Deposition of Arsenic from Nitric Acid Leaching Solutions of Gold–Arsenic Sulphide Concentrates
Abstract
1. Introduction
2. Materials and Methods
2.1. Materials and Reagents
2.2. Analysis
2.3. Experimental Procedure
3. Results and Discussion
3.1. Thermodynamics of Arsenic Sulphide Precipitation
3.2. Influence of the Main Parameters Governing the Precipitation of Arsenic (III) Sulphide from Nitric Acid Leaching Solutions on the Degree of Reduction of Fe3+ Ions to Fe2+
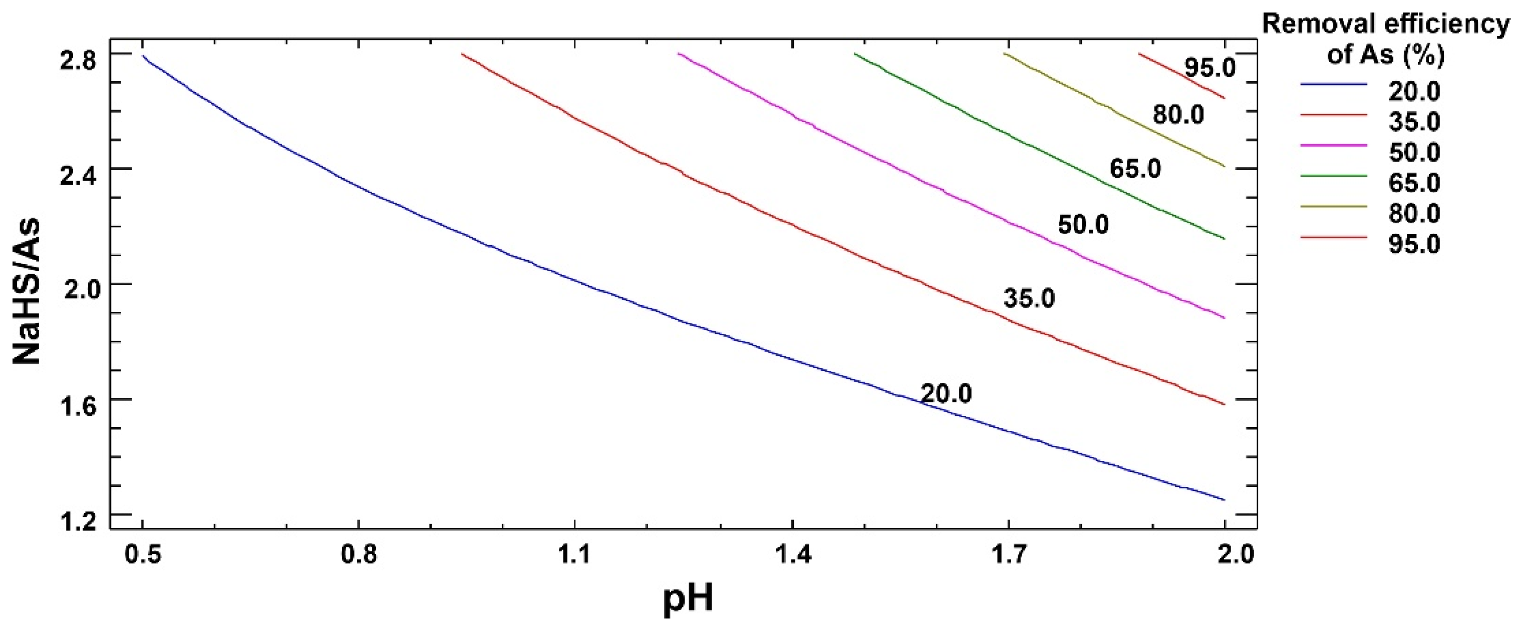
3.2.1. Effect of pH and NaHS/As Molar Ratio
3.2.2. Influence of Temperature
3.2.3. Influence of As2S3 Seed Crystal Consumption
3.3. Residue Characteristics
4. Conclusions
- -
- The highest degree of precipitation of arsenic (III) sulphide (95–99%) from nitric acid leaching solutions containing iron (III) ions occurs with a pH from 1.8 to 2.0 and a NaHS/As molar ratio of 2.8. An increase in the molar ratio of NaHS/As and pH promotes a decrease in the Fetotal/Fe2+ ratio due to the oxidation of the sulphide ion by iron (III) ions to elemental sulphur.
