A.V.; Morozov, E.V. Buckling of Composite Cylindrical Shells with Rigid End Disks under Hydrostatic Pressure. Compos. Struct. 2017, 173, 136–143. [Google Scholar] [CrossRef]
- Lopatin, A.V.; Morozov, E.V. Buckling of the Composite Sandwich Cylindrical Shell with Clamped Ends under Uniform External Pressure. Compos. Struct. 2015, 122, 209–216. [Google Scholar] [CrossRef]
- Bai, Y.; Xu, W.; Cheng, P.; Wang, N.; Ruan, W. Behaviour of Reinforced Thermoplastic Pipe (RTP) under Combined External Pressure and Tension. Ships Offshore Struct. 2014, 9, 464–474. [Google Scholar] [CrossRef]
- Bai, Y.; Ruan, W.; Cheng, P.; Yu, B.; Xu, W. Buckling of Reinforced Thermoplastic Pipe (RTP) under Combined Bending and Tension. Ships Offshore Struct. 2014, 9, 525–539. [Google Scholar] [CrossRef]
- Bai, Y.; Yuan, S.; Tang, J.; Qiao, H.; Cheng, P.; Cao, Y.; Wang, N. Behaviour of Reinforced Thermoplastic Pipe under Combined Bending and External Pressure. Ships Offshore Struct. 2015, 10, 575–586. [Google Scholar] [CrossRef]
- Messager, T. Buckling of Imperfect Laminated Cylinders under Hydrostatic Pressure. Compos. Struct. 2001, 53, 301–307. [Google Scholar] [CrossRef]
- GB/T 3280-2015; Cold Rolled Stainless Steel Plate, Sheet and Strip. Chinese Standard Instutute: Beijing, China, 2016.
- ASTM A959-16; Standard Guide for Specifying Harmonized Standard Grade Composition. American Society of Testing Materials: West Conshohoken, PA, USA, 2016.
- Błachut, J. On Elastic-Plastic Buckling of Cones. Thin-Walled Struct. 2011, 49, 45–52. [Google Scholar] [CrossRef]
- Błachut, J. Buckling of Externally Pressurized Steel Toriconical Shells. Int. J. Press. Vessel. Pip. 2016, 144, 25–34. [Google Scholar] [CrossRef]
- Jaspart, J.P. Extending of the Merchant-Rankine Formula for the Assessment of the Ultimate Load of Frames with Semi-Rigid Joints. J. Constr. Steel Res. 1988, 11, 283–312. [Google Scholar] [CrossRef]
- Shen, K.C.; Pan, G. Buckling and Strain Response of Filament Winding Composite Cylindrical Shell Subjected to Hydrostatic Pressure: Numerical Solution and Experiment. Compos. Struct. 2021, 276, 114534. [Google Scholar] [CrossRef]
- Zhu, Y.; Dai, Y.; Ma, Q.; Tang, W. Buckling of Externally Pressurized Cylindrical Shell: A Comparison of Theoretical and Experimental Data. Thin-Walled Struct. 2018, 129, 309–316. [Google Scholar] [CrossRef]
- Ross, C.T.F.; Little, A.P.F.; Haidar, Y.; Waheeb, A.A. Buckling of Carbon/Glass Composite Tubes under Uniform External Hydrostatic Pressure. Strain 2011, 47, 156–174. [Google Scholar] [CrossRef]
- Rules for Classification of Diving Systems and Submersibles; China Classification Society: Beijing, China, 2018; ISBN 0086010581128.
