Study on MnS Inclusion Aggregation along Continuous Casting Slab Thickness of Medium Carbon Structural Steel
Abstract
:1. Introduction
2. Materials and Methods
3. Results
3.1. Solidification Macrostructure
3.2. Morphology and Distribution of MnS Inclusions
4. Discussion
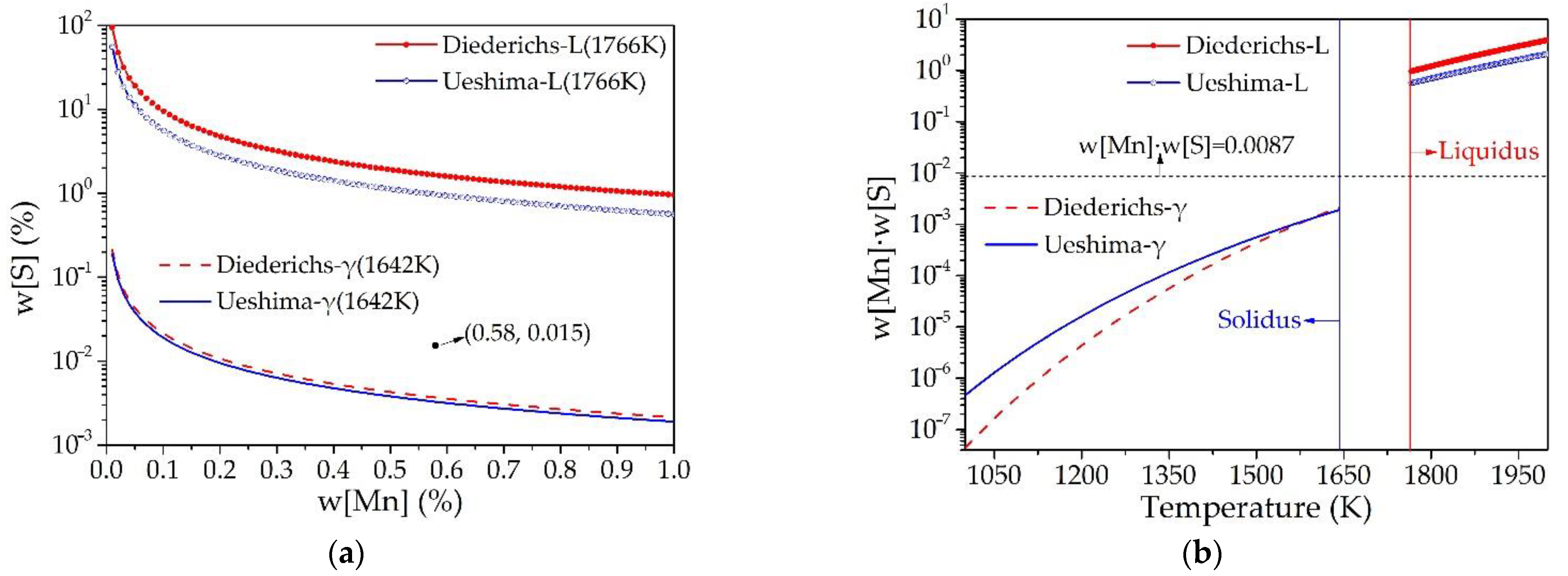
4.1. Precipitation Behavior of MnS Inclusion
4.2. Mechanism of MnS Inclusion Aggregation
4.3. Influence of Large-Size MnS Inclusion
5. Conclusions
- (1)
- The optical microscope and SEM-EDS observation of MnS inclusions morphology suggest that the sulfides are in globular, rodlike and dendritic shape, and distribution varies along the slab thickness of the 45# steel, the former is mainly presented near the slab edge, while the latter two are generally found in the columnar zone, mixed zone and equiaxed zone.
- (2)
- Both the automatic particle analysis data and observed 3D morphology indicate that MnS inclusions are aggregated in the mixed zone of the 45# steel slab, where the sulfides have the largest average diameter and the second maximum area fraction along the slab thickness, which are 6.35 μm, 0.025%, respectively.