- -
- An increase in temperature leads to a significant decrease in the precipitation of arsenic (III) sulphide. As the temperature rises from 25 to 60 °C, the degree of arsenic transfer to the precipitate is almost halved for the entire studied pH range from 1.0 to 2.0. This is due to an increase in the oxidation state of the sulphide ion by iron (III) ions to elemental sulphur, which is also confirmed by a decrease in the Fetotal/Fe2+ ratio in solution to 1.05–1.01.
- -
- The introduction of seed crystal significantly improves the precipitation of arsenic (III) sulphide. An increase in seed crystal consumption from 0 to 34 g/L in solution promotes an increase in the degree of transition of arsenic to sediment from 36.2 to 98.1% at pH = 1.
- -
- According to SEM/EDS and XRF sediment data, from the results of the experiments on the effect of As2S3 seed crystal consumption, acidity and molar ratio of NaHS/As on the precipitation of arsenic (III) sulphide and the Fetotal/Fe2+ ratio in the final solution, it can be concluded that the addition of a seed accelerates the crystallisation of arsenic (III) sulphide by increasing the number of crystallisation centres; as a result, the deposition rate of As2S3 becomes higher. Since the oxidation rate of sulphide ions to elemental sulphur by iron (III) ions does not change significantly, the molar ratio of NaHS/As can be reduced to 2.25 to obtain a precipitate having a lower amount of elemental sulphur and a high arsenic content similar to that precipitated from pure model solutions.
- -
- As compared to the traditional neutralisation method, the production of arsenic (III) sulphide without the formation of free acid or the use of additional oxidants and lime as a neutraliser contributes to the production of a more concentrated arsenic sludge for a given volume containing 42% arsenic. Arsenic trisulphide is stable under reducing conditions at pH < 4.
Author Contributions
Funding
Institutional Review Board Statement
Informed Consent Statement
Data Availability Statement
Conflicts of Interest
References
- Brittan, M. Oxygen roasting of refractory gold ores. Miner. Eng. 1995, 47, 145–148. [Google Scholar] [CrossRef]
- Vikentyev, I.V. Invisible and microscopic gold in pyrite: Methods and new data for massive sulfide ores of the Urals. Geol. Ore Depos. 2015, 57, 237–265. [Google Scholar] [CrossRef]
- Rusanen, L.; Aromaa, J.; Forsen, O. Pressure oxidation of pyrite-arsenopyrite refractory gold concentrate. Physicochem. Probl. Miner. Process. 2013, 49, 101–109. [Google Scholar] [CrossRef]
- Conner, K.D. Pressure Oxidation of Enargite Concentrates Containing Gold and Silver. Ph.D. Thesis, Colorado School of Mines, Golden, CO, USA, 2014; pp. 1–366. [Google Scholar]
- Zaytsev, P.; Fomenko, I.; Chugaev, V.L.; Shneerson, M.Y. Pressure oxidation of double refractory raw materials in the presence of limestone. Tsvetn. Met. 2015, 105, 41–49. [Google Scholar] [CrossRef]
- Miller, P.; Brown, A. Bacterial oxidation of refractory gold concentrates. Dev. Miner. Process. 2005, 15, 371–402. [Google Scholar] [CrossRef]
- Harvey, T.J.; Bath, M. The GeoBiotics GEOCOAT® Technology–Progress and Challenges. In Biomining; Rawlings, D.E., Johnson, D.B., Eds.; Springer: Berlin/Heidelberg, Germany, 2007; pp. 97–112. [Google Scholar] [CrossRef]
- Johnson, G.; Corrans, I.; Angove, J. The Activox™ Process for Refractory Gold Ores. In Proceedings of the Randol Gold Forum, Beaver Creek, CO, USA, 7–9 September 1993; pp. 183–189. [Google Scholar]
- Hourn, M. Refractory leaching solutions. Aust. Min. 2009, 101, 20. [Google Scholar]
- Leachox Process. Available online: https://zolotodb.ru/article/12208 (accessed on 10 May 2021).