- Cho, Y.S.; Oh, D.H.; Paik, J.K. An Empirical Formula for Predicting the Collapse Strength of Composite Cylindrical-Shell Structures under External Pressure Loads. Ocean Eng. 2019, 172, 191–198. [Google Scholar] [CrossRef]
- Carroll, M.; Ellyin, F.; Kujawski, D.; Chiu, A.S. The Rate-Dependent Behaviour of ±55° Filament-Wound Glass-Fibre/Epoxy Tubes under Biaxial Loading. Compos. Sci. Technol. 1995, 55, 391–403. [Google Scholar] [CrossRef]
- Liu, W.; Soden, P.D.; Kaddour, A.S. Design of End Plugs and Specimen Reinforcement for Testing ± 55° Glass/Epoxy Composite Tubes under Biaxial Compression. Comput. Struct. 2005, 83, 976–988. [Google Scholar] [CrossRef]















| Case I [47] | [47] | Difference | |||||||
|---|---|---|---|---|---|---|---|---|---|
| CCS-Test | ABS-Test | C-Test | |||||||
| L/R = 1.0 | 4.500 | 3.600 | 4.800 | 5.029 | 4.228 | 4.898 | 0.063 | 0.250 | 0.020 |
| L/R = 1.5 | 3.520 | 2.450 | 3.270 | 3.446 | 2.670 | 3.386 | 0.076 | 0.251 | 0.035 |
| L/R = 2.0 | 2.900 | 1.870 | 2.970 | 2.805 | 2.003 | 2.765 | 0.024 | 0.370 | 0.069 |
| Case II [6] | [6] | Difference | |||||||
|---|---|---|---|---|---|---|---|---|---|
| V-K-Test | Ross-Test | C-Test | |||||||
| SL1 | 4.802 | 4.949 | 4.621 | 4.833 | 3.850 | 4.747 | 0.039 | 0.071 | 0.027 |
| SL2 | 4.958 | 5.113 | 4.683 | 4.916 | 3.912 | 4.827 | 0.059 | 0.092 | 0.031 |
| Sample | θ (°) | Difference | |||||||
|---|---|---|---|---|---|---|---|---|---|
| NASA-Test | ASME-Test | C-Test | |||||||
| CYH1 | [±55]4 | 2.920 | 2.853 | 3.581 | 2.448 | 2.805 | 0.255 | 0.142 | 0.017 |
| CYH2 | 2.819 | ||||||||
| CYH3 | 2.820 | ||||||||
| CYL1 | [90/90/ 0/90/90 /0/90/90] | 3.232 | 3.098 | 4.241 | 2.798 | 3.194 | 0.369 | 0.097 | 0.031 |
| CYL2 | 2.964 | ||||||||
| tc/ts | θ (°) | ||||||||
|---|---|---|---|---|---|---|---|---|---|
| 15 | 30 | 45 | 50 | 55 | 60 | 65 | 75 | 85 | |
| 0.2 | n = 4![]() | n = 4![]() | n = 4![]() | n = 4![]() | n = 4![]() | n = 4![]() | n = 4![]() | n = 4![]() | n = 4![]() |
| 0.8 | n = 4![]() | n = 4![]() | n = 4![]() | n = 4![]() | n = 4![]() | n = 4![]() | n = 4![]() | n = 4![]() | n = 4![]() |
| 1.6 | n = 4![]() | n = 4![]() | n = 3![]() | n = 3![]() | n = 3![]() | n = 3![]() | n = 3![]() | n = 3![]() | n = 3![]() |
| tc/ts | θ (°) | |||||||
|---|---|---|---|---|---|---|---|---|
| 0.2 | 15 | 4.266 | 1.640 | 2.627 | 2.865 | 1.489 | 0.382 | 0.917 |
| 30 | 4.407 | 1.658 | 2.823 | 2.918 | 1.511 | 0.379 | 0.968 | |
| 45 | 4.641 | 1.745 | 3.015 | 3.039 | 1.527 | 0.383 | 0.992 | |
| 50 | 4.730 | 1.791 | 3.047 | 3.091 | 1.531 | 0.386 | 0.986 | |
| 55 | 4.820 | 1.842 | 3.059 | 3.145 | 1.533 | 0.391 | 0.973 | |