- (3)
- The thermodynamic calculations together with experimental observations prove that the MnS inclusion in the 45# steel is formed in the residual molten steel between dendrites at the end of solidification. The high intensity cooling leads to the formation of fine globular MnS inclusions near the slab edge, while the large SDAS, high sulfur content and low cooling rate account for the large-size aggregated MnS inclusions in the mixed zone.
- (4)
- The large-size dendritic MnS inclusions can act as the nucleation sites for ferrites, even if the average diameter of the inclusion exceeds 52 μm. Additionally, the distribution of dendritic MnS inclusions significantly destroys the uniformity of the microstructure.
Author Contributions
Funding
Institutional Review Board Statement
Informed Consent Statement
Data Availability Statement
Conflicts of Interest
Nomenclature
SEM | scanning electron microscope |
EDS | Energy Dispersive Spectrometer |
SDAS | secondary dendrite arm spacing |
Type I sulfides | globular sulfides |
Type II sulfides | rodlike or dendritic sulfides |
Type III sulfides | angular sulfides |
CET | columnar-to-equiaxed transition |
AT | average thickness of different zone |
SD | standard deviation |
KMnS | equilibrium constant of reaction for MnS formation |
aMnS | activity of MnS |
a[Mn] | activity of Mn |
a[S] | activity of S |
fn | activity coefficient of the solute element n |
w[Mn] | mass fraction of solute element Mn |
w[S] | mass fraction of solute element S |
w[n] | mass fraction of solute element n |
w[m] | mass fraction of solute element m |
interaction coefficient of element m to n | |
Tliq | liquidus temperature of the steel |
Tsol | solidus temperature of the steel |
Slocal/Saverage | segregation index of sulfur |
dT/dt | cooling rate during solidification |
λ2 | secondary secondary dendrite arm spacing value in μm |
rMnS | size of MnS inclusion |
K | constant value, 0.85 for the studied 45# steel |
t | casting time |
x | coordinates along slab width |
y | coordinates along slab thickness |
ρT | density of steel (kg/m3) |
Cp,T | specific heat |
kT | thermal conductivity |
qm | heat flux at the mold wall |
A and B | constants |
z | instant length of casting (m) |
Vc | casting speed |
N | slab narrow face |
L | loose side of slab wide face |
F | fixed side of slab wide face |
LF | L and F each consumed half of the water flow rate |
References
- Diederichs, R.; Bleck, W. Modelling of Manganese Sulphide Formation during Solidification, Part I: Description of MnS Formation Parameters. Steel Res. Int. 2006, 77, 202–209. [Google Scholar] [CrossRef]
- Ånmark, N.; Karasev, A.; Göran, J.P. The Effect of Different Non-Metallic Inclusions on the Machinability of Steels. Materials 2015, 8, 751–783. [Google Scholar] [CrossRef] [PubMed]
- Wu, M.; Zhao, F.; Yang, Y.; Jiang, B.; Zhang, C.L.; Liu, Y.Z. The Effect of Size and Distribution of MnS Inclusions on the Austenite Grain Growth in a Low Cost Hot Forged Steel. Steel Res. Int. 2018, 89, 1700270. [Google Scholar] [CrossRef]