- McDonald, R.G.; Muir, D.M. Pressure oxidation leaching of chalcopyrite. Part I. Comparison of high and low temperature reaction kinetics and products. Hydrometallurgy 2007, 86, 191–205. [Google Scholar] [CrossRef]
- Flatt, J.R. The Kinetics of Pyrite and Elemental Sulfur Reactions During Nitric Acid Pre-Oxidation of Refractory Gold Ores. Ph.D. Thesis, The University of Adelaide, South Australia, Australia, 1996. [Google Scholar]
- Gao, G.; Li, D.; Zhou, Y.; Sun, X.; Sun, W. Kinetics of high-sulphur and high-arsenic refractory gold concentrate oxidation by dilute nitric acid under mild conditions. Miner. Eng. 2009, 22, 111–115. [Google Scholar] [CrossRef]
- Rogozhnikov, D.; Karimov, K.; Shoppert, A.; Dizer, O.; Naboichenko, S. Kinetics and mechanism of arsenopyrite leaching in nitric acid solutions in the presence of pyrite and Fe(III) ions. Hydrometallurgy 2021, 199, 105525. [Google Scholar] [CrossRef]
- Rogozhnikov, D.A.; Mamyachenkov, S.V.; Anisimova, O.S. Nitric Acid Leaching of Copper-Zinc Sulfide Middlings. Metallurgist 2016, 60, 229–233. [Google Scholar] [CrossRef]
- Anderson, C.G.; Harrison, K.D.; Krys, L.E. Theoretical considerations of sodium nitrite oxidation and fine grinding in refractory precious-metal concentrate pressure leaching. Miner. Metall. Process. 1996, 13, 4–11. [Google Scholar] [CrossRef]
- Van Weert, G.; Fair, K.J.; Schneider, J.C. Prochem’s NITROX Process. CIM Bull. 1986, 79, 84–85. [Google Scholar]
- Beattie, M.J.V.; Ismay, A. Applying the redox process to arsenical concentrates. JOM 1990, 42, 31–35. [Google Scholar] [CrossRef]
- La Brooy, S.R.; Linge, H.G.; Walker, G.S. Review of gold extraction from ores. Miner. Eng. 1994, 7, 1213–1241. [Google Scholar] [CrossRef]
- Yildirim, Ö.; Kiss, A.A.; Hüser, N.; Leßmann, K.; Kenig, E.Y. Reactive absorption in chemical process industry: A review on current activities. Chem. Eng. J. 2012, 213, 371–391. [Google Scholar] [CrossRef]
- Suchak, N.J.; Jethani, K.R.; Joshi, J.B. Modeling and simulation of NOX absorption in pilot-scale packed columns. AIChE J. 1991, 37, 323–339. [Google Scholar] [CrossRef]
- Liu, Y.; Zhang, J.; Sheng, C.; Zhang, Y.; Zhao, L. Simultaneous removal of NO and SO2 from coal-fired flue gas by UV/H2O2 advanced oxidation process. Chem. Eng. J. 2010, 162, 1006–1011. [Google Scholar] [CrossRef]
- Mamyachenkov, S.V.; Anisimova, O.S.; Kostina, D.A. Improving the precipitation of arsenic trisulfide from washing waters of sulfuric-acid production of copper smelteries. Russ. J. Non-Ferr. Met. 2017, 58, 212–217. [Google Scholar] [CrossRef]
- Swash, P.M.; Monhemius, A.J. Synthesis, characterization and solubility testing of solids in the Ca–Fe–AsO4 system. In Proceedings of the Sudbury ’95–Mining and the Environment CANMET, Sudbury, ON, Canada, 2005; pp. 17–28. [Google Scholar]