| 60 | 4.905 | 1.896 | 3.056 | 3.200 | 1.533 | 0.395 | 0.955 | |
| 65 | 4.983 | 1.948 | 3.042 | 3.252 | 1.532 | 0.399 | 0.935 | |
| 75 | 5.104 | 2.036 | 3.007 | 3.343 | 1.527 | 0.406 | 0.900 | |
| 85 | 5.167 | 2.085 | 2.985 | 3.397 | 1.521 | 0.409 | 0.879 | |
| 0.8 | 15 | 6.106 | 2.175 | 3.805 | 3.798 | 1.608 | 0.382 | 1.002 |
| 30 | 7.333 | 2.346 | 4.465 | 4.337 | 1.691 | 0.361 | 1.030 | |
| 45 | 9.344 | 3.018 | 5.422 | 5.397 | 1.731 | 0.373 | 1.005 | |
| 50 | 9.672 | 3.324 | 5.546 | 5.813 | 1.664 | 0.381 | 0.954 | |
| 55 | 9.957 | 3.638 | 5.611 | 6.223 | 1.600 | 0.390 | 0.902 | |
| 60 | 10.192 | 3.938 | 5.636 | 6.608 | 1.542 | 0.397 | 0.853 | |
| 65 | 10.374 | 4.207 | 5.641 | 6.951 | 1.492 | 0.403 | 0.812 | |
| 75 | 10.600 | 4.617 | 5.640 | 7.471 | 1.419 | 0.412 | 0.755 | |
| 85 | 10.689 | 4.832 | 5.640 | 7.744 | 1.380 | 0.416 | 0.728 | |
| 1.6 | 15 | 11.639 | 3.966 | 6.441 | 6.308 | 1.845 | 0.419 | 1.021 |
| 30 | 15.872 | 4.543 | 7.962 | 8.440 | 1.881 | 0.359 | 0.943 | |
| 45 | 20.627 | 6.455 | 9.796 | 11.866 | 1.738 | 0.363 | 0.826 | |
| 50 | 22.039 | 7.331 | 10.207 | 12.405 | 1.777 | 0.394 | 0.823 | |
| 55 | 23.225 | 8.185 | 10.429 | 12.882 | 1.803 | 0.424 | 0.810 | |
| 60 | 24.161 | 8.962 | 10.535 | 13.629 | 1.773 | 0.438 | 0.773 | |
| 65 | 24.850 | 9.630 | 10.597 | 13.631 | 1.823 | 0.471 | 0.777 | |
| 75 | 25.603 | 10.601 | 10.687 | 14.123 | 1.813 | 0.500 | 0.757 | |
| 85 | 25.693 | 11.089 | 10.715 | 14.375 | 1.787 | 0.514 | 0.745 |
| θ (°) | Difference | Difference | ||||||||||
|---|---|---|---|---|---|---|---|---|---|---|---|---|
| NASA-C | ASME-C | NASA-C | ASME-C | |||||||||
| 2 | 15 | 3.073 | 2.187 | 2.120 | 0.450 | 0.032 | 6 | 1.029 | 0.729 | 0.894 | 0.151 | 0.185 |
| 30 | 3.189 | 2.211 | 2.268 | 0.406 | 0.025 | 1.060 | 0.737 | 0.934 | 0.135 | 0.211 | ||
| 45 | 3.312 | 2.327 | 2.392 | 0.385 | 0.027 | 1.110 | 0.776 | 0.984 | 0.129 | 0.211 | ||
| 50 | 3.348 | 2.388 | 2.407 | 0.391 | 0.008 | 1.130 | 0.796 | 0.998 | 0.132 | 0.202 | ||
| 55 | 3.381 | 2.457 | 2.409 | 0.404 | 0.020 | 1.149 | 0.819 | 1.011 | 0.137 | 0.190 | ||
| 60 | 3.412 | 2.528 | 2.401 | 0.421 | 0.053 | 1.168 | 0.842 | 1.021 | 0.144 | 0.175 | ||
| 65 | 3.439 | 2.597 | 2.388 | 0.440 | 0.088 | 1.185 | 0.866 | 1.029 | 0.152 | 0.159 | ||
| 75 | 3.477 | 2.714 | 2.357 | 0.475 | 0.151 | 1.212 | 0.905 | 1.040 | 0.166 | 0.130 | ||
| 85 | 3.496 | 2.781 | 2.339 | 0.495 | 0.189 | 1.226 | 0.927 | 1.045 | 0.174 | 0.113 | ||
| 3 | 15 | 2.061 | 1.458 | 1.584 | 0.302 | 0.079 | 8 | 0.807 | 0.547 | 0.722 | 0.118 | 0.242 |
| 30 | 2.139 | 1.474 | 1.681 | 0.272 | 0.123 | 0.837 | 0.553 | 0.757 | 0.107 | 0.269 | ||
