Abstract
Vanadium as a rare element has a wide range of applications in iron and steel production, vanadium flow batteries, catalysts, etc. In 2018, the world’s total vanadium output calculated in the form of metal vanadium was 91,844 t. The raw materials for the production of vanadium products mainly include vanadium-titanium magnetite, vanadium slag, stone coal, petroleum coke, fly ash, and spent catalysts, etc. Chlorinated metallurgy has a wide range of applications in the treatment of ore, slag, solid wastes, etc. Chlorinating agent plays an important role in chlorination metallurgy, which is divided into solid (NaCl, KCl, CaCl2, AlCl3, FeCl2, FeCl3, MgCl2, NH4Cl, NaClO, and NaClO3) and gas (Cl2, HCl, and CCl4). The chlorination of vanadium oxides (V2O3 and V2O5) by different chlorinating agents was investigated from the thermodynamics. Meanwhile, this paper summarizes the research progress of chlorination in the treatment of vanadium-containing materials. This paper has important reference significance for further adopting the chlorination method to treat vanadium-containing raw materials.
1. Introduction
Vanadium is located in the fourth period and fifth (VB) group of the periodic table and which occupies the 23rd position in the periodic table of elements. The symbol of the vanadium element is V. The physical characteristics of vanadium are a melting point of 1929 °C, boiling point of 3350 °C, relative atomic mass of 50.9415, and density of 5.96 (g/cm3), and it is a silver grey metal [1,2]. The valence of vanadium in compounds can be +2, +3, +4, and +5 [3]. At present, there are known vanadium oxides such as V2O3, VO2, V2O5, V3O5, V3O7, V4O7, V5O9, V6O11, and V6O13, among which the pentavalent vanadium compounds are the most stable [4]. The main chlorides are VOCl3, VOCl, VCl5, VCl4, VCl3, VCl2, and VCl, among which VOCl3 are the most stable [5]. However, the toxicity of vanadium compounds increases with the increase of vanadium valence, and the pentavalent vanadium compounds are the most toxic. Thus, compounds containing pentavalent vanadium, such as NaVO3, NH4VO3, V2O5, and VOCl3, are the most toxic [6]. Toxic vanadium compounds can exist in both cationic and anionic forms [7].
Vanadium as a rare element has a wide range of applications in iron and steel production, vanadium flow batteries, catalysts, etc. [8,9]. The raw materials for the production of vanadium products mainly include vanadium-titanium magnetite, vanadium slag, stone coal, petroleum coke, fly ash, and spent catalysts, etc. [1,8,9]. Salt roasting (Na2CO3, NaCl, NaOH, CaO, etc.) was applied to extract vanadium from vanadium-containing materials [1,8,9]. However, the salt roasting method extraction of vanadium from vanadium slag is associated with the formation of a large amount of sludge and significant losses of vanadium [10]. Previous review articles on vanadium extraction from vanadium-containing materials mainly focused on the salt roasting process [1,8,9]. In this work, extraction of the rare element vanadium from vanadium-containing materials by chlorination method was summarized.
Table 1 shows melting temperature, boiling temperature, and sublimation temperature for vanadium compounds [11,12]. According to Table 1, the melting point and boiling point of chloride are lower than those of corresponding oxides. Thus, chloride is easier to separate and enrich than oxide [13,14,15]. Chlorinated metallurgy has a wide range of applications in the treatment of ore, slag, solid wastes, etc. [16,17,18,19,20,21,22]. In the last century, the extraction of Ti from titanium ore by chlorination method has been industrialized [23]. Chlorinating agent plays an important role in chlorination metallurgy, which is divided into solid (NaCl, KCl, CaCl2, AlCl3, FeCl2, FeCl3, MgCl2, NH4Cl, NaClO, NaClO3) and gas (Cl2, HCl, CCl4) [24,25,26,27,28,29]. Compared with gaseous chlorinating agents, the solid chlorinating agents are easier to handle and more environmentally friendly.
Table 1.
Melting temperature, boiling temperature, and sublimation temperature for vanadium compounds.
The traditional chlorination method of extracting vanadium with NaCl as an additive will produce NaVO3 and then ammonia nitrogen wastewater will be produced in the process of preparing V2O5. The carbochlorination method of extracting vanadium to prepare VOCl3 will not produce ammonia nitrogen wastewater. Molten salt chlorination of extracting vanadium will obtain VCl3, and metal V will be obtained by molten salt electrolysis. In this work, these two new processes will be introduced.
2. Vanadium Reserves and the Major Vanadium Producers
Table 2 shows the world’s vanadium ore reserves in 2018. More than 99% of the world’s vanadium ore reserves are concentrated in China, Russia, South Africa and Australia [30]. Meanwhile, China has the largest vanadium reserves. According to statistics, in 2018, about 16% of the world’s vanadium products directly came from vanadium-titanium magnetite, about 68% of the vanadium products came from the vanadium-rich steel slag (and a small amount of phosphorus-rich vanadium slag) obtained by vanadium-titanium magnetite after iron and steel metallurgical processing, and approximately 16% of vanadium products were produced from recovered vanadium-containing by-products (vanadium-containing fuel ash, waste chemical catalysts) and vanadium-containing stone coal [30]. Table 3 shows the overview of major vanadium producers in the world in 2018 [30]. In 2018, the world’s total vanadium output calculated in the form of metal vanadium was 91,844 t [30]. The global market share of vanadium products in 2018 was approximately 90.8% ferroalloy products (FeV, VN, ferrovanadium nitride, etc), approximately 4.2% non-ferrous metals such as Ti, and about 5% of vanadium compounds (vanadium oxide, ammonium vanadate, VOSO4, etc.) for the chemical industry, energy storage and other fields [30]. Like the consumption pattern of the global vanadium market, more than 90% of China’s vanadium is used in the steel industry in the form of vanadium alloys [30].
Table 2.
Global vanadium ore reserve calculated by metallic vanadium in 2018 (10 kt) [30].
Table 3.
Overview of major vanadium producers in the world in 2018 [30].
3. Chlorination Thermodynamics of Vanadium Oxides
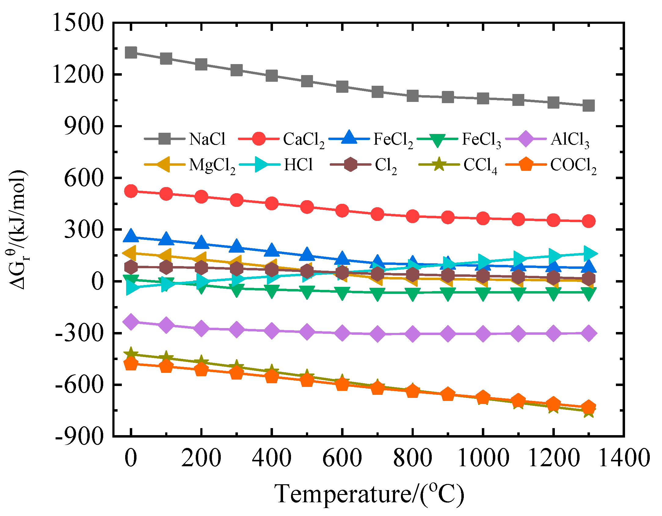
Vanadium in vanadium-titanium magnetite, vanadium slag, and stone coal mainly exists in trivalent form. Meanwhile, the V5+ compounds are the very stable. Thus, V2O3 and V2O5 were selected as the reactants for thermodynamic calculation by HSC Chemistry 6.4. The possibilities of V2O3 reacting with different chlorinating agents are calculated from the thermodynamic viewpoint as shown in Equations (1)–(10). Figure 1 shows the standard Gibbs free energies of reactions between V2O3 and chlorination agents at 0–1300 °C. V2O3 can be chlorinated to VCl3 by AlCl3, CCl4 and COCl2. Gibbs free energies of reaction between V2O3 and AlCl3 increases with increasing temperature. Thermodynamically, increasing temperature is not conducive to AlCl3 chlorination. However, V2O3 cannot be chlorinated to VCl3 by the NaCl, CaCl2, FeCl2, FeCl3, MgCl2, HCl or Cl2 at 0–1300 °C.