- Lu, J.; Cheng, G.; Tan, B.; Che, J. Effect of Zr, Al Addition on Characteristics of MnS and Formation of Intragranular Ferrite in Non-Quenched and Tempered Steel. ISIJ Int. 2018, 58, 921–928. [Google Scholar] [CrossRef] [Green Version]
- Diederichs, R.; Bülte, R.; Pariser, G.; Bleck, W. Modelling of manganese sulphide formation during solidification, Part II: Correlation of solidification and MnS formation. Steel Res. Int. 2006, 77, 256–264. [Google Scholar] [CrossRef]
- Liu, H.; Hu, D.; Fu, J. Analysis of MnS Inclusions Formation in Resulphurised Steel via Modeling and Experiments. Materials 2019, 12, 2028. [Google Scholar] [CrossRef] [Green Version]
- Oikawa, K.; Ohtani, H.; Ishida, K.; Nishizawa, T. The Control of the Morphology of MnS Inclusions in Steel during Solidification. ISIJ Int. 1995, 35, 402–408. [Google Scholar] [CrossRef] [Green Version]
- Zheng, L.; Malfliet, A.; Wollants, P.; Blanpain, B.; Guo, M. Effect of Surfactant Te on the Formation of MnS Inclusions in Steel. Metall. Mater. Trans. B 2017, 48, 2447–2458. [Google Scholar] [CrossRef]
- Yoichi, I.; Noriyuki, M.; Kaichi, M. Formation of MnS-type Inclusion in Steel. Tetsu-to-Hagane 1980, 66, 647–656. [Google Scholar]
- Oikawa, K.; Ishi Da, K.; Nishizawa, T. Effect of Titanium Addition on the Formation and Distribution of MnS Inclusions in Steel during Solidification. ISIJ Int. 1997, 37, 332–338. [Google Scholar] [CrossRef]
- Takada, H.; Bessho, I.; Ito, T. Effect of Sulfur Content and Solidification Variables on Morphology and Distribution of Sulfide in Steel Ingots. Trans. Iron Steel Inst. Jpn. 1978, 18, 564–573. [Google Scholar] [CrossRef]
- Wakoh, M.; Sawai, T.; Mizoguchi, S. Effect of S content on the MnS precipitation in steel with oxide nuclei. ISIJ Int. 1996, 36, 1014–1021. [Google Scholar] [CrossRef] [Green Version]
- Shen, P.; Fu, J. Morphology Study on Inclusion Modifications Using Mg–Ca Treatment in Resulfurized Special Steel. Materials 2019, 12, 197. [Google Scholar] [CrossRef] [Green Version]
- Wang, F.; Guo, H.; Liu, W.; Yang, S.; Zhang, S.; Li, J. Control of MnS Inclusions in High- and Low-Sulfur Steel by Tellurium Treatment. Materials 2019, 12, 1034. [Google Scholar] [CrossRef] [Green Version]
- Wu, L.; Zhi, J.; Zhang, J.; Zhao, B.; Liu, Q. Effect of Cerium on the Microstructure and Inclusion Evolution of C-Mn Cryogenic Vessel Steels. Materials 2021, 14, 5262. [Google Scholar] [CrossRef]
- Masana, I. Consideration on Distribution and Size of Dendritic Type II MnS-inclusion in Steel Dendrite Structure. ISIJ Int. 1994, 34, 992–996. [Google Scholar]
- Ito, Y.; Masumitsu, N.; Matsubara, K. Formation of Manganese Sulfide in Steel. Trans. Iron Steel Inst. Jpn. 1981, 21, 477–484. [Google Scholar] [CrossRef]
- Choudhary, S.K.; Ganguly, S.; Sengupta, A.; Sharma, V. Solidification morphology and segregation in continuously cast steel slab. J. Mater. Process. Technol. 2017, 243, 312–321. [Google Scholar] [CrossRef]