| 45 | 2.262 | 1.552 | 1.792 | 0.263 | 0.134 | 0.894 | 0.582 | 0.810 | 0.104 | 0.281 | ||
| 50 | 2.287 | 1.592 | 1.805 | 0.267 | 0.118 | 0.917 | 0.597 | 0.828 | 0.107 | 0.279 | ||
| 55 | 2.312 | 1.638 | 1.812 | 0.276 | 0.096 | 0.940 | 0.614 | 0.845 | 0.112 | 0.274 | ||
| 60 | 2.334 | 1.685 | 1.812 | 0.288 | 0.070 | 0.964 | 0.632 | 0.861 | 0.119 | 0.266 | ||
| 65 | 2.354 | 1.731 | 1.809 | 0.301 | 0.043 | 0.986 | 0.632 | 0.875 | 0.126 | 0.278 | ||
| 75 | 2.385 | 1.809 | 1.799 | 0.326 | 0.006 | 1.016 | 0.679 | 0.892 | 0.139 | 0.240 | ||
| 85 | 2.400 | 1.853 | 1.791 | 0.340 | 0.034 | 1.020 | 0.695 | 0.891 | 0.144 | 0.220 | ||
| 4 | 15 | 1.524 | 1.094 | 1.246 | 0.223 | 0.122 | 10 | 0.645 | 0.437 | 0.590 | 0.094 | 0.258 |
| 30 | 1.574 | 1.106 | 1.311 | 0.200 | 0.157 | 0.662 | 0.442 | 0.610 | 0.084 | 0.275 | ||
| 45 | 1.657 | 1.164 | 1.390 | 0.192 | 0.163 | 0.687 | 0.465 | 0.637 | 0.080 | 0.269 | ||
| 50 | 1.689 | 1.194 | 1.411 | 0.197 | 0.154 | 0.697 | 0.478 | 0.645 | 0.081 | 0.259 | ||
| 55 | 1.721 | 1.228 | 1.428 | 0.206 | 0.140 | 0.707 | 0.491 | 0.652 | 0.084 | 0.246 | ||
| 60 | 1.752 | 1.264 | 1.441 | 0.216 | 0.123 | 0.716 | 0.505 | 0.658 | 0.088 | 0.232 | ||
| 65 | 1.780 | 1.299 | 1.449 | 0.228 | 0.104 | 0.725 | 0.519 | 0.663 | 0.093 | 0.217 | ||
| 75 | 1.823 | 1.357 | 1.459 | 0.249 | 0.070 | 0.738 | 0.543 | 0.670 | 0.101 | 0.190 | ||
| 85 | 1.845 | 1.390 | 1.463 | 0.261 | 0.050 | 0.745 | 0.556 | 0.674 | 0.105 | 0.175 | ||
| θ (°) | Difference | Difference | ||||||||||
|---|---|---|---|---|---|---|---|---|---|---|---|---|
| NASA-C | ASME-C | NASA-C | ASME-C | |||||||||
| 2 | 15 | 3.456 | 2.453 | 2.575 | 0.342 | 0.047 | 6 | 1.133 | 0.784 | 1.018 | 0.112 | 0.230 |
| 30 | 3.742 | 2.456 | 2.818 | 0.328 | 0.129 | 1.216 | 0.809 | 1.099 | 0.106 | 0.264 | ||
| 45 | 4.039 | 2.731 | 3.077 | 0.313 | 0.112 | 1.355 | 0.910 | 1.226 | 0.105 | 0.258 | ||
| 50 | 4.136 | 2.882 | 3.138 | 0.318 | 0.081 | 1.407 | 0.961 | 1.234 | 0.140 | 0.222 | ||
| 55 | 4.223 | 3.045 | 3.179 | 0.328 | 0.042 | 1.458 | 1.015 | 1.270 | 0.148 | 0.201 | ||
| 60 | 4.299 | 3.209 | 3.206 | 0.341 | 0.001 | 1.507 | 1.070 | 1.303 | 0.157 | 0.179 | ||
| 65 | 4.359 | 3.363 | 3.223 | 0.353 | 0.044 | 1.550 | 1.121 | 1.329 | 0.166 | 0.157 | ||
| 75 | 4.434 | 3.613 | 3.241 | 0.368 | 0.115 | 1.615 | 1.204 | 1.367 | 0.181 | 0.119 | ||
| 85 | 4.464 | 3.751 | 3.249 | 0.374 | 0.154 | 1.647 | 1.250 | 1.385 | 0.189 | 0.097 | ||
| 3 | 15 | 2.285 | 1.567 | 1.863 | 0.226 | 0.159 | 8 | 0.880 | 0.588 | 0.792 | 0.111 | 0.258 |
| 30 | 2.492 | 1.618 | 2.046 | 0.218 | 0.209 | 0.960 | 0.607 | 0.868 | 0.106 | 0.301 | ||
| 45 | 2.720 | 1.821 | 2.247 | 0.211 | 0.190 | 1.110 | 0.683 | 1.000 | 0.111 | 0.317 | ||