V2O3 + 6NaCl = 2VCl3 + 3Na2O
V2O3 + 3CaCl2 = 2VCl3 + 3CaO
V2O3 + 3FeCl2 = 2VCl3 + 3FeO
V2O3 + 2FeCl3 = 2VCl3 + Fe2O3
V2O3 + 2AlCl3 = 2VCl3 + Al2O3
V2O3 + 3MgCl2 = 2VCl3 + 3MgO
V2O3 + 6HCl (g) = 2VCl3 + 3H2O (g)
V2O3 + 3Cl2 (g) = 2VCl3 + 1.5O2 (g)
V2O3 + 1.5CCl4 (g) = 2VCl3 + 1.5CO2 (g)
V2O3 + 3COCl2 (g) = 2VCl3 + 3CO2 (g)
Figure 1.
The standard Gibbs free energies of reactions between V2O3 and chlorination agents (reactions 1–10).
The V2O5 reacting with different chlorinating agents are as follows: Equations (11)–(20). Figure 2 shows the standard Gibbs free energies of reactions between V2O5 and chlorination agents. V2O5 can be chlorinated to VOCl3 by FeCl3, AlCl3, CCl4 and COCl2 at 0–1300 °C. However, V2O3 cannot be chlorinated to VOCl3 by the NaCl, CaCl2, FeCl2, MgCl2, HCl and Cl2 at 0–1300 °C.
V2O5 + 6NaCl = 2VOCl3 (g) + 3Na2O
V2O5 + 3CaCl2 = 2VOCl3 + 3CaO
V2O5 + 3MgCl2 = 2VOCl3 + 3MgO
V2O5 + 3FeCl2 = 2VOCl3 + 3FeO
V2O5 + 2FeCl3 = 2VOCl3 + Fe2O3
V2O5 + 2AlCl3 = 2VOCl3 + Al2O3
V2O5 + 6HCl (g) = 2VOCl3 + 3H2O (g)
V2O5 + 3COCl2 (g) = 2VOCl3 + 3CO2 (g)
V2O5 + 1.5CCl4 (g) = 2VOCl3 + 1.5CO2 (g)
V2O5 + 3Cl2 (g) = 2VOCl3 + 1.5O2 (g)
Figure 2.
The standard Gibbs free energies of reactions between V2O5 and chlorination agents (reactions 11–20).
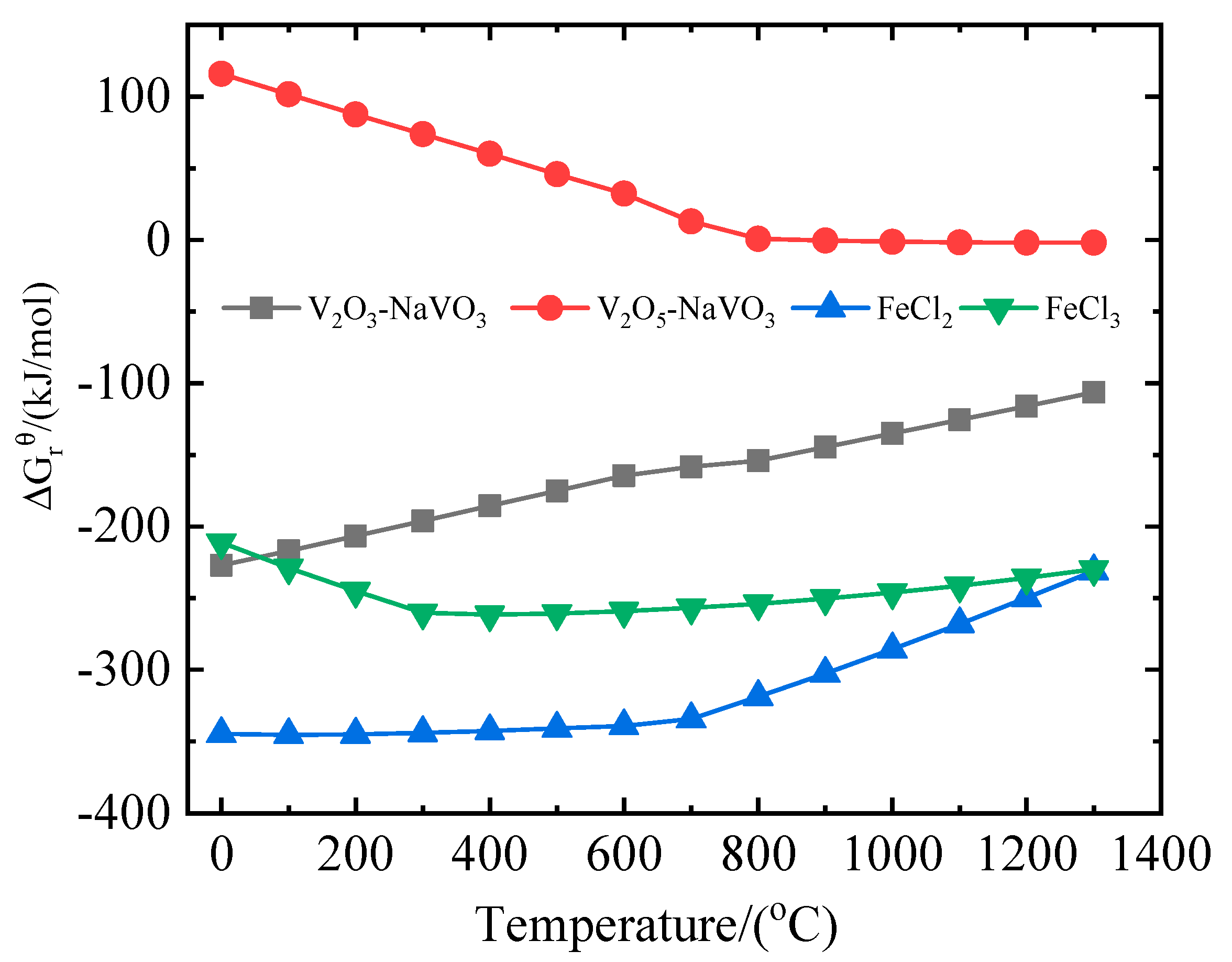
The V2O5 and V2O3 reacting with C and Cl2 in the temperature range from 0 °C to 1300 °C are expressed as follows in Equations (21) and (22). Figure 3 shows standard Gibbs free energies of reactions 21–22 at 0–1300 °C. Adding C realizes the chlorination of V2O5 and V2O3 to VOCl3 by Cl2 at 0–1300 °C. However, the effect of increasing temperature on the chlorination of V2O3 and V2O5 is opposite.
2V2O3 + 6Cl2 (g) + C = 4VOCl3 + CO2 (g)
V2O5 + 3Cl2 (g) + 1.5C = 2VOCl3 + 1.5CO2 (g)
Figure 3.
Variation of standard Gibbs free energy of reactions 21–22 with temperature.
Under an oxygen atmosphere, the equations for the NaCl roasting reaction of V2O3 and V2O5 are as shown in Equations (23) and (24). Figure 4 shows the variation of standard Gibbs free energy of reactions 23–24 with temperature. Under the same conditions, V2O3 is more easily chlorinated. Thermodynamically, increasing temperature is not conducive to NaCl chlorination of V2O3. The reaction of V2O3 and different chlorinating agents (FeCl2 and FeCl3) are as shown in Equations (25) and (26). It can be seen from Figure 4 that V2O3 can be chlorinated by FeCl2 and FeCl3 under an oxygen atmosphere.
V2O3 + 2NaCl + 1.5O2 (g) = 2NaVO3 + Cl2 (g)
2V2O5 + 4NaCl + O2 (g) = 4NaVO3 + 2Cl2 (g)
V2O3 + 2FeCl3 + O2 (g) = 2VOCl3 (g) + Fe2O3
V2O3 + 3FeCl2 + 1.75O2 (g) = 2VOCl3 (g) + 1.5Fe2O3
Figure 4.
Variation of standard Gibbs free energy of reactions 23–26 with temperature.
According to the above thermodynamic analysis, the valence state of vanadium, reaction temperature, atmosphere and chlorinating agent play a very important role in the chlorination of vanadium. Thus, the chlorination of vanadium can be achieved by selecting appropriate conditions. The following will introduce the progress of chlorination of vanadium-containing materials.