- Moon, D.H.; Dermatas, D.; Menounou, N. Arsenic immobilization by calcium–arsenic precipitates in lime treated soils. Sci. Total Environ. 2004, 330, 171–185. [Google Scholar] [CrossRef] [PubMed]
- Zhu, Y.N.; Zhang, X.H.; Xie, Q.L.; Wang, D.Q.; Cheng, G.W. Solubility and Stability of Calcium Arsenates at 25 °C. Water Air Soil Pollut. 2006, 169, 221–238. [Google Scholar] [CrossRef]
- Riveros, P.A.; Dutrizac, J.E.; Spencer, P. Arsenic Disposal Practices in the Metallurgical Industry. Can. J. Metall. Mater. Sci. 2001, 40, 395–420. [Google Scholar] [CrossRef]
- Grebneva, A.A.; Subbotina, I.L.; Timofeev, K.L.; Maltsev, G.I. Development of Technology of Arsenic Removal from Acidic Waste Solutions in the Form of Arsenic Trisulfide. In KnE Materials Science/IV Congress Fundamental Research and Applied Developing of Recycling and Utilization Processes of Technogenic Formations; KnE Materials Science: Dubai, United Arab Emirates, 2020; Volume 200, pp. 209–213. [Google Scholar] [CrossRef]
- Opio, F.K. Investigation of Fe (III)–As (III) Phases and Their Potential for Arsenic Disposal. Ph.D. Thesis, Queen’s University, Kingston, ON, Canada, 2013. [Google Scholar]
- Yao, L.; Min, X.; Xu, H.; Ke, Y.; Wang, Y.; Lin, Z.; Liang, Y.; Liu, D.; Xu, Q.; He, Y. Physicochemical and environmental properties of arsenic sulfide sludge from copper and lead−zinc smelter. Trans. Nonferrous Met. Soc. China 2020, 30, 1943–1955. [Google Scholar] [CrossRef]
- Xu, H.; Min, X.; Wang, Y.; Ke, Y.; Yao, L.; Liu, D.; Chai, L. Stabilization of arsenic sulfide sludge by hydrothermal treatment. Hydrometallurgy 2020, 191, 105229. [Google Scholar] [CrossRef]
- Ostermeyer, P.; Bonin, L.; Folens, K.; Verbruggen, F.; García-Timermans, C.; Verbeken, K.; Rabaey, K.; Hennebel, T. Effect of speciation and composition on the kinetics and precipitation of arsenic sulfide from industrial metallurgical wastewater. J. Hazard. Mater. 2021, 409, 124418. [Google Scholar] [CrossRef]
- Hu, B.; Yang, T.; Liu, W.; Zhang, D.; Chen, L. Removal of arsenic from acid wastewater via sulfide precipitation and its hydrothermal mineralization stabilization. Trans. Nonferrous Met. Soc. China 2019, 29, 2411–2421. [Google Scholar] [CrossRef]
- Rogozhnikov, D.A.; Shoppert, A.A.; Dizer, O.A.; Karimov, K.A.; Rusalev, R.E. Leaching kinetics of sulfides from refractory gold concentrates by nitric acid. Metals 2019, 9, 465. [Google Scholar] [CrossRef]
- Rogozhnikov, D.A.; Rusalev, R.E.; Dizer, O.A.; Naboychenko, S.S. Nitric acid loosening of rebellious sulfide concentrates containing precious metals. Tsvetnye Met. 2018, 12, 38–44. [Google Scholar] [CrossRef]
- Shahnazi, A.; Firoozi, S.; Haghshenas Fatmehsari, D. Selective leaching of arsenic from copper converter flue dust by Na2S and its stabilization with Fe2(SO4)3. Trans. Nonferrous Met. Soc. China 2020, 30, 1674–1686. [Google Scholar] [CrossRef]
