Wear and Rolling Contact Fatigue Analysis of AISI 52100 Bearing Steel in Presence of Additivated Lubricants
Abstract
1. Introduction
2. Materials and Experimental Methods
2.1. Preparation of the Lubricant
2.2. Investigating the Anti-Wear (AW) and Extreme Pressure (EP) Properties of the Lubricants
2.3. Investigating the Rolling Contact Fatigue Resistant Properties of the Lubricants
2.4. Measuring the Physico-Chemical Properties of the Lubricants
3. Results and Discussions
3.1. Analysing the Anti-Wear and Extreme Pressure Properties of the Oil Samples
3.2. Analysing the Extreme Pressure Properties of the Oil Samples
3.3. Determining the Surface Roughness of the Balls and Iron Content of the Tested Oil
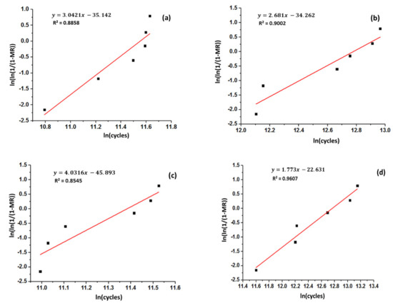
3.4. Investigating the Rolling Contact Fatigue Resistance of AISI 52100 Balls in Presence of the Lubricants
4. Analysing the Surfaces After Tribo-Tests and the Tribo-Film between the Surfaces
5. Discussion
6. Conclusions
Author Contributions
Funding
Informed Consent Statement
Acknowledgments
Conflicts of Interest
References
- Omrani, E.; Menezes, P.L.; Rohatgi, P.K. Effect of Micro- and Nano-Sized Carbonous Solid Lubricants as Oil Additives in Nanofluid on Tribological Properties. Lubricants 2019, 7, 25. [Google Scholar] [CrossRef]
- Bhaumik, S.; Paleu, V.; Pathak, R.; Maggirwar, R.; Katiyar, J.K.; Sharma, A.K. Tribological investigation of r-GO additived biodegradable cashew nut shells liquid as an alternative industry lubricant. Tribol. Int. 2019, 135, 500–509. [Google Scholar] [CrossRef]
- Jiang, F.; Sun, H.; Chen, L.; Lei, F.; Sun, D. Dispersion–tribological property relationship in mineral oils containing 2D layered α-zirconium phosphate nanoplatelets. Friction 2020, 8, 695–707. [Google Scholar] [CrossRef]
- Fayaz, S.D.; Wani, M.F. Insights into the tribological behavior of IF-WS2 nanoparticle reinforced mild extreme pressure lubrication for coated chromium/bulk grey cast iron interface. Proc. Inst. Mech. Part J. 2020, 7. [Google Scholar] [CrossRef]
- Bhowmick, S.; Eskandari, B.; Krishnamurthy, G.; Alpas, A.T. Effect of WS2 particles in cutting fluid on tribological behaviour of Ti–6Al–4V and on its machining performance. Tribol. Mater. Surf. Interf. 2020. [Google Scholar] [CrossRef]
- Yan, C.; Zeng, Q.; Hao, Y.; Xu, Y.; Zhou, M. Friction-Induced Hardening Behaviors and Tribological Properties of 60NiTi Alloy Lubricated by Lithium Grease Containing Nano-BN and MoS2. Tribol. Trans. 2019, 62, 812–820. [Google Scholar] [CrossRef]
- Song, W.; Yan, J.; Ji, H. Fabrication of GNS/MoS2 composite with different morphology and its tribological performance as a lubricant additive. Appl. Surf. Sci. 2019, 469, 226–235. [Google Scholar] [CrossRef]
- Charoo, M.S.; Wani, M.F.; Hanief, M.; Rather, M.A. Tribological Properties of MoS2 Particles as Lubricant Additive on EN31 Alloy Steel and AISI 52100 Steel Ball. Mater. Today Proc. 2017, 4, 9967–9971. [Google Scholar] [CrossRef]
- Saidi, M.Z.; Pasc, A.; Moujahid El, C.; Canilho, N.; Badawi, M.; DelgadoSanchez, C.; Celzard, A.; Fierro, V.; Peignier, R.; Kouitat-Njiwa, R.; et al. Improved tribological properties, thermal and colloidal stability of poly-α-olefins based lubricants with hydrophobic MoS2 submicron additives, J. Colloid Interf. Sci. 2020, 562, 91–101. [Google Scholar] [CrossRef]
- Akbulut, M. Nanoparticle-based lubrication systems. J. Powder Metall Min 2012, 1. [Google Scholar] [CrossRef]
- Hu, K.H.; Hu, X.G.; Xu, Y.F.; Huang, F.; Liu, J.S. The effect of morphology on the tribological properties of MoS2 in liquid paraffin. Tribol. Lett. 2010, 40, 155–165. [Google Scholar] [CrossRef]