4. Application of Chlorination Method
4.1. Chlorination Extraction of Vanadium from Vanadium Titanomagnetite
Vanadium-titanium magnetite is mainly composed of iron (Fe), vanadium (V) and titanium (Ti) elements, which is multi-element symbiotic iron ore containing a small amount of cobalt (Co), nickel (Ni), chromium (Cr), scandium (Sc) and gallium (Ga) [31,32]. The reserves of vanadium-titanium magnetite in the Panzhihua-Xichang regions in China amount to about 9.66 billion tons [33]. The content of vanadium pentoxide in vanadium-titanium magnetite is 0.1 wt%–2 wt% [34]. Jena et al. [23] proposed that under the action of oxygen and water, NaCl as an additive reacts with the vanadium in the vanadium bearing titaniferrous magnetite. The roasted samples were leached with hot water. More than 90% of V was extracted. The reaction Equations are as follows in Equations (27)–(31).
SiO2 + 2NaCl + H2O = Na2SiO3 + 2HCl
Na2SiO3 + O2 + V2O3 = 2NaVO3 + SiO2
2NaCl + 3/2O2 + V2O3 = 2NaVO3 + Cl2
3Cl2 + 3V2O3 = 2VOCl3 + 2V2O5
4VOCl3 + 3O2 = 2V2O5 + 6Cl2
To some extent, the presence of SiO2 and the formation of HCl and Cl2 can promote the extraction of vanadium [23,35,36]. Zheng et al. [37] first calculated the feasibility of extraction vanadium from vanadium-rich resources with FeCl2 and FeCl3. Thermodynamic calculations show that the higher the valence of vanadium in vanadium titanomagnetite, the easier it is to extract vanadium. Therefore, the chlorinated atmosphere was selected as the oxygen atmosphere. The reaction Equations are as follows in Equations (32)–(36). Under the optimal experimental conditions (827 °C, reactant (vanadium titanomagnetite)—chlorination agent (FeCl3) molar ratio of 1:2, 2 h, oxygen atmosphere), the extraction ratio of vanadium is 32%.
V2O5 + 2FeCl3 = VOCl3 + Fe2O3
2V2O4 + 4FeCl3 + O2 = 4VOCl3 + 2Fe2O3
2V2O3 + 4FeCl3 + (2x − 1)O2 = 4VOCl3 + 4FeOx
V2O4 + FeCl3 + (x − 1)O2 = VOCl3 + FeOx
12FeCl2 + 4V2O5 + 3O2 = 6Fe2O3 + 8VOCl3
Chloride extraction of vanadium from vanadium-titanium magnetite has long been used. However, the content of vanadium in vanadium-titanium magnetite is low, and the cost of directly extracting vanadium in vanadium slag using chlorination method is high. Thus, it is not recommended to extract vanadium directly from vanadium-titanium magnetite by chlorination method.
4.2. Chlorination Extraction of Vanadium from Vanadium Slag
Vanadium slag is produced from vanadium-titanium magnetite by blast furnace smelting and the vanadium extraction process in a converter [38,39]. Vanadium slags contain 30–40 wt% total Fe, 6.9–14.4 wt% TiO2, 13.5–19.0 wt% V2O3, 0.9–4.6 wt% Cr2O3, and 7.4–10.7 wt% MnO. The main phases of vanadium slag consist of (Fe,Mn)(V,Cr)2O4, (Fe,Mn)2SiO4 and Fe2TiO4. According to the phases of vanadium slag, vanadium is present in the form of V3+, from which it is difficult to extract vanadium by direct leaching [40,41].
In order to extract vanadium, the traditional method is to oxidize insoluble low-valent vanadium to soluble high-valent vanadium in aqueous solution [42,43]. Figure 5 shows a flow chart of extracting vanadium from vanadium slag by NaCl roasting. The roasting temperature is about 800 °C. After roasting, vanadium in the solid exists in the form of NaVO3, and then dissolves to obtain NaVO3 solution. Vanadium is precipitated in the form of ammonium vanadate by adding ammonium salt (NH4Cl, NH4HCO3, (NH4)2SO4, (NH4)2CO3). Ammonium vanadate is calcined to obtain V2O5 at about 550 °C. Under the action of oxygen, NaCl as an additive reacts with the vanadium spinel in the vanadium slag. The reaction Equation is as follows in Equation (37). The conversion rate of vanadium can reach 85% [44,45].
4FeV2O4 + 8NaCl + 7O2 = 8NaVO3 + 4Cl2 + 2Fe2O3
Figure 5.
Flow chart of extracting vanadium from vanadium slag by NaCl roasting.
A total of 85.8% of V in vanadium slag was extracted by acidic sodium chlorate solution. V3+ in vanadium slag was oxidized by NaClO3 as a chlorinating agent. The reaction Equation is as follows in Equation (38) [46].
6FeV2O4 + 5NaClO3 + 15H2SO4 = 5NaCl + 6(VO2)2SO4 + 3Fe2(SO4)3 + 15H2O
Sun et al. [47] proposed chlorination of vanadium slag by FeCl3. Under the optimal experimental conditions (827 °C, reactant (vanadium slag)—chlorination agent (FeCl3) molar ratio of 1:2, 2 h, oxygen atmosphere), the extraction ratio of vanadium in vanadium slag is 57%. Du [48] investigated carbochlorination of pre-oxidized vanadium slag. The flow chart of extracting vanadium from vanadium slag by chlorination is shown in Figure 6. The carbochlorination temperature is about 650 °C. Vanadium is volatile in the form of VOCl3. VOCl3 was oxidized to V2O5 by O2. The equations of the main reactions involved are (39)–(41). The effect of time, temperature, petroleum coke and chlorine pressure fraction were studied. Under optimal process conditions (650 °C,120 min, P(Cl2)/P(Cl2 + N2) = 0.5, 10% of petroleum coke mass fraction), 18.8% of Fe and 87.5% of V were extracted. Wastewater containing high Na+ and NH4+ is scarcely produced in whole process.
(Fe, Mn) (V, Cr, Ti)2O4 (s) + O2 (g) → Fe2O3 (s) + MnO (s) + Cr2O3 (s) + V2O5 (s) + TiO2 (s)
1/3V2O5 (s/l) + 1/2C (s) + Cl2 (g) → 2/3VOCl3 (g) + 1/2CO2 (g)
1/3Fe2O3 (s) + 1/2C (s) + Cl2 (g) → 2/3FeCl3 (g) + 1/2CO2 (g)
Figure 6.
Flow chart of extracting vanadium from vanadium slag by carbochlorination.
In order to extract vanadium from vanadium slag, Liu et al. [49,50,51,52,53,54,55] proposed to use selective chlorination method to extract vanadium. Because to the existence form and value of valuable metal elements (Fe, Mn, V, Cr and Ti) in vanadium slag, NH4Cl was selected to chlorinate Fe and Mn in vanadium slag. Thermodynamic calculations show that the iron and manganese in vanadium slag could be chlorinated by hydrogen chloride, but the V, Cr and Ti could not be chlorinated in the temperature range from 0 to 1000 °C. Under optimal chlorination conditions, the chlorination ratio of iron and manganese were 72% and 95%, respectively. Meanwhile, the enrichment ratio of V, Cr and Ti was obtained as 48%. In addition, AlCl3 was selected to chlorinate V, Cr and Ti in vanadium slag. Figure 7 shows a flow chart of extracting vanadium from vanadium slag by AlCl3 chlorination. The chlorination temperature is about 900 °C. Vanadium after chlorination exists in the form of VCl3. Metal V was obtained by molten salt electrolysis at 900 °C. The effects of reaction temperature, reaction time, mass ratio of AlCl3/slag and mass ratio of salt/AlCl3 on the chlorination ratio of valuable elements were investigated. Under optimal chlorination conditions (AlCl3—slag mass ratio of 1.5:1, (NaCl-KCl)-AlCl3 mass ratio of 1.66:1, at 900 °C, 8 h.), the chlorination ratio of iron, vanadium, chromium and manganese were 90.3%, 76.5%, 81.9% and 97.3%. The volatilization ratio of titanium was 79.9%. The results of kinetic study indicate that the rate-control step of vanadium chlorination process was the surface chemical reaction. The vanadium and chromium in vanadium slag after AlCl3 chlorination were present in the form of VCl3 and CrCl3 in molten salt. The main reaction was as follow (42).