| 50 | 2.790 | 1.922 | 2.297 | 0.215 | 0.163 | 1.170 | 0.721 | 1.048 | 0.117 | 0.312 | ||
| 55 | 2.855 | 2.030 | 2.336 | 0.222 | 0.131 | 1.188 | 0.761 | 1.060 | 0.120 | 0.282 | ||
| 60 | 2.912 | 2.139 | 2.366 | 0.231 | 0.096 | 1.203 | 0.802 | 1.069 | 0.125 | 0.250 | ||
| 65 | 2.961 | 2.242 | 2.389 | 0.240 | 0.061 | 1.217 | 0.841 | 1.076 | 0.131 | 0.219 | ||
| 75 | 3.029 | 2.409 | 2.421 | 0.251 | 0.005 | 1.236 | 0.903 | 1.086 | 0.139 | 0.168 | ||
| 85 | 3.061 | 2.500 | 2.436 | 0.256 | 0.026 | 1.246 | 0.938 | 1.090 | 0.143 | 0.140 | ||
| 4 | 15 | 1.683 | 1.176 | 1.442 | 0.167 | 0.185 | 10 | 0.710 | 0.470 | 0.651 | 0.090 | 0.278 |
| 30 | 1.819 | 1.213 | 1.569 | 0.159 | 0.227 | 0.755 | 0.485 | 0.697 | 0.083 | 0.303 | ||
| 45 | 2.046 | 1.366 | 1.766 | 0.158 | 0.227 | 0.827 | 0.546 | 0.764 | 0.082 | 0.285 | ||
| 50 | 2.131 | 1.441 | 1.831 | 0.164 | 0.213 | 0.854 | 0.576 | 0.787 | 0.085 | 0.267 | ||
| 55 | 2.215 | 1.523 | 1.889 | 0.172 | 0.194 | 0.880 | 0.609 | 0.808 | 0.089 | 0.246 | ||
| 60 | 2.292 | 1.604 | 1.940 | 0.182 | 0.173 | 0.905 | 0.642 | 0.827 | 0.094 | 0.224 | ||
| 65 | 2.361 | 1.682 | 1.982 | 0.191 | 0.152 | 0.927 | 0.673 | 0.843 | 0.099 | 0.202 | ||
| 75 | 2.449 | 1.807 | 2.035 | 0.203 | 0.112 | 0.960 | 0.723 | 0.867 | 0.108 | 0.166 | ||
| 85 | 2.462 | 1.875 | 2.041 | 0.206 | 0.081 | 0.977 | 0.750 | 0.879 | 0.112 | 0.146 | ||
| θ (°) | Difference | Difference | ||||||||||
|---|---|---|---|---|---|---|---|---|---|---|---|---|
| NASA-C | ASME-C | NASA-C | ASME-C | |||||||||
| 2 | 15 | 4.697 | 3.113 | 3.206 | 0.465 | 0.029 | 6 | 1.445 | 0.906 | 1.190 | 0.215 | 0.239 |
| 30 | 5.484 | 3.335 | 3.704 | 0.480 | 0.100 | 1.715 | 1.043 | 1.399 | 0.225 | 0.255 | ||
| 45 | 6.506 | 4.024 | 4.326 | 0.504 | 0.070 | 2.171 | 1.341 | 1.734 | 0.252 | 0.226 | ||
| 50 | 6.820 | 4.432 | 4.473 | 0.525 | 0.009 | 2.338 | 1.477 | 1.842 | 0.270 | 0.198 | ||
| 55 | 7.086 | 4.850 | 4.568 | 0.551 | 0.062 | 2.499 | 1.617 | 1.935 | 0.292 | 0.164 | ||
| 60 | 7.202 | 5.250 | 4.584 | 0.571 | 0.145 | 2.645 | 1.750 | 2.012 | 0.315 | 0.130 | ||
| 65 | 7.226 | 5.609 | 4.560 | 0.584 | 0.230 | 2.770 | 1.870 | 2.073 | 0.336 | 0.098 | ||
| 75 | 7.212 | 6.156 | 4.512 | 0.599 | 0.364 | 2.813 | 2.052 | 2.083 | 0.350 | 0.015 | ||
| 85 | 7.182 | 6.443 | 4.484 | 0.602 | 0.437 | 2.812 | 2.148 | 2.077 | 0.353 | 0.034 | ||
| 3 | 15 | 3.011 | 2.016 | 2.080 | 0.447 | 0.031 | 8 | 1.122 | 0.716 | 0.962 | 0.167 | 0.255 |
| 30 | 3.552 | 2.106 | 2.422 | 0.467 | 0.130 | 1.371 | 0.782 | 1.162 | 0.180 | 0.327 | ||
| 45 | 4.245 | 2.683 | 2.843 | 0.493 | 0.057 | 1.669 | 1.006 | 1.398 | 0.194 | 0.280 | ||