- Vaitkunaite, G.; Espejo, C.; Wang, C.; Thiebaut, B.; Charrin, C.; Neville, A.; Morina, A. MOS2 tribofilm distribution from low viscosity lubricants and its effect on friction. Tribol. Int. 2020, 151, 106531. [Google Scholar] [CrossRef]
- An, V.; Irtegov, Y.; De Izarra, V. Study of Tribological Properties of Nanolamellar WS2 and MoS2 as Additives to Lubricants. J. Nanomaterials 2014, 865839. [Google Scholar] [CrossRef]
- Berkdemir, A.; Gutiérrez, H.R.; Botello-Méndez, A.R.; Perea-López, N.; Elías, A.L.; Chia, C.I.; Wang, B.; Crespi, V.H.; López-Urías, F.; Charlier, J.C.; et al. Identification of individual and few layers of WS2 using Raman Spectroscopy. Sci. Rep. 2013, 3, 1755. [Google Scholar] [CrossRef]
- Najmaei, S.; Liu, Z.; Ajayan, P.M.; Lou, J. Thermal effects on the characteristic Raman spectrum of molybdenum disulfide (MoS2) of varying thicknesses. Appl. Phys. Lett. 2012, 100, 013106. [Google Scholar] [CrossRef]
- Wang, Q.; Guo, Z.; Chung, J.S. Formation and structural characterization of potassium titanates and the potassium ion exchange property. Mater. Res. Bull. 2009, 44, 1973–1977. [Google Scholar] [CrossRef]
- Lee, S.Y.; Lee, C.H.; Kim, D.Y.; Locquet, J.; Seo, J.W. Preparation and Photocatalytic Activity of PotassiumIncorporated Titanium Oxide Nanostructures Produced by the Wet Corrosion Process Using Various Titanium Alloys. Nanomaterials 2015, 5, 1397–1417. [Google Scholar] [CrossRef] [PubMed]
- Bhaumik, S.; Kamaraj, M.; Paleu, V. Tribological analyses of a new optimized gearbox biodegradable lubricant blended with reduced graphene oxide nanoparticles. Proc. Inst. Mech. Part J. 2020. [Google Scholar] [CrossRef]
- Bhaumik, S.; Paleu, V.; Sharma, S.; Dwivedi, S.; Borkar, S.; Kamaraj, M. Nano and micro additivated glycerol as a promising alternative to existing non-biodegradable and skin unfriendly synthetic cutting fluids. J. Cleaner Prod. 2020, 263, 121383. [Google Scholar] [CrossRef]
- Thapliyal, P.; Thakre, G.D. Influence of Cu nanofluids on the rolling contact fatigue life of bearing steel. Eng. Fail. Anal. 2017, 78, 110–121. [Google Scholar] [CrossRef]
- Mishra, A.K.; Lakshmi, K.V.; Huang, L. Eco-friendly synthesis of metal dichalcogenides nanosheets and their environmental remediation potential driven by visible light. Sci. Rep. 2015, 5, 15718. [Google Scholar] [CrossRef] [PubMed]
- Wu, N.; Hu, N.; Wu, J.; Zhou, G. Tribology Properties of Synthesized Multiscale Lamellar WS2 and Their Synergistic Effect with Anti-Wear Agent ZDDP. Appl. Sci. 2020, 10, 115. [Google Scholar] [CrossRef]
- Tillmann, W.; Wittig, A.; Stangier, D.; Thomann, C.-A.; Moldenhauer, H.; Debus, J.; Aurich, D.; Brümmer, A. Investigation of the Tribofilm Formation of HiPIMS Sputtered MoSx Thin Films in Different Environments by Raman Scattering. Lubricants 2019, 7, 100. [Google Scholar] [CrossRef]
- Dieterle, M.; Mestl, G. Raman spectroscopy of molybdenum oxides. Part II. Resonance Raman spectroscopic characterization of the molybdenum oxides Mo4O11 and MoO2. Phys. Chem. Chem. Phys. 2002, 4, 822–826. [Google Scholar] [CrossRef]
- Djaoued, Y.; Balaji, S.; Bruning, R. Electrochromic devices based on porous tungsten oxide thin films. J. Nanomater. 2012, 674168. [Google Scholar] [CrossRef]
- Wong, K.C.; Lu, X.; Cotter, J.; Eadie, D.T.; Wong, P.C.; Mitchell, K.A.R. Surface and friction characterization of MoS2 and WS2 third body thin films under simulated wheel/rail rolling–sliding contact. Wear 2008, 264, 526–534. [Google Scholar] [CrossRef]
- Sun, J.; Li, X.; Guo, W.; Zhao, M.; Fan, X.; Dong, Y.; Xu, C.; Deng, J.; Fu, Y. Synthesis Methods of Two-Dimensional MoS2: A Brief Review. Crystals 2017, 7, 198. [Google Scholar] [CrossRef]