8AlCl3 +3FeV2O4 = 3FeCl2 + 4Al2O3 + 6VCl3
Figure 7.
Flow chart of extracting vanadium from vanadium slag by AlCl3 chlorination.
4.3. Chlorination Extraction of Vanadium from BOF-Slag
The basic oxygen furnace (BOF)-slags contains 31–56% CaO, 10–27% SiO2, 1–4.5% Al2O3, 5–35% Fe compounds, and less than 1% of vanadium [56]. Seron et al. investigated the recovery of vanadium from BOF-slags by oxy-carbochlorination. Under specific conditions (900 °C, chlorine partial pressure 0.2, 90 min, 50% carbon content), the recovery ratio of vanadium in slag can reach 95% [57].
4.4. Chlorination Extraction of Vanadium from Stone Coal
Black shale is one of China’s most important vanadium resources, accounting for more than 87% of domestic vanadium reserves [58,59]. It is estimated that the reserves of vanadium in the form of V2O5 in stone coal are 118 million tons [60]. However, the ordinary grade of vanadium in black shale is usually below 2 wt% [58,59]. In China, vanadium in most of the stone coal replaces trivalent aluminum in mica minerals in a quasi-homogeneous form. The chemical formula of vanadium-containing illite is K(Al,V)2(OH)2[Si3Al]O10. The mica mineral structure is very stable. It is difficult to destroy the lattice structure by general concentration of acid and alkali. Thus, in order to extract vanadium from vanadium-containing mica, the lattice structure of vanadium containing mica first needs to be destroyed [61].
Under the action of oxygen and water, NaCl as an additive reacts with the pre-decarburized stone coal [62,63]. The reaction Equation is expressed as follow (43):
where m is the number of vanadium ions replacing aluminum ions in hydromica octahedron.
K (Al, V)2(OH)2[Si3Al]O10 + 2NaCl + 3(2−m)SiO2 + (m−1/2)O2 = (3−m) (K,Na)AlSi3O8 + NaVO3 + 2HCl + Cl2
NaCl has a melting point of 801 °C, which tends to keep the structure stable and does not decompose at high temperature. However, due to the presence of V, Al, Fe, and other oxides in the stone coal, NaCl can be decomposed at lower temperature to generate Cl2 with high chemical reactivity. The reaction is described as follows in Equations (44)–(47). Cl2 can react with low-valent vanadium to form VOCl3, and VOCl3 is an intermediate product that can be further oxidized to V2O5. The presence of Cl2 promotes the high temperature roasting to destroy the crystal structure of illite. The oxidation of the exposed trivalent vanadium changes to a higher valence state. Cl2 is more active than oxygen at high temperature and is more easily adsorbed on the surface of minerals. The promotion of Cl2 on the oxidation of low-cost vanadium cannot be ignored. Thus, NaCl as an additives agent was selected for extracting vanadium from stone coal [63,64,65,66].
4NaCl + O2 = 2Na2O + 2Cl2
3Cl2 + 3V2O3 = 2VOCl3 + 2V2O5
4VOCl3 + 3O2 = 2V2O5 + 6Cl2
xNa2O + yV2O5 = xNa2O·yV2O5
The possible chemical reaction between vanadium oxide (V2O3, VO2, and V2O5) and the solid chlorinating agent (NaCl, CaCl2 and FeCl3) was calculated by FactSage 7.1 (Montreal, Canada) using the database of FactPS, FToxid and FT salt. The results show that vanadium oxide cannot be directly chlorinated thermodynamically by NaCl and CaCl2 as solid chlorinating agents. However, V2O4 and V2O5 can be chlorinated by FeCl3. Meanwhile, V can be separated from black shale by controlled roasting temperature of chlorination volatilization [67]. In the air, the structure of illite and muscovite in stone coal is hard to be destroyed by roasting without additives. Zhang et al. [68] studied that the vanadium-bearing stone coal was roasted in chlorine, and 90% of V in the form of VOCl3 was extracted at 1000 °C for 1 h. Li et al. [69] investigated extraction of vanadium by leaching. Under the optimal leaching conditions (liquid-to-solid ratio of 2, oxygen partial pressure of 1200 kPa, 90 °C, 6 h, 1.5 g/L NaClO, 15 g/L HF, 100 g/L H2SO4), 91% of V in vanadium slag was extracted by NaClO-H2SO4-HF system under atmospheric pressure. V3+ in stone was oxidized by NaClO as a chlorinating agent and oxidant.
4.5. Chlorination Extraction of Vanadium from Spent Catalysts
Catalysts are extensively used in sulfuric acid production and petroleum refining [70,71]. More than 100,000 tons of spent hydrodesulphurization catalysts are produced every year, which usually contain the valuable elements V, Mo, Ni, and Co [72]. Vanadium in spent catalyst is present in the form of sulfide (V2S3 or V3S4) [73]. Oxidation roasting of spent catalyst and subsequent NaCl/H2O roasting of oxide were proposed by Biswas et al. [74], and 81.9% of V was extracted. The reactions were as follows in Equations (48) and (49):
4V3S4 + 31O2 = 6V2O5 + 16SO2
V2O5 + 2NaCl + 2H2O = 2NaVO3 + 2HCl
There are two processes (direct chlorination and roasting chlorination) for recovering vanadium from spent hydrodesulphurization catalysts by Cl2 chlorination.
In addition to metal elements such as vanadium and molybdenum, spent catalysts also contain elemental carbon and sulfur. Direct chlorination of spent catalysts was investigated by Gaballah et al. [75]. In order to recover Mo, V, Ni and Co, Cl2/N2, Cl2/air, and Cl2/CO/N2, gas mixtures were used to chloride spent catalysts. Vanadium sulphide was chlorinated to vanadium chloride as expressed in the reaction Equations (50)–(52). A total of 75% of V in the form of VCl4 and/or VOCl3 was recovered by Cl2/air gas mixture at less than 600 °C.
1/7V2S3 + Cl2 = 2/7VCl4 (l,g) + 3/7SCl2
1/4V2S3 + 3/4O2 + Cl2 = 1/2VCl4 (l,g) + 3/4SO2
1/3V2S3 + 3/4O2 + Cl2 = 2/3VOCl3 (l,g) + SO2
Vanadium sulfide in the spent catalyst is first oxidized to oxide at 300–500 °C. Vanadium oxide was chlorinated by Cl2/N2, Cl2/O2, or Cl2/CO in the temperature range 300 °C to 600 °C. Finally, V was volatilized in the form of VCl4 or VOCl3 to achieve separation from other elements (Co, Ni). A total of 65% of V from oxidized V sulfide can be recovered by Cl2/N2 = 1 at 500 °C for 19 h. Meanwhile, V sulfide is directly chlorinated without roasting, and 80% of V can be recovered by Cl2/N2 = 1 at 500 °C for 0.5 h [76].
The affinity of metal to oxide is stronger than that of metal to sulfur. Under the same conditions, sulfides are easier to chlorinate than oxides. Thus, direct chlorination of vanadium sulfide is better than chlorination after oxidation of vanadium sulfide [77].
4.6. Chlorination of V2O5
Mink et al. [78] reported that CCl4 reversibly dissociate and adsorbs on the two exposed vanadium atoms of the basic (001) plane of V2O5 before the chlorination reaction. The mechanism of chlorination of V2O5 by CCl4 was analyzed by MS and XPS. Before the formation of the volatile final product VOCl3, the surface vanadium atoms gradually acquire two chlorine atoms [79]. The kinetics of chlorination of V2O5 by CCl4 was investigated by Jean et al. [80]. A total of 87% of V2O5 could be chlorinated by CCl4 at 480 °C in 30min. Chlorination reaction conforms to topochemical reaction model. According to analysis of kinetics results, the following mechanisms, Equations (53)–(58), at different temperatures, were proposed.
- a.
- 280–370 °C
- b.