- Guo, F.; Wang, Q.; Demopoulos, G.P. Kinetics of iron(III)-catalyzed oxidation of arsenic(III) in acidic solutions with SO2/O2 gas mixture using different iron sources. Hydrometallurgy 2019, 189, 105130. [Google Scholar] [CrossRef]
- Floroiu, R.M.; Davis, A.P.; Torrents, A. Kinetics and mechanism of As2S3(am) dissolution under N2. Environ. Sci. Technol. 2004, 38, 1031–1037. [Google Scholar] [CrossRef] [PubMed]
- Rochette, E.A.; Bostick, B.C.; Li, G.; Fendorf, S. Kinetics of Arsenate Reduction by Dissolved Sulfide. Environ. Sci. Technol. 2000, 34, 4714–4720. [Google Scholar] [CrossRef]
- Liu, R.; Yang, Z.; He, Z.; Wu, L.; Hu, C.; Wu, W.; Qu, J. Treatment of strongly acidic wastewater with high arsenic concentrations by ferrous sulfide (FeS): Inhibitive effects of S(0)-enriched surfaces. Chem. Eng. J. 2016, 304, 986–992. [Google Scholar] [CrossRef]
- Stephen, H.; Stephen, T. Solubilities of Inorganic and Organic Compounds. Volume 1: Binary Systems. Part. 1; Pergamon Press: Oxford, NY, USA, 1963; p. 975. [Google Scholar] [CrossRef]
- Liu, J.; Wen, S.; Liu, D.; Lv, M.; Liu, L. Response surface methodology for optimization of copper leaching from a low-grade flotation middling. Min. Metall. Explor. 2011, 28, 139–145. [Google Scholar] [CrossRef]
- Bai, X.; Wen, S.; Liu, J.; Lin, Y. Response Surface Methodology for Optimization of Copper Leaching from Refractory Flotation Tailings. Minerals 2018, 8, 165. [Google Scholar] [CrossRef]
- Montgomery, D.C. Design and analysis of experiments. In Environmental Progress & Sustainable Energy 32, 8th ed.; John Wiley & Sons: Hoboken, NJ, USA, 2012. [Google Scholar] [CrossRef]
- Zhang, G.; Chao, X.; Guo, P.; Cao, J.; Yang, C. Catalytic effect of Ag+ on arsenic bioleaching from orpiment (As2S3) in batch tests with Acidithiobacillus ferrooxidans and Sulfobacillus sibiricus. J. Hazard. Mater. 2015, 283, 117–122. [Google Scholar] [CrossRef] [PubMed]
- Eary, L.E. The solubility of amorphous As2S3 from 25 to 90 °C. Geochim. Cosmochim. Acta 1992, 56, 2267–2280. [Google Scholar] [CrossRef]













| Experimental Runs | pH | Molar Ratio (NaHS/As) | Precipitation Degree of As, % | Concentration in Solution, g/L | |
|---|---|---|---|---|---|
| Fe2+ | Fetotal | ||||
| 1 | 0.34 | 1.91 | 16.4 | 28.3 | 46.4 | 
| 2 | 0.50 | 1.22 | 14.9 | 13.9 | 45.3 | 
| 3 | 0.50 | 2.60 | 24.1 | 27.0 | 41.8 | 
| 4 | 1.25 | 1.08 | 13.3 | 12.6 | 53.8 | 
| 5 | 1.25 | 1.91 | 19.1 | 22.6 | 56.3 | 
| 6 | 1.25 | 1.91 | 22.4 | 23.3 | 57.4 | 
| 7 | 1.25 | 1.91 | 21.7 | 25.6 | 57.7 | 
| 8 | 1.25 | 1.91 | 22.0 | 24.0 | 57.0 | 
| 9 | 1.25 | 2.74 | 37.6 | 30.4 | 43.6 | 
| 10 | 2.00 | 1.22 | 14.2 | 22.6 | 46.0 | 
| 11 | 2.00 | 2.60 | 99.2 | 32.0 | 43.9 | 
| 12 | 2.16 | 1.91 | 59.3 | 31.8 | 49.6 | 
| Source | Sum of Squares | Degree of Freedom | Mean Square | F-Ratio | p-Value | 