| 50 | 4.474 | 2.955 | 2.951 | 0.516 | 0.001 | 1.738 | 1.108 | 1.447 | 0.200 | 0.234 | ||
| 55 | 4.679 | 3.234 | 3.026 | 0.546 | 0.068 | 1.800 | 1.213 | 1.488 | 0.210 | 0.185 | ||
| 60 | 4.850 | 3.500 | 3.075 | 0.577 | 0.138 | 1.856 | 1.313 | 1.520 | 0.221 | 0.137 | ||
| 65 | 4.984 | 3.739 | 3.106 | 0.605 | 0.204 | 1.903 | 1.402 | 1.546 | 0.231 | 0.093 | ||
| 75 | 5.146 | 4.104 | 3.137 | 0.641 | 0.308 | 1.967 | 1.539 | 1.580 | 0.245 | 0.026 | ||
| 85 | 5.204 | 4.295 | 3.146 | 0.654 | 0.365 | 1.997 | 1.611 | 1.596 | 0.251 | 0.009 | ||
| 4 | 15 | 2.181 | 1.450 | 1.647 | 0.324 | 0.119 | 10 | 0.894 | 0.573 | 0.789 | 0.133 | 0.274 |
| 30 | 2.619 | 1.564 | 1.949 | 0.344 | 0.197 | 1.042 | 0.626 | 0.917 | 0.137 | 0.317 | ||
| 45 | 3.337 | 2.012 | 2.405 | 0.388 | 0.163 | 1.285 | 0.805 | 1.118 | 0.149 | 0.280 | ||
| 50 | 3.454 | 2.216 | 2.470 | 0.399 | 0.103 | 1.373 | 0.886 | 1.185 | 0.158 | 0.252 | ||
| 55 | 3.556 | 2.425 | 2.513 | 0.415 | 0.035 | 1.458 | 0.970 | 1.246 | 0.170 | 0.221 | ||
| 60 | 3.640 | 2.625 | 2.540 | 0.433 | 0.034 | 1.535 | 1.050 | 1.298 | 0.183 | 0.191 | ||
| 65 | 3.705 | 2.805 | 2.556 | 0.450 | 0.097 | 1.602 | 1.122 | 1.341 | 0.194 | 0.163 | ||
| 75 | 3.786 | 3.078 | 2.573 | 0.471 | 0.196 | 1.699 | 1.231 | 1.402 | 0.212 | 0.122 | ||
| 85 | 3.818 | 3.221 | 2.580 | 0.480 | 0.249 | 1.746 | 1.289 | 1.432 | 0.219 | 0.100 | ||
| θ (°) | Difference | Difference | ||||||||||
|---|---|---|---|---|---|---|---|---|---|---|---|---|
| NASA-C | ASME-C | NASA-C | ASME-C | |||||||||
| 2 | 15 | 6.627 | 4.062 | 4.302 | 0.540 | 0.056 | 6 | 1.936 | 1.232 | 1.672 | 0.158 | 0.263 |
| 30 | 8.332 | 4.611 | 5.183 | 0.607 | 0.110 | 2.519 | 1.416 | 2.128 | 0.184 | 0.335 | ||
| 45 | 10.317 | 5.983 | 6.239 | 0.654 | 0.041 | 3.518 | 1.994 | 2.877 | 0.223 | 0.307 | ||
| 50 | 10.634 | 6.734 | 6.387 | 0.665 | 0.054 | 3.825 | 2.245 | 3.087 | 0.239 | 0.273 | ||
| 55 | 10.839 | 7.481 | 6.442 | 0.683 | 0.161 | 3.894 | 2.494 | 3.127 | 0.245 | 0.203 | ||
| 60 | 10.938 | 8.173 | 6.437 | 0.699 | 0.270 | 3.943 | 2.724 | 3.149 | 0.252 | 0.135 | ||
| 65 | 10.953 | 8.777 | 6.404 | 0.710 | 0.371 | 3.978 | 2.926 | 3.162 | 0.258 | 0.075 | ||
| 75 | 10.838 | 9.277 | 6.326 | 0.713 | 0.466 | 4.015 | 3.222 | 3.176 | 0.264 | 0.015 | ||
| 85 | 10.710 | 9.667 | 6.276 | 0.707 | 0.540 | 4.027 | 3.374 | 3.182 | 0.266 | 0.060 | ||
| 3 | 15 | 4.154 | 2.669 | 3.103 | 0.339 | 0.140 | 8 | 1.525 | 0.924 | 1.356 | 0.124 | 0.318 |
| 30 | 5.207 | 2.983 | 3.774 | 0.380 | 0.210 | 2.003 | 1.062 | 1.748 | 0.146 | 0.392 | ||
| 45 | 6.766 | 3.989 | 4.736 | 0.429 | 0.158 | 2.493 | 1.496 | 2.153 | 0.158 | 0.305 | ||
| 50 | 7.266 | 4.490 | 4.997 | 0.454 | 0.101 | 2.652 | 1.684 | 2.275 | 0.166 | 0.260 | ||