- Tao, H.; Hui, Z.; Zhang, M.-L. Research on solidification structure and internal quality defects of 0.1%C-5%Mn Steel. Ironmak. Steelmak. 2020, 47, 351–360. [Google Scholar] [CrossRef]
- Ueshima, Y.; Sawada, Y.; Mizoguchi, S.; Kajioka, H. Precipitation behavior of MnS during / transformation in Fe-Si alloys. Metall. Trans. A 1989, 20, 1375–1383. [Google Scholar] [CrossRef]
- Yoshiyuki, U.; Kohichi, I.; Shozo, M.; Hirobumi, M.; Hiroyuki, K. Analysis of the Rate of Crystallization and Precipitation of MnS in the Resulphurized Free-cutting Steel. Tetsu-to-Hagane 1988, 74, 465–472. [Google Scholar]
- Ye, D.; Wang, Z. Change characteristics of static mechanical property parameters and dislocation structures of 45# medium carbon structural steel during fatigue failure process. Mater. Sci. Eng. A 2001, 297, 54–61. [Google Scholar]
- Ortega, N.; Martynenko, V.; Perez, D.; Martinez Krahmer, D.; López de Lacalle, L.N.; Ukar, E. Abrasive Disc Performance in Dry-Cutting of Medium-Carbon Steel. Metals 2020, 10, 538. [Google Scholar] [CrossRef] [Green Version]
- Ren, Y.; Zhang, L.; Li, S. Transient Evolution of Inclusions during Calcium Modification in Linepipe Steels. ISIJ Int. 2014, 54, 2772–2779. [Google Scholar] [CrossRef] [Green Version]
- Choudhary, S.K.; Ghosh, A. Mathematical Model for Prediction of Composition of Inclusions Formed during Solidification of Liquid Steel. ISIJ Int. 2009, 49, 1819–1827. [Google Scholar] [CrossRef] [Green Version]
- Yang, X.; Zhang, L.; Li, S.; Li, M. Influence of cooling conditions on the hot ductility of Nb-Ti-bearing steels. Metall. Res. Technol. 2015, 112, 604. [Google Scholar] [CrossRef]
- Luo, S.; Wang, B.; Wang, Z.; Jiang, D.; Wang, W.; Zhu, M. Morphology of Solidification Structure and MnS Inclusion in High Carbon Steel Continuously Cast Bloom. ISIJ Int. 2017, 57, 2000–2009. [Google Scholar] [CrossRef] [Green Version]
- Faraji, M.; Wilcox, D.P.; Thackray, R.; Howe, A.A.; Todd, I.; Tsakiropoulos, P. Quantitative Characterization of Inclusions in Continuously Cast High-Carbon Steel. Metall. Mater. Trans. B 2015, 46, 2490–2502. [Google Scholar] [CrossRef]
- Weidner, A.; Krewerth, D.; Witschel, B.; Emmel, M.; Schmidt, A.; Gleinig, J.; Volkova, O.; Aneziris, C.G.; Biermann, H. Microstructure of Non-Metallic Inclusions Identified in Cast Steel 42CrMo4 after Metal Melt Filtration by Novel Foam Filters. Steel Res. Int. 2016, 87, 1038–1053. [Google Scholar] [CrossRef]
- Temmel, C.; Ingesten, N.-G.; Karlsson, B. Fatigue anisotropy in cross-rolled, hardened medium carbon steel resulting from MnS inclusions. Metall. Mater. Trans. A 2006, 37, 2995–3007. [Google Scholar] [CrossRef]
- Brandaleze, E.; Hereñú, S.; Tormo, J.; Alvarez Armas, I. Characterisation of inclusions in resulphurised microalloyed steel. Ironmak. Steelmak. 2013, 40, 216–220. [Google Scholar] [CrossRef]
- Domizzi, G.; Anteri, G.; Ovejero-García, J. Influence of sulphur content and inclusion distribution on the hydrogen induced blister cracking in pressure vessel and pipeline steels. Corros. Sci. 2001, 43, 325–339. [Google Scholar] [CrossRef]