- 410–515 °C
The whole reaction can be expressed by the following Formula (59)
V2O5 + 3CCl4 = 2VCl4 + 2CO2 + COCl2 + Cl2
Gaballah et al. [81] studied kinetics of chlorination of V2O5 with Cl2-CO-N2, Cl2-N2, and Cl2-air gas mixtures. Thermodynamic calculation showed that chlorinated product was mainly VOCl3 during the Cl2 chlorination of V2O5. However, VCl4 may be formed during the carbochlorination of vanadium pentoxide. The results of kinetics indicated that the rate-control step of V2O5 chlorination process between 500 °C and 570 °C with Cl2-N2 was a chemical reaction. Pore diffusion and chemical reaction were the limiting step for the V2O5 chlorination in the temperature range of 570 °C to 650 °C. In Cl2-CO-N2 atmosphere, the limiting step of carbochlorination of V2O5 at 400–620 °C was the chemical reaction. Brocchi et al. [6] systematically studied the carbon-chlorination of V2O5 from thermodynamics between 627 °C and 1327 °C. In carbon-chlorination reaction of V2O5, the most stable vanadium oxychloride and vanadium chloride are VOCl3 and VCl4, respectively. E. Mccarley et al. [82] reported a process for preparing high-purity V2O5 (maximum of 100 ppm impurities) by carbon chlorination using V red cake (88 wt% of V2O5) as raw materials. Pap et al. [83] reported that the chlorination of V2O5 by three chlorinating agents (Cl2, COCl2 and CCl4) is compared from the aspects of thermodynamics and kinetics. The results showed that V2O5 can be chlorinated thermodynamically by COCl2 and CCl4 at 127 °C, and the chlorinated products were VOCl3 and CO2. However, the reaction of V2O5 with Cl2 can occur obviously when the temperature exceeds 477 °C. The chlorinated product was VOCl3 and O2. The chlorination kinetics showed that the apparent activation energy of V2O5 chlorinated by Cl2, CCl4, and COCl2 were 126 kJ/mol, 77 kJ/mol, and 48 kJ/mol, respectively. High-purity V2O5 (99.95 wt%) is prepared by chlorinating industrial grade V2O5 (96.7 wt%) with AlCl3. The reactions involved are as follows in Equations (60)–(64). Under the protection of purity Ar, the chlorination ratio of V2O5 at a V2O5:AlCl3 mole ratio of 1:6, 180 °C, and 3.5 h was 62%, and a large amount of VOCl3 was collected. When NaCl is added to the chlorination reaction system, the chlorination ratio of vanadium can reach 83.4% at mole ratio of AlCl3:V2O5 of 6:1 and mole fraction of NaCl of 0.6 in the NaCl-AlCl3 system [84,85].
2AlCl3 + V2O5 = Al2O3 + 2VOCl3 (g)
6VOCl3 + 20NH3·H2O = (NH4)2V6O16 + 18NH4Cl + 10H2O
VOCl3 + 4NH4OH = NH4VO3 + 3NH4Cl + 2H2O
(NH4)2V6O16 = 3V2O5 + 2NH3 + H2O
NH4VO3 = V2O5 + 2NH3 + H2O
4.7. Chlorination Extraction of Vanadium from Other Vanadium-Containing Materials
Petroleum coke, fly ash and carbonaceous gold ore also contain a certain amount of vanadium. 0.6 Mt/year of petroleum coke was produced from Syrian petroleum refineries. The extraction ratio of vanadium can reach 60% by NaCl-roasting [86]. The vanadium content in fly ash is as low as 1–7%. The fly ash was treated by acid leaching, oxidation of NaClO3, and precipitation [87]. Murase et al. [88] investigated extraction and separation of vanadium from a fly ash of Orimulsion. Air-Cl2 or N2-Cl2 gas mixture were used to chlorinate valuable elements (V, Ni and Mg). The separation of V and Fe were achieved by controlled temperature of chlorination. V and Fe was selectively extracted by chlorination at 400 °C and 500 °C, respectively. Mg and Ni in residue were extracted by chlorination of N2-Cl2-Al2Cl6 (g) at 600 °C. The extraction and separation of V, Ni and Mg were successfully achieved by the method of chlorination. The content of vanadium in refractory carbonaceous gold ore is 1.1 wt%. Wang et al. [89] investigated extraction and separation of vanadium from carbonaceous gold ore by NaCl roasting. After NaCl roasting, Au volatilizes in the form of AuCl3 and V in the form of NaVO3 remains in the roasted solid. The reactions were as follows in Equations (65)–(69).
4FeS2 + 11O2 = Fe2O3 + 8SO2
SO2 + 2NaCl + O2 = Na2SO4 + Cl2
4VxOy + (5x−2y)O2 = 2xV2O5 (1 ≤ x ≤ 2; 2 ≤ y ≤ 4)
2V2O5 + 4NaCl + O2 = 4NaVO3 + 2Cl2
2Au + 3Cl2 = 2AuCl3
The influences of experiment conditions including NaCl dosage, time and temperature were studied. Under optimal process conditions, (air gas flow rate 1 L/min, 4 h, 800 °C, NaCl 10%), the extraction ratios of V and Au are 85.3% and 92%.
4.8. Treatments of Chlor-Containing Compounds in Gas, Solid and Solution
Regarding the Cl2 and HCl off-gas generated in the chlorination process, the first method is recycling, and the second method is the absorption of alkaline solution. The chloride in the solid can be washed to remove chloride ions. The chlor-containing wastewater can be treated by solvent extraction, the electrochemical method, separation interception method, the principle of precipitation, and ion exchange [90].
5. Conclusions and Outlook
The research progress on the treatment of vanadium-containing materials with various chlorinating agents (solid and gas) is summarized in terms of thermodynamics and kinetics.
The NaCl roasting method is used to treat vanadium titanomagnetite, vanadium slag, stone, spent catalysts, petroleum coke, and carbonaceous gold ore. The NaCl roasting method has the characteristics of short process, less investment and less equipment, etc. In the 1970s, in China, the price of vanadium was very high and hundreds of small-scale vanadium extraction plants adopted the NaCl roasting method to extract vanadium from vanadium-containing materials (stone coal) [63]. However, Cl2 and HCl generated during the NaCl roasting process makes it highly demanding for the equipment’s anti-corrosion performance. The environmental pollution caused by Cl2 and HCl gas and the threat of Cl2 and HCl gas to workers’ health are also fatal defects of NaCl roasting. Due to increasingly strict environmental protection policies, the NaCl roasting method has become outdated and has gradually been replaced by other roasting methods.
The demand for high-purity vanadium pentoxide is increasing in all-vanadium flow batteries and high-purity metal vanadium. Therefore, efficient preparation of high-purity vanadium pentoxide is urgently needed [91]. Due to the low melting point and boiling point of vanadium chloride, vanadium chloride has a greater advantage than vanadium oxide in separation and enrichment. The advantages of chlorination method in the preparation of high-purity vanadium are very obvious, and it has very good development prospects.
Trivalent vanadium oxide is difficult to leach. Thus, the traditional vanadium extraction method is to oxidize vanadium to pentavalent vanadium for extraction. However, the toxicity of vanadium compounds increases with the increase of vanadium valence, and the pentavalent vanadium compounds are the most toxic. More than 90% of vanadium produced in industry is added to steel in the form of vanadium alloys. Trivalent vanadium oxide can be chlorinated to VCl3 by AlCl3. Metal V can be obtained by reduction or electrolysis of VCl3. Thus, the direct chlorination of low-valent vanadium is also a very promising process.
Author Contributions
Conceptualization, S.L. and L.W.; methodology, L.W.; validation, S.L., W.X., and L.W.; formal analysis, S.L.; investigation, S.L.; resources, W.X.; data curation, W.X.; writing—original draft preparation, S.L. and L.W.; writing—review and editing, L.W.; visualization, S.L. and W.X.; supervision, L.W.; funding acquisition, S.L. and L.W. All authors have read and agreed to the published version of the manuscript.
Funding
The authors are grateful for the financial support of this work from the National Natural Science Foundation of China (No. 51904286, 51922003, 51734002).
Data Availability Statement
The data presented in this study are available from the corresponding author, upon reasonable request.
Conflicts of Interest
The authors declare no conflict of interest.