| 55 | 7.547 | 4.987 | 5.116 | 0.475 | 0.025 | 2.797 | 1.870 | 2.378 | 0.176 | 0.214 | ||
| 60 | 7.604 | 5.448 | 5.116 | 0.486 | 0.065 | 2.922 | 2.043 | 2.462 | 0.187 | 0.170 | ||
| 65 | 7.621 | 5.851 | 5.100 | 0.494 | 0.147 | 3.025 | 2.194 | 2.529 | 0.196 | 0.132 | ||
| 75 | 7.594 | 6.445 | 5.064 | 0.500 | 0.273 | 3.166 | 2.417 | 2.620 | 0.208 | 0.078 | ||
| 85 | 7.557 | 6.747 | 5.043 | 0.499 | 0.338 | 3.229 | 2.530 | 2.662 | 0.213 | 0.050 | ||
| 4 | 15 | 2.982 | 1.961 | 2.398 | 0.243 | 0.182 | 10 | 1.173 | 0.739 | 1.071 | 0.096 | 0.310 |
| 30 | 3.927 | 2.141 | 3.053 | 0.286 | 0.299 | 1.495 | 0.850 | 1.348 | 0.109 | 0.370 | ||
| 45 | 4.980 | 2.992 | 3.786 | 0.315 | 0.210 | 2.032 | 1.197 | 1.800 | 0.129 | 0.335 | ||
| 50 | 5.251 | 3.367 | 3.953 | 0.328 | 0.148 | 2.224 | 1.347 | 1.953 | 0.139 | 0.310 | ||
| 55 | 5.481 | 3.740 | 4.075 | 0.345 | 0.082 | 2.406 | 1.496 | 2.089 | 0.151 | 0.284 | ||
| 60 | 5.665 | 4.086 | 4.159 | 0.362 | 0.017 | 2.569 | 1.635 | 2.206 | 0.165 | 0.259 | ||
| 65 | 5.804 | 4.388 | 4.216 | 0.376 | 0.041 | 2.709 | 1.755 | 2.304 | 0.176 | 0.238 | ||
| 75 | 5.962 | 4.834 | 4.282 | 0.392 | 0.129 | 2.909 | 1.933 | 2.441 | 0.191 | 0.208 | ||
| 85 | 6.014 | 5.061 | 4.306 | 0.397 | 0.175 | 3.001 | 2.024 | 2.505 | 0.198 | 0.192 | ||
| θ (°) | Difference | Difference | ||||||||||
|---|---|---|---|---|---|---|---|---|---|---|---|---|
| NASA-C | ASME-C | NASA-C | ASME-C | |||||||||
| 2 | 15 | 9.368 | 5.407 | 5.679 | 0.650 | 0.048 | 6 | 2.648 | 1.696 | 2.237 | 0.184 | 0.242 |
| 30 | 12.515 | 6.368 | 7.017 | 0.783 | 0.092 | 3.693 | 1.942 | 2.999 | 0.231 | 0.353 | ||
| 45 | 15.332 | 8.702 | 8.416 | 0.822 | 0.034 | 5.131 | 2.869 | 4.024 | 0.275 | 0.287 | ||
| 50 | 15.920 | 9.775 | 8.665 | 0.837 | 0.128 | 5.324 | 3.258 | 4.159 | 0.280 | 0.217 | ||
| 55 | 16.282 | 10.913 | 8.753 | 0.860 | 0.247 | 5.476 | 3.638 | 4.247 | 0.289 | 0.144 | ||
| 60 | 16.432 | 11.949 | 8.742 | 0.880 | 0.367 | 5.590 | 3.983 | 4.303 | 0.299 | 0.074 | ||
| 65 | 16.414 | 12.841 | 8.691 | 0.889 | 0.478 | 5.674 | 4.280 | 4.340 | 0.307 | 0.014 | ||
| 75 | 16.102 | 14.134 | 8.573 | 0.878 | 0.649 | 5.771 | 4.712 | 4.389 | 0.315 | 0.073 | ||
| 85 | 15.779 | 14.786 | 8.487 | 0.859 | 0.742 | 5.807 | 4.929 | 4.412 | 0.316 | 0.117 | ||
| 3 | 15 | 5.684 | 3.572 | 4.077 | 0.394 | 0.124 | 8 | 2.129 | 1.225 | 1.855 | 0.148 | 0.339 |
| 30 | 7.612 | 4.159 | 5.156 | 0.477 | 0.193 | 2.767 | 1.456 | 2.358 | 0.173 | 0.383 | ||
| 45 | 10.182 | 5.738 | 6.587 | 0.546 | 0.129 | 3.681 | 2.152 | 3.075 | 0.197 | 0.300 | ||
| 50 | 10.524 | 6.516 | 6.775 | 0.553 | 0.038 | 3.978 | 2.444 | 3.290 | 0.209 | 0.257 | ||