|---|---|---|---|---|---|
| X1 | 2302.76 | 1.00 | 2302.76 | 42.39 | 0.0006 | 
| X2 | 2205.15 | 1.00 | 2205.15 | 40.59 | 0.0007 | 
| X12 | 654.26 | 1.00 | 654.26 | 12.04 | 0.0133 | 
| X1X2 | 1436.41 | 1.00 | 1436.41 | 26.44 | 0.0021 | 
| X22 | 64.68 | 1.00 | 64.68 | 1.19 | 0.3171 | 
| Total error | 325.94 | 6.00 | 54.32 | - | - | 
| Total (corr.) | 6989.19 | 11.00 | - | - | - | 
| Material | As | S | Fe | Zn | Cu | 
|---|---|---|---|---|---|
| Without seed | 34.8 | 53.1 | 1.1 | 0.2 | 0.3 | 
| With seed | 42.2 | 42.9 | 0.9 | 0.2 | 0.2 | 
| Element | S | As | Total | 
|---|---|---|---|
| Figure 11a. Point 001 | 87.8 | 12.2 | 100.0 | 
| Figure 11a. Point 002 | 62.6 | 37.4 | 100.0 | 
| Figure 11a. Point 003 | 57.3 | 42.7 | 100.0 | 
| Figure 11a. Point 004 | 82.7 | 17.3 | 100.0 | 
| Figure 11a. Point 005 | 69.8 | 30.2 | 100.0 | 
| Figure 11a. Point 006 | 58.9 | 41.1 | 100.0 | 
| Figure 11a. Point 007 | 64.8 | 35.2 | 100.0 | 
| Figure 11a. Point 008 | 74.6 | 25.4 | 100.0 | 
| Figure 11b. Point 001 | 54.8 | 45.2 | 100.0 | 
| Figure 11b. Point 002 | 56.5 | 43.5 | 100.0 | 
| Figure 11b. Point 003 | 51.8 | 48.2 | 100.0 | 
| Figure 11b. Point 004 | 54.1 | 45.9 | 100.0 | 
| Figure 11b. Point 005 | 55.4 | 44.6 | 100.0 | 
| Figure 11b. Point 006 | 52.7 | 47.3 | 100.0 | 
| Figure 11b. Point 007 | 53.4 | 46.6 | 100.0 | 
| Figure 11b. Point 008 | 55.8 | 44.2 | 100.0 | 
| Publisher’s Note: MDPI stays neutral with regard to jurisdictional claims in published maps and institutional affiliations. | 
© 2021 by the authors. Licensee MDPI, Basel, Switzerland. This article is an open access article distributed under the terms and conditions of the Creative Commons Attribution (CC BY) license (https://creativecommons.org/licenses/by/4.0/).
Share and Cite
Karimov, K.; Rogozhnikov, D.; Kuzas, E.; Dizer, O.; Golovkin, D.; Tretiak, M. Deposition of Arsenic from Nitric Acid Leaching Solutions of Gold–Arsenic Sulphide Concentrates. Metals 2021, 11, 889. https://doi.org/10.3390/met11060889
Karimov K, Rogozhnikov D, Kuzas E, Dizer O, Golovkin D, Tretiak M. Deposition of Arsenic from Nitric Acid Leaching Solutions of Gold–Arsenic Sulphide Concentrates. Metals. 2021; 11(6):889. https://doi.org/10.3390/met11060889
Chicago/Turabian StyleKarimov, Kirill, Denis Rogozhnikov, Evgeniy Kuzas, Oleg Dizer, Dmitry Golovkin, and Maksim Tretiak. 2021. "Deposition of Arsenic from Nitric Acid Leaching Solutions of Gold–Arsenic Sulphide Concentrates" Metals 11, no. 6: 889. https://doi.org/10.3390/met11060889
APA StyleKarimov, K., Rogozhnikov, D., Kuzas, E., Dizer, O., Golovkin, D., & Tretiak, M. (2021). Deposition of Arsenic from Nitric Acid Leaching Solutions of Gold–Arsenic Sulphide Concentrates. Metals, 11(6), 889. https://doi.org/10.3390/met11060889
 
         
                                                

 
       