References
- Peng, H. A literature review on leaching and recovery of vanadium. J. Environ. Chem. Eng. 2019, 7, 103313. [Google Scholar] [CrossRef]
- Bauer, G.; Güther, V.; Hess, H.; Otto, A.; Roidl, O.; Roller, H.; Sattelberger, S. Vanadium and Vanadium Compounds; Excerpt from Ullmann’s; Wiley-VCH Verlag GmbH: Weinheim, Germany, 2002. [Google Scholar]
- Del Carpio, E.; Hernández, L.; Ciangherotti, C.; Coa, V.V.; Jiménez, L.; Lubes, V.; Lubes, G. Vanadium: History, chemistry, interactions with α-amino acids and potential therapeutic applications. Coord. Chem. Rev. 2018, 372, 117–140. [Google Scholar] [CrossRef] [PubMed]
- Zhao, Q.S.; Li, Z.J. Vanadium Metallurgy(fine)/Nonferrous Metals Theory and Technology Frontier Series; Central South University Press: Changsha, China, 2015. [Google Scholar]
- Hildenbrand, D.L.; Lau, K.H.; Perez-Mariano, J.; Sanjurjo, A. Thermochemistry of the Gaseous Vanadium Chlorides VCl, VCl2, VCl3, and VCl4. J. Phys. Chem. A 2008, 112, 9978–9982. [Google Scholar] [CrossRef] [PubMed]
- Aregay, G.G.; Ali, J.; Shahzad, A.; Lfthikar, J.; Oyekunle, D.T.; Chen, Z.Q. Application of layered double hydroxide enriched with electron rich sulfide moieties (S2O42−) for efficient and selective removal of vanadium (V) from diverse aqueous medium. Sci. Total Environ. 2021, 792, 148543. [Google Scholar] [CrossRef]
- Zhang, R.C.; Leiviskä, T. Surface modification of pine bark with quaternary ammonium groups and its use for vanadium removal. Chem. Eng. J. 2020, 385, 123987. [Google Scholar] [CrossRef]
- Petranikova, M.; Tkaczyk, A.; Bartl, A.; Amato, A.; Lapkovskis, V.; Tunsu, C. Vanadium sustainability in the context of innovative recycling and sourcing development. Waste Manag. 2020, 113, 521–544. [Google Scholar] [CrossRef]
- Gilligan, R.; Nikoloski, A.N. The extraction of vanadium from titanomagnetites and other sources. Miner. Eng. 2020, 146, 106106. [Google Scholar] [CrossRef]
- Kologrieva, U.; Volkov, A.; Zinoveev, D.; Krasnyanskaya, I.; Stulov, P.; Wainstein, D. Investigation of vanadium-containing sludge oxidation roasting process for vanadium extraction. Metals 2021, 11, 100. [Google Scholar] [CrossRef]
- Brocchi, E.; Navarro, R.; Moura, F. A chemical thermodynamics review applied to V2O5 chlorination. Thermochim. Acta 2013, 559, 1–16. [Google Scholar] [CrossRef]
- Zhou, X.J.; Cui, X.M.; Peng, F.C. Thermodynamics of Ti, V and Their Chemical Compounds; Metallurgical Industry Press: Beijing, China, 2019. (In Chinese) [Google Scholar]
- Wang, H.-J.; Feng, Y.-L.; Li, H.-R.; Kang, J.-X. Simultaneous extraction of gold and zinc from refractory carbonaceous gold ore by chlorination roasting process. Trans. Nonferr. Met. Soc. China 2020, 30, 1111–1123. [Google Scholar] [CrossRef]
- Fan, C.; Xu, J.; Yang, H.; Zhu, Q. High-purity, low-Cl V2O5 via the gaseous hydrolysis of VOCl3 in a fluidized bed. Particuology 2020, 49, 9–15. [Google Scholar] [CrossRef]
- Kim, J.Y.; Lee, M.S.; Jung, E.J. A study of formation behavior of porous structure induced by selective chlorination of ilmenite. Mater. Chem. Phys. 2020, 241, 122433. [Google Scholar] [CrossRef]
- Xing, Z.; Cheng, G.; Yang, H.; Xue, X.; Jiang, P. Mechanism and application of the ore with chlorination treatment: A review. Miner. Eng. 2020, 154, 106404. [Google Scholar] [CrossRef]
- Jena, S.K.; Dash, N.; Angadi, S.I. A novel application of Linz-Donawitz Slag for potash recovery from waste mica scrap using chlorination roasting coupled water leaching process. Sep. Sci. Technol. 2021, 56, 2310–2326. [Google Scholar] [CrossRef]
- Mochizuki, Y.; Tsubouchi, N.; Sugawara, K. Separation of valuable elements from steel making slag by chlorination. Resour. Conserv. Recycl. 2020, 158, 104815. [Google Scholar] [CrossRef]
- Long, H.L.; Li, H.Y.; Pei, J.N.; Srinivasakannan, C.; Yin, S.H.; Zhang, L.B.; Ma, A.Y.; Li, S.W. Cleaner recovery of multiple valuable metals from cyanide tailings via chlorination roasting. Sep. Sci. Technol. 2021, 56, 2113–2123. [Google Scholar] [CrossRef]
- Guo, X.; Zhang, B.; Wang, Q.; Li, Z.; Tian, Q. Recovery of Zinc and Lead from Copper Smelting Slags by Chlorination Roasting. JOM 2021, 73, 1861–1870. [Google Scholar] [CrossRef]
- Kim, J.; Lee, Y.R.; Jung, E.J. A Study on the Roasting Process for Efficient Selective Chlorination of Ilmenite Ores. JOM 2021, 73, 1495–1502. [Google Scholar] [CrossRef]
- Kang, J.; Okabe, T.H. Thermodynamic Consideration of the Removal of Iron from Titanium Ore by Selective Chlorination. Met. Mater. Trans. A 2014, 45, 1260–1271. [Google Scholar] [CrossRef]
- Jena, P.K.; Brocchi, E.A. Metal extraction through chlorine metallurgy. Miner. Process. Extr. Metall. Rev. 1997, 16, 211–237. [Google Scholar] [CrossRef]
- Li, H.Y.; Li, S.W.; Ma, P.C.; Zhou, Z.F.; Long, H.L.; Peng, J.H.; Zhang, L.B. Evaluation of a cleaner production for cyanide tailings by chlorination thermal treatments. J. Clean. Prod. 2021, 281, 124195. [Google Scholar] [CrossRef]
- Chen, S.; Guan, J.; Yuan, H.; Wu, H.C.; Gu, W.X.; Gao, G.L.; Guo, Y.G.; Dia, J.; Su, R.J. Behavior and Mechanism of Indium Extraction from Waste Liquid-Crystal Display Panels by Microwave-Assisted Chlorination Metallurgy. JOM 2021, 73, 1290–1300. [Google Scholar] [CrossRef]
- Cui, F.; Mu, W.; Zhai, Y.; Guo, X. The selective chlorination of nickel and copper from low-grade nickel-copper sulfide-oxide ore: Mechanism and kinetics. Sep. Purif. Technol. 2020, 239, 116577. [Google Scholar] [CrossRef]
- Kumari, A.; Raj, R.; Randhawa, N.; Sahu, S.K. Energy efficient process for recovery of rare earths from spent NdFeB magnet by chlorination roasting and water leaching. Hydrometallurgy 2021, 201, 105581. [Google Scholar] [CrossRef]
- Okabe, P.; Newton, M.; Rappleye, D.; Simpson, M.F. Gas-solid reaction pathway for chlorination of rare earth and actinide metals using hydrogen and chlorine gas. J. Nucl. Mater. 2020, 534, 152156. [Google Scholar] [CrossRef]
- Xie, K.; Hu, H.; Xu, S.; Chen, T.; Huang, Y.; Yang, Y.; Yang, F.; Yao, H. Fate of heavy metals during molten salts thermal treatment of municipal solid waste incineration fly ashes. Waste Manag. 2020, 103, 334–341. [Google Scholar] [CrossRef]
- Chen, D.H. Annual evaluation for vanadium industry in 2018. HeBei Metall. 2019, 284, 5–15. (In Chinese) [Google Scholar]
- Fan, G.; Wang, M.; Dang, J.; Zhang, R.; Lv, Z.; He, W.; Lv, X. A novel recycling approach for efficient extraction of titanium from high-titanium-bearing blast furnace slag. Waste Manag. 2021, 120, 626–634. [Google Scholar] [CrossRef] [PubMed]