- Gui, L.; Long, M.; Huang, Y.; Chen, D.; Chen, H.; Duan, H.; Yu, S. Effects of Inclusion Precipitation, Partition Coefficient, and Phase Transition on Microsegregation for High-Sulfur Steel Solidification. Metall. Mater. Trans. B 2018, 49, 3280–3292. [Google Scholar] [CrossRef]
- Liu, Z.; Wei, J.; Cai, K. A Coupled Mathematical Model of Microsegregation and Inclusion Precipitation during Solidification of Silicon Steel. ISIJ Int. 2002, 42, 958–963. [Google Scholar] [CrossRef]
- Chen, P.J.; Zhu, C.Y.; Li, G.Q.; Dong, Y.W.; Zhang, Z.C. Effect of Sulphur Concentration on Precipitation Behaviors of MnS-containing Inclusions in GCr15 Bearing Steels after LF Refining. ISIJ Int. 2017, 57, 1019–1028. [Google Scholar] [CrossRef] [Green Version]
- Wang, Y.; Zhang, L.; Zhang, H.; Zhao, X.; Wang, S.; Yang, W. Mechanism and Control of Sulfide Inclusion Accumulation in CET Zone of 37Mn5 Round Billet. Metall. Mater. Trans. B 2017, 48, 1004–1013. [Google Scholar] [CrossRef]
- Jacobi, H.; Schwerdtfeger, K. Dendrite morphology of steady state unidirectionally solidified steel. Metall. Trans. A 1976, 7, 811–820. [Google Scholar] [CrossRef]
- Li, B.; Zhang, Z.; Liu, H.; Luo, M.; Lan, P.; Tang, H.; Zhang, J. Characteristics and evolution of the spot segregations and banded defects in high strength corrosion resistant tube steel. Acta Metall. Sin. 2019, 55, 762–772. [Google Scholar]
- Ji, Y.; Tang, H.; Lan, P.; Shang, C.; Zhang, J. Effect of Dendritic Morphology and Central Segregation of Billet Castings on the Microstructure and Mechanical Property of Hot-Rolled Wire Rods. Steel Res. Int. 2017, 88, 1600426. [Google Scholar] [CrossRef]
- Wu, M.; Ludwig, A. A three-phase model for mixed columnar-equiaxed solidification. Metall. Mater. Trans. A 2006, 37, 1613–1631. [Google Scholar] [CrossRef]
- Pierer, R.; Bernhard, C. On the influence of carbon on secondary dendrite arm spacing in steel. J. Mater. Sci. 2008, 43, 6938–6943. [Google Scholar] [CrossRef]
- Zhang, L.; Yang, X.; Li, S.; Li, M.; Ma, W. Control of Transverse Corner Cracks on Low-Carbon Steel Slabs. JOM 2014, 66, 1711–1720. [Google Scholar] [CrossRef]
- Yang, X.; Zhang, L.; Lai, C.; Li, S.; Li, M.; Deng, Z. A Method to Control the Transverse Corner Cracks on a Continuous Casting Slab by Combining Microstructure Analysis with Numerical Simulation of the Slab Temperature Field. Steel Res. Int. 2018, 89, 1700480. [Google Scholar] [CrossRef]
- Yang, X.; Zhang, L.; Zhang, R.; Yang, W. Analysis of flaws detected by ultrasonic in heavy and medium steel plate. Steelmaking 2013, 29, 48–52. [Google Scholar]
- Wang, K.; Yu, T.; Song, Y.; Li, H.-X.; Liu, M.-D.; Luo, R.; Zhang, J.-Y.; Fang, F.-S.; Lin, X.-D. Effects of MnS Inclusions on the Banded Microstructure in Non-quenched and Tempered Steel. Metall. Mater. Trans. B 2019, 50, 1213–1224. [Google Scholar] [CrossRef]
- Shim, J.H.; Oh, Y.J.; Suh, J.Y.; Cho, Y.W.; Shim, J.D.; Byun, J.S.; Lee, D.N. Ferrite nucleation potency of non-metallic inclusions in medium carbon steels. Acta Mater. 2001, 49, 2115–2122. [Google Scholar] [CrossRef]