| 55 | 10.746 | 7.275 | 6.855 | 0.568 | 0.061 | 4.245 | 2.728 | 3.468 | 0.224 | 0.213 | ||
| 60 | 10.865 | 7.966 | 6.869 | 0.582 | 0.160 | 4.476 | 2.987 | 3.611 | 0.240 | 0.173 | ||
| 65 | 10.905 | 8.560 | 6.857 | 0.590 | 0.248 | 4.666 | 3.210 | 3.725 | 0.253 | 0.138 | ||
| 75 | 10.856 | 9.423 | 6.818 | 0.592 | 0.382 | 4.923 | 3.534 | 3.881 | 0.269 | 0.090 | ||
| 85 | 10.779 | 9.857 | 6.793 | 0.587 | 0.451 | 5.036 | 3.696 | 3.952 | 0.274 | 0.065 | ||
| 4 | 15 | 4.157 | 2.644 | 3.227 | 0.288 | 0.181 | 10 | 1.570 | 0.980 | 1.416 | 0.109 | 0.307 |
| 30 | 5.669 | 3.029 | 4.184 | 0.355 | 0.276 | 2.147 | 1.165 | 1.893 | 0.134 | 0.384 | ||
| 45 | 7.367 | 4.303 | 5.281 | 0.395 | 0.185 | 3.123 | 1.721 | 2.675 | 0.167 | 0.357 | ||
| 50 | 7.871 | 4.887 | 5.567 | 0.414 | 0.122 | 3.468 | 1.955 | 2.933 | 0.182 | 0.334 | ||
| 55 | 8.295 | 5.457 | 5.768 | 0.438 | 0.054 | 3.792 | 2.183 | 3.159 | 0.200 | 0.309 | ||
| 60 | 8.629 | 5.975 | 5.902 | 0.462 | 0.012 | 4.082 | 2.390 | 3.350 | 0.219 | 0.287 | ||
| 65 | 8.875 | 6.420 | 5.995 | 0.480 | 0.071 | 4.212 | 2.568 | 3.430 | 0.228 | 0.251 | ||
| 75 | 9.144 | 7.067 | 6.101 | 0.499 | 0.158 | 4.102 | 2.827 | 3.352 | 0.224 | 0.157 | ||
| 85 | 9.176 | 7.393 | 6.119 | 0.500 | 0.208 | 4.045 | 2.957 | 3.315 | 0.220 | 0.108 | ||
Publisher’s Note: MDPI stays neutral with regard to jurisdictional claims in published maps and institutional affiliations. |
© 2022 by the authors. Licensee MDPI, Basel, Switzerland. This article is an open access article distributed under the terms and conditions of the Creative Commons Attribution (CC BY) license (https://creativecommons.org/licenses/by/4.0/).
Share and Cite
Zuo, X.; Tang, W.; Zhang, J.; Li, Y.; Zhan, M. Collapse of Externally Pressurized Steel–Composite Hybrid Cylinders: Analytical Solution and Experimental Verification. Metals 2022, 12, 1591. https://doi.org/10.3390/met12101591
Zuo X, Tang W, Zhang J, Li Y, Zhan M. Collapse of Externally Pressurized Steel–Composite Hybrid Cylinders: Analytical Solution and Experimental Verification. Metals. 2022; 12(10):1591. https://doi.org/10.3390/met12101591
Chicago/Turabian StyleZuo, Xinlong, Wenxian Tang, Jian Zhang, Yongsheng Li, and Ming Zhan. 2022. "Collapse of Externally Pressurized Steel–Composite Hybrid Cylinders: Analytical Solution and Experimental Verification" Metals 12, no. 10: 1591. https://doi.org/10.3390/met12101591
APA StyleZuo, X., Tang, W., Zhang, J., Li, Y., & Zhan, M. (2022). Collapse of Externally Pressurized Steel–Composite Hybrid Cylinders: Analytical Solution and Experimental Verification. Metals, 12(10), 1591. https://doi.org/10.3390/met12101591



