- Zhang, R.; Dang, J.; Liu, D.; Lv, Z.; Fan, G.; Hu, L. Reduction of perovskite-geikielite by methane–hydrogen gas mixture: Thermodynamic analysis and experimental results. Sci. Total Environ. 2020, 699, 134355. [Google Scholar] [CrossRef] [PubMed]
- Zheng, F.; Chen, F.; Guo, Y.; Jiang, T.; Travyanov, A.Y.; Qiu, G. Kinetics of Hydrochloric Acid Leaching of Titanium from Titanium-Bearing Electric Furnace Slag. JOM 2016, 68, 1476–1484. [Google Scholar] [CrossRef]
- Yang, S.L. Non-Blast Furnace Smelting Technology of Vanadium-Titanium Magnetite; Metallurgical Industry Press: Beijing, China, 2012. (In Chinese) [Google Scholar]
- Bhaskarasarma, P.; Rao, P.; Jena, P. Extraction of vanadium from titaniferrous vanadium bearing magnetities by salt roasting. Trans. Ind. Inst. Met. 1980, 33, 166–169. [Google Scholar]
- Jena, P.K.; Brocchi, E.A. Halide Metallurgy of Refractory Metals. Miner. Process. Extr. Met. Rev. 1992, 10, 29–40. [Google Scholar] [CrossRef]
- Zheng, H.Y.; Sun, Y.; Lu, J.W.; Dong, J.H.; Zhang, W.L.; Shen, F.M. Vanadium extraction from vanadium-bearing titano-magnetite by selective chlorination using chloride wastes (FeClx). J. Cent. South Univ. 2017, 24, 311–317. [Google Scholar] [CrossRef]
- Lee, J.-C.; Kim, E.-Y.; Chung, K.W.; Kim, R.; Jeon, H.-S. A review on the metallurgical recycling of vanadium from slags: Towards a sustainable vanadium production. J. Mater. Res. Technol. 2021, 12, 343–364. [Google Scholar] [CrossRef]
- Liu, S.Y. Fundamental Studies on Selective Chlorination of Valuable Elements (Fe, Mn, V, Cr and Ti) from Vanadium Slag and Utilizations towards High Value. Ph.D. Thesis, University of Science and Technology Beijing, Beijing, China, 2019. [Google Scholar]
- Xiang, J.; Huang, Q.; Lv, X.; Bai, C. Extraction of vanadium from converter slag by two-step sulfuric acid leaching process. J. Clean. Prod. 2018, 170, 1089–1101. [Google Scholar] [CrossRef]
- Liu, S.Y.; Wang, L.J.; Chou, K.C. Viscosity measurement of FeO–SiO2–V2O3–TiO2 slags in the temperature range of 1644–1791 K and modelling by using ion-oxygen parameter. Ironmak. Steelmak. 2018, 45, 641–647. [Google Scholar] [CrossRef]
- Ji, Y.; Shen, S.; Liu, J.; Xue, Y. Cleaner and effective process for extracting vanadium from vanadium slag by using an innovative three-phase roasting reaction. J. Clean. Prod. 2017, 149, 1068–1078. [Google Scholar] [CrossRef]
- Zhang, G.Q.; Hu, T.; Liao, W.J.; Ma, X.D. An energy-efficient process of leaching vanadium from roasted tablet of ammonium sulfate, vanadium slag and silica. J. Environ. Chem. Eng. 2021, 9, 105332. [Google Scholar] [CrossRef]
- Li, H.; Wang, X.H.; Zhou, R.Z. Experimental study on chloridizing volatilization of Ga during sodiumination roasting of V-slag. Iron Steel Vanadium Titan. 1993, 14, 44–50. (In Chinese) [Google Scholar]
- Wang, H.G.; Wang, M.; Wang, X.W. Leaching behaviour of chromium during vanadium extraction from vanadium slag. Miner. Process. Extr. Met. 2015, 124, 127–131. [Google Scholar] [CrossRef]
- Liu, S.; Shen, S.; Chou, K. An effective process for simultaneous extraction of valuable metals (V, Cr, Ti, Fe, Mn) from vanadium slag using acidic sodium chlorate solution under water bath conditions. J. Min. Met. Sect. B Met. 2018, 54, 153–159. [Google Scholar] [CrossRef]
- Sun, Y. Comprehensive Utilization of Vanadium-Bearing Titanomagnetite with Extracting Vanadium by Selective Chlorination technology. Ph.D. Thesis, Northeastern University, Shenyang, China, 2015. (In Chinese). [Google Scholar]
- Du, G.; Fan, C.; Yang, H.; Zhu, Q. Selective extraction of vanadium from pre-oxidized vanadium slag by carbochlorination in fluidized bed reactor. J. Clean. Prod. 2019, 237, 117765. [Google Scholar] [CrossRef]
- Liu, S.-Y.; Li, S.-J.; Wu, S.; Wang, L.-J.; Chou, K.-C. A novel method for vanadium slag comprehensive utilization to synthesize Zn-Mn ferrite and Fe-V-Cr alloy. J. Hazard. Mater. 2018, 354, 99–106. [Google Scholar] [CrossRef] [PubMed]
- Liu, S.; Wang, L.; Chou, K. Selective Chlorinated Extraction of Iron and Manganese from Vanadium Slag and Their Application to Hydrothermal Synthesis of MnFe2O4. ACS Sustain. Chem. Eng. 2017, 5, 10588–10596. [Google Scholar] [CrossRef]
- Liu, S.; Wang, L.; Chou, K.-C.; Kumar, R.V. Electrolytic preparation and characterization of VCr alloys in molten salt from vanadium slag. J. Alloy. Compd. 2019, 803, 875–881. [Google Scholar] [CrossRef]
- Liu, S.; Wang, L.; Chou, K. A Novel Process for Simultaneous Extraction of Iron, Vanadium, Manganese, Chromium, and Titanium from Vanadium Slag by Molten Salt Electrolysis. Ind. Eng. Chem. Res. 2016, 55, 12962–12969. [Google Scholar] [CrossRef]
- Liu, S.; He, X.; Wang, Y.; Wang, L. Cleaner and effective extraction and separation of iron from vanadium slag by carbothermic reduction-chlorination-molten salt electrolysis. J. Clean. Prod. 2021, 284, 124674. [Google Scholar] [CrossRef]
- Liu, S.Y.; Wang, L.J.; Chou, K.C. Innovative method for minimization of waste containing Fe, Mn and Ti during comprehensive utilization of vanadium slag. Waste Manag. 2021, 127, 179–188. [Google Scholar] [CrossRef]
- Liu, S.-Y.; Zhen, Y.-L.; He, X.-B.; Wang, L.-J.; Chou, K.-C. Recovery and separation of Fe and Mn from simulated chlorinated vanadium slag by molten salt electrolysis. Int. J. Miner. Met. Mater. 2020, 27, 1678–1686. [Google Scholar] [CrossRef]
- Menad, N.-E.; Kanari, N.; Save, M. Recovery of high grade iron compounds from LD slag by enhanced magnetic separation techniques. Int. J. Miner. Process. 2014, 126, 1–9. [Google Scholar] [CrossRef]
- Seron, A.; Menad, N.; Galle-Cavalloni, P.; Bru, K. Selective Recovery of Vanadium by Oxy-carbochlorination of Basic Oxygen Furnace Slag: Experimental Study. J. Sustain. Met. 2020, 6, 478–490. [Google Scholar] [CrossRef]
- Bin, Z.Y. Progress of the research on extraction of vanadium pentoxide from black shale and the market of the V2O5. Hu-Nan Nonferr. Met. 2006, 22, 16–20. (In Chinese) [Google Scholar]
- Xiao, W.D. Mineralogy of black shale from Shanglin of Guangxi and vanadium extraction with hydrometallurgical process. Nonferr. Met. 2007, 59, 85–90. [Google Scholar]
- He, D.; Feng, Q.; Zhang, G.; Ou, L.; Lu, Y. An environmentally-friendly technology of vanadium extraction from stone coal. Miner. Eng. 2007, 20, 1184–1186. [Google Scholar] [CrossRef]