- Wu, J.-Y.; Lin, M.-N.; Wang, L.-D.; Zhang, T. Photoluminescence of MoS2 Prepared by Effective Grinding-Assisted Sonication Exfoliation. J. Nanomaterials 2014, 2014, 852735. [Google Scholar] [CrossRef]
- Xu, J.; Zhang, J.; Zhang, W.; Shin Lee, C. Interlayer Nanoarchitectonics of Two-Dimensional Transition-Metal Dichalcogenides Nanosheets for Energy Storage and Conversion Applications. Adv. Energy Mater. 2017, 7, 1700571. [Google Scholar] [CrossRef]
- Sasaki, T.; Kooli, F.; Iida, M.; Michiue, Y.; Takenouchi, S.; Yajima, Y.; Izumi, F.; Chakoumakos, B.C.; Wanabe, M. A Mixed Alkali Metal Titanate with the Lepidocrocite-like Layered Structure. Preparation, Crystal Structure, Protonic Form, and Acid−Base Intercalation Properties. Chem. Mater. 1998, 10.12, 4123–4128. [Google Scholar] [CrossRef]













| Lubricant Samples | Viscosity at 40 °C (cSt) | Viscosity at 100 °C (cSt) | Flash Point (°C) | Fire Point (°C) |
|---|---|---|---|---|
| (ASTM D 7279) | (ASTM D 7279) | (ASTM D 92) | (ASTM D 93) | |
| MO | 206 | 13.91 | 212 | 236 |
| MO + 0.1% WS2 | 207 | 14.61 | 240 | 251 |
| MO + 0.5% WS2 | 218 | 14.76 | 260 | 272 |
| MO + 1.0% WS2 | 218 | 14.56 | 260 | 272 |
| MO + 2.0% WS2 | 221 | 14.46 | 260 | 274 |
| MO + 3.0% WS2 | 222 | 14.36 | 265 | 276 |
| MO + 4.0% WS2 | 223 | 14.16 | 265 | 276 |
| MO + 5.0% WS2 | 223 | 14.59 | 275 | 285 |
| MO + 0.1% PT | 211 | 14.99 | 245 | 256 |
| MO + 0.5% PT | 224 | 14.98 | 255 | 267 |
| MO + 1.0% PT | 225 | 14.61 | 260 | 266 |
| MO + 2.0% PT | 224 | 14.55 | 265 | 278 |
| MO + 3.0% PT | 226 | 14.61 | 269 | 274 |
| MO + 4.0% PT | 227 | 14,46 | 270 | 283 |
| MO + 5.0% PT | 229 | 14.70 | 273 | 286 |
| MO + 0.1% MoS2 | 218 | 14.76 | 240 | 252 |
| MO + 0.5% MoS2 | 218 | 14.61 | 250 | 261 |
| MO + 1.0% MoS2 | 220 | 14.70 | 250 | 261 |
| MO + 2.0% MoS2 | 223 | 14.70 | 250 | 263 |
| MO + 3.0% MoS2 | 224 | 14.70 | 253 | 266 |
| MO + 4.0% MoS2 | 224 | 14.79 | 255 | 267 |
| MO + 5.0% MoS2 | 226 | 14.81 | 265 | 277 |
| Oil Samples | Ra (µm) | Rq (µm) | Fe Content (ppm) |
|---|---|---|---|
| Before test | 0.146 ± 0.032 | 0.211 ± 0.046 | 0 |
| MO | 1.599 ± 0.094 | 3.624 ± 0.153 | 22.1 |
| MO + 3% PT | 1.213 ± 0.075 | 2.049 ± 0.116 | 20.0 |
| MO + 3% MOS2 | 1.004 ± 0.063 | 1.650 ± 0.102 | 16.8 |
| MO + 2% WS2 | 0.712 ± 0.047 | 1.582 ±0.098 | 4.56 |
| Oil Samples | Shape Parameter (β) | Characteristic Life (α) |
|---|---|---|
| MO | 3.0421 | 103,973 |
| MO + 3% PT | 2.6810 | 354,551 |
| MO + 2% WS2 | 4.0316 | 87,844 |
| MO + 3% MOS2 | 1.7730 | 349,494 |
Publisher’s Note: MDPI stays neutral with regard to jurisdictional claims in published maps and institutional affiliations. |
© 2021 by the authors. Licensee MDPI, Basel, Switzerland. This article is an open access article distributed under the terms and conditions of the Creative Commons Attribution (CC BY) license (https://creativecommons.org/licenses/by/4.0/).
Share and Cite
Bhaumik, S.; Paleu, V. Wear and Rolling Contact Fatigue Analysis of AISI 52100 Bearing Steel in Presence of Additivated Lubricants. Metals 2021, 11, 907. https://doi.org/10.3390/met11060907
Bhaumik S, Paleu V. Wear and Rolling Contact Fatigue Analysis of AISI 52100 Bearing Steel in Presence of Additivated Lubricants. Metals. 2021; 11(6):907. https://doi.org/10.3390/met11060907
Chicago/Turabian StyleBhaumik, Shubrajit, and Viorel Paleu. 2021. "Wear and Rolling Contact Fatigue Analysis of AISI 52100 Bearing Steel in Presence of Additivated Lubricants" Metals 11, no. 6: 907. https://doi.org/10.3390/met11060907
APA StyleBhaumik, S., & Paleu, V. (2021). Wear and Rolling Contact Fatigue Analysis of AISI 52100 Bearing Steel in Presence of Additivated Lubricants. Metals, 11(6), 907. https://doi.org/10.3390/met11060907