- Lin, C.K.; Pan, Y.C.; Su, Y.; Lin, G.R.; Weng-Sing, H.; Jui-Chao, K. Effects of Mg-Al-O-Mn-S inclusion on the nucleation of acicular ferrite in magnesium-containing low-carbon steel. Mater. Charact. 2018, 141, 318–327. [Google Scholar] [CrossRef]
- Xing, L.; Fan, X.; Wang, M.; Zhao, L.; Bao, Y. The Formation Mechanism of Proeutectoid Ferrite on Medium-Carbon Sulfur-Containing Bloom. Metall. Mater. Trans. B 2021, 52, 3208–3219. [Google Scholar] [CrossRef]
Composition | C | Si | Mn | P | S |
---|---|---|---|---|---|
Content (wt%) | 0.45 | 0.22 | 0.58 | 0.021 | 0.015 |
Parameters | Value |
---|---|
Slab dimension (mm2) | 250 × 1600 |
Effective mold length (m) | 0.8 |
Casting speed (m/min) | 0.8 |
Superheat (K) | 25 |
Secondary cooling intensity (L/kg) | 0.49 |
Zones in the Slab | Loose Side (mm) | Fixed Side (mm) |
---|---|---|
AT ± SD | AT ± SD | |
Chill zone | 7.01 ± 1.48 | 7.86 ± 1.47 |
Columnar zone | 56.6 ± 4.53 | 55.79 ± 2.39 |
Mixed zone | 30.27 ± 2.95 | 23.82 ± 4.43 |
Equiaxed zone | 31.12 ± 2.36 | 37.53 ± 4.23 |
Phase | Log KMnS | References |
---|---|---|
Liquid | 5.3–9200/T | Diederichs et al. [1] |
γ-iron (fcc) | 4.76–12,000/T | |
Liquid | 4.746–8628/T | Ueshima et al. [21] |
γ-iron (fcc) | 3.026–9236/T |
C | Si | Mn | P | S | |
---|---|---|---|---|---|
Mn | −0.07 | 0.39 | 0 | −0.0035 | −0.048 |
S | 0.11 | 0.063 | −0.026 | 0.029 | −0.028 |
Spray Zone | Length (m) | Water Flow Rate (L/(m2 min)) |
---|---|---|
1N | 0.70 | 38.2 |
1LF | 0.50 | 133.8 |
2LF | 0.66 | 188.3 |
3LF | 1.08 | 218 |
4LF | 1.60 | 169 |
5L | 1.92 | 53.9 |
5F | 59.5 | |
6L | 3.83 | 33.3 |
6F | 78.1 | |
7L | 3.83 | 15.3 |
7F | 40.1 | |
8L | 6.71 | 28.5 |
8F | 95.1 | |
Total | 20.13 | 1151.1 |
Publisher’s Note: MDPI stays neutral with regard to jurisdictional claims in published maps and institutional affiliations. |
© 2021 by the authors. Licensee MDPI, Basel, Switzerland. This article is an open access article distributed under the terms and conditions of the Creative Commons Attribution (CC BY) license (https://creativecommons.org/licenses/by/4.0/).
Share and Cite
Yu, Q.; Yang, X.; Lai, C.; Tong, Z. Study on MnS Inclusion Aggregation along Continuous Casting Slab Thickness of Medium Carbon Structural Steel. Metals 2022, 12, 56. https://doi.org/10.3390/met12010056
Yu Q, Yang X, Lai C, Tong Z. Study on MnS Inclusion Aggregation along Continuous Casting Slab Thickness of Medium Carbon Structural Steel. Metals. 2022; 12(1):56. https://doi.org/10.3390/met12010056
Chicago/Turabian StyleYu, Qiuyang, Xiaogang Yang, Chaobin Lai, and Zhifang Tong. 2022. "Study on MnS Inclusion Aggregation along Continuous Casting Slab Thickness of Medium Carbon Structural Steel" Metals 12, no. 1: 56. https://doi.org/10.3390/met12010056
APA StyleYu, Q., Yang, X., Lai, C., & Tong, Z. (2022). Study on MnS Inclusion Aggregation along Continuous Casting Slab Thickness of Medium Carbon Structural Steel. Metals, 12(1), 56. https://doi.org/10.3390/met12010056