- Hu, K.L.; Liu, X.H. Review of roasting processing of vanadium-bearing carbonaceous shale. Rare Met. Cem. Carbides 2015, 43, 1–7. [Google Scholar]
- Lin, H.L.; Fan, B.W. Study on mechanism of phase transformation during roasting and extracting vanadium from Fangshankou bone coal. Chin. J. Rare Met. 2001, 25, 273–277. (In Chinese) [Google Scholar]
- Zhang, Y.M.; Bao, S.X.; Liu, T.; Chen, T.J.; Huang, J. The technology of extracting vanadium from stone coal in China: History, current statues and future prospects. Hydrometallurgy 2011, 109, 116–124. [Google Scholar] [CrossRef]
- Wang, M.; Huang, S.; Chen, B.; Wang, X. A review of processing technologies for vanadium extraction from stone coal. Miner. Process. Extr. Met. 2020, 129, 290–298. [Google Scholar] [CrossRef]
- Bie, S.; Wang, Z.J.; Li, Q.H.; Zhang, Y.G. Review of vanadium extraction from stone coal by roasting technique with sodium chloride and calcium oxide. Chin. J. Rare Met. 2010, 34, 291–297. (In Chinese) [Google Scholar]
- Wang, H.S. Extraction of vanadtum from stone coal by roasting in the presence of sodium salts. Min. Metall. Eng. 1994, 14, 49–52. [Google Scholar]
- Wan, J.Y.; Chen, T.J.; Han, J.; Feng, Y. Thermodynamics analysis of chlorination volatilization enrichment process of black shale. Nonferr. Met. (Extr. Metall.) 2018, 5, 50–55. (In Chinese) [Google Scholar]
- Zhang, Y.; Hu, Y.; Bao, S. Vanadium emission during roasting of vanadium-bearing stone coal in chlorine. Miner. Eng. 2012, 30, 95–98. [Google Scholar] [CrossRef]
- Li, C.-X.; Wei, C.; Deng, Z.-G.; Li, M.-T.; Li, X.-B.; Fan, G. Recovery of vanadium from black shale. Trans. Nonferr. Met. Soc. China 2010, 20, s127–s131. [Google Scholar] [CrossRef]
- Erust, C.; Akcil, A.; Bedelova, Z.; Anarbekov, K.; Baikonurova, A.; Tuncuk, A. Recovery of vanadium from spent catalysts of sulfuric acid plant by using inorganic and organic acids: Laboratory and semi-pilot tests. Waste Manag. 2016, 49, 455–461. [Google Scholar] [CrossRef]
- Li, Z.; Chen, M.; Zhang, Q.; Liu, X.; Saito, F. Mechanochemical processing of molybdenum and vanadium sulfides for metal recovery from spent catalysts wastes. Waste Manag. 2017, 60, 734–738. [Google Scholar] [CrossRef] [PubMed]
- Beolchini, F.; Fonti, V.; Dell’Anno, A.; Rocchetti, L.; Vegliò, F. Assessment of biotechnological strategies for the valorization of metal bearing wastes. Waste Manag. 2012, 32, 949–956. [Google Scholar] [CrossRef]
- Akcil, A.; Vegliò, F.; Ferella, F.; Okudan, M.D.; Tuncuk, A. A review of metal recovery from spent petroleum catalysts and ash. Waste Manag. 2015, 45, 420–433. [Google Scholar] [CrossRef]
- Biswas, R.; Wakihara, M.; Taniguchi, M. Recovery of vanadium and molybdenum from heavy oil desulphurization waste catalyst. Hydrometallurgy 1985, 14, 219–230. [Google Scholar] [CrossRef]
- Gaballah, I.; Djona, M. Recovery of Co, Ni, Mo and V from unroasted spent hydrorefining catalysts by selective chlorination. Metall. Mater. Trans. B 1995, 26, 41–50. [Google Scholar] [CrossRef]
- Gaballah, I.; Djona, M.; Mugica, J.; Solozobal, R. Valuable metals recovery from spent catalysts by selective chlorination. Resour. Conserv. Recycl. 1994, 10, 87–96. [Google Scholar] [CrossRef]
- Zhang, J.Y. Metallurgical Physical Chemistry; Metallurgical Industry Press: Beijing, China, 2004. (In Chinese) [Google Scholar]
- Mink, G.; Bertóti, I.; Székely, T. Chlorination of V2O5 by CCl4. Adsorption and steady state reaction. React. Kinet. Catal. Lett. 1985, 27, 33–38. [Google Scholar] [CrossRef]
- Mink, G.; Bertóti, I.; Székely, T. Chlorination of V2O5 by CCl4, the proposed reaction mechanism. React. Kinet. Catal. Lett. 1985, 27, 39–45. [Google Scholar] [CrossRef]
- Jena, P.; Brocchi, E.; González, J. Kinetics of Low-Temperature Chlorination of Vanadium Pentoxide by Carbon Tetrachloride Vapor. Metall. Mater. Trans. B 2005, 36, 195–199. [Google Scholar] [CrossRef]
- Gaballah, I.; Djona, M.; Allain, E. Kinetics of chlorination and carbochlorination of vanadium pentoxide. Met. Mater. Trans. A 1995, 26, 711–718. [Google Scholar] [CrossRef]
- McCarley, R.E.; Roddy, J.W. The preparation of high purity vanadium pentoxide by a chlorination procedure. J. Less Common Met. 1960, 2, 29–35. [Google Scholar] [CrossRef]
- Pap, I.S.; Mink, G.; Bertóti, I.; Székely, T.; Babievskaya, I.Z.; Karmazsin, E. Comparative kinetic and thermodynamic study on the chlorination of V2O5 with CCl4, COCl2 and Cl2. J. Therm. Anal. Calorim. 1989, 35, 163–173. [Google Scholar] [CrossRef]
- Jiang, D.-D.; Zhang, H.-L.; Xu, H.-B.; Zhang, Y. A novel method to prepare high-purity vanadium pentoxide by chlorination with anhydrous aluminum chloride. Chem. Lett. 2017, 46, 669–671. [Google Scholar] [CrossRef]
- Jiang, D.D.; Zhang, H.L.; Xu, H.B.; Zhang, Y. Chlorination and purification of vanadium pentoxide with anhydrous aluminum chloride. J. Alloy. Compd. 2017, 709, 505–510. [Google Scholar] [CrossRef]
- Shlewit, H.; Alibrahim, M. Extraction of sulfur and vanadium from petroleum coke by means of salt-roasting treatment. Fuel 2006, 85, 878–880. [Google Scholar] [CrossRef]
- Vitolo, S.; Seggiani, M.; Filippi, S.; Brocchini, C. Recovery of vanadium from heavy oil and Orimulsion fly ashes. Hydrometallurgy 2000, 57, 141–149. [Google Scholar] [CrossRef]
- Murase, K.; Nishikawa, K.I.; Ozaki, T.; Machida, K.I.; Adachi, G.Y.; Suda, T. Recovery of vanadium, nickel and magnesium from a fly ash of bitumen-in-water emulsion by chlorination and chemical transport. J. Alloy. Compd. 1998, 264, 151–156. [Google Scholar] [CrossRef]
- Wang, H.; Feng, Y.; Li, H.; Kang, J. The separation of gold and vanadium in carbonaceous gold ore by one-step roasting method. Powder Technol. 2019, 355, 191–200. [Google Scholar] [CrossRef]
- Zhang, L.J.; Lv, P.; He, Y.; Li, S.W.; Chen, K.H.; Yin, S.H. Purification of chlorine-containing wastewater using solvent extraction. J. Clean. Prod. 2020, 273, 122863. [Google Scholar] [CrossRef]
- Fan, C.; Yang, H.; Zhu, Q. Selective hydrolysis of trace TiCl4 from VOCl3 for preparation of high purity V2O5. Sep. Purif. Technol. 2017, 185, 196–201. [Google Scholar] [CrossRef]
Publisher’s Note: MDPI stays neutral with regard to jurisdictional claims in published maps and institutional affiliations. |
© 2021 by the authors. Licensee MDPI, Basel, Switzerland. This article is an open access article distributed under the terms and conditions of the Creative Commons Attribution (CC BY) license (https://creativecommons.org/licenses/by/4.0/).






