Effects of Fe+2 and Fe+3 in Pretreatment and Leaching on a Mixed Copper Ore in Chloride Media
Abstract
1. Introduction
2. Materials and Methods
2.1. Pretreatment Tests
2.2. Pretreatment-Leaching Tests
3. Results and Discussion
3.1. Pretreatment Test Results
3.2. Pretreatment and Leaching Tests Results (Test C)
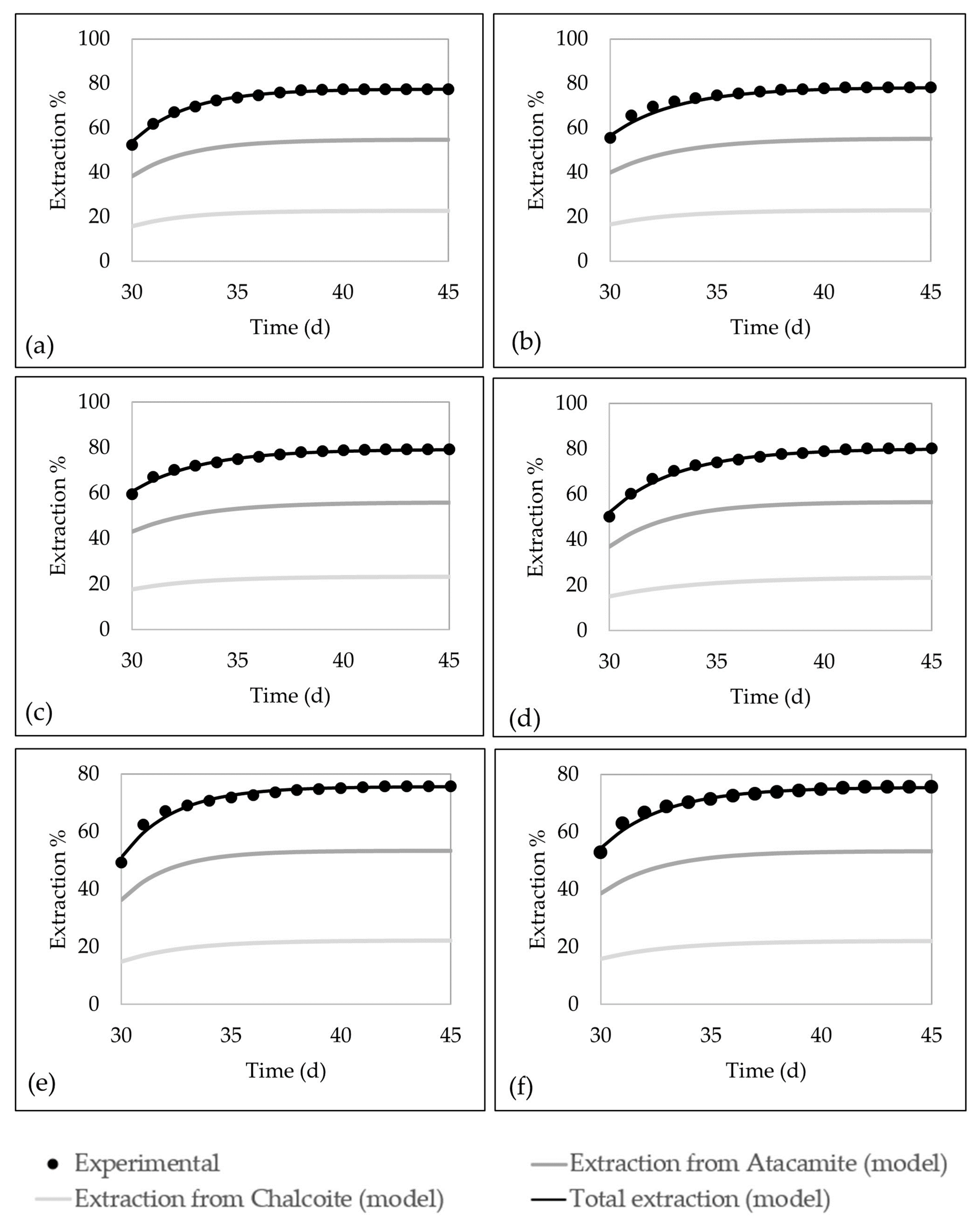
4. Column Leaching Modeling
5. Conclusions
- The first stage of pretreatment tests showed a maximal copper extraction of 62.5% with 25 kg/t of acid, 50 kg/t of NaCl, and 30 days of curing. The pretreatment can be improved by incorporating ferrous salts in the curing, increasing the extraction to 67.9%. The main effect plot showed that the concentration of NaCl and curing time could significantly affect the efficiency of the curing process.
- The second stage of tests showed that the maximal extraction of 80.2% is obtained by adding 25 kg/t of acid, 50 kg/t of NaCl, and 25 kg/t of FeSO4·7H2O in the pretreatment and 0.5 g/L of Cu+2, 80 g/L of Cl−, 10 g/L of H2SO4, and 2 g/L of Fe+2 in the leaching solution. At these conditions, the ORP remained below the 650 mV SHE on average. The acid consumption was 0.55 kg acid/t Cu.
- From tests D, we found that a decrease in the chloride content in the leaching solution from 80 to 20 g/L (content in seawater) decrease the copper extraction from 79 to 66.5% (considering ten days of leaching both cases). Additionally, the analysis showed that a decrease in the acid concentration in pretreatment does not mostly affect copper extraction. Conversely, the curing time could affect the extraction on values below 15 days.
- The analytic kinetic model implemented showed acceptable values of SSE and S, demonstrating the goodness of fit. It was concluded that the kinetics constant Kθ presents low variability with pretreatment and leaching at the evaluated leaching conditions.
Author Contributions
Funding
Institutional Review Board Statement
Informed Consent Statement
Data Availability Statement
Conflicts of Interest
References
- Valdés, M.; Sepúlveda, F. Opportunities in Hydrometallurgy: A Vision from the Bussiness. In Proceedings of the 10th International Seminar on Process Hydrometallurgy, Santiago, Chile, 20–22 July 2018. [Google Scholar]
- Watling, H. Chalcopyrite hydrometallurgy at atmospheric pressure: 2. Review of acidic chloride process options. Hydrometallurgy 2014, 146, 96–110. [Google Scholar] [CrossRef]
- Senanayake, G. Review of theory and practice of measuring proton activity and pH in concentrated chloride solutions and application to oxide leaching. Miner. Eng. 2007, 20, 634–645. [Google Scholar] [CrossRef]
- Velásquez-Yévenes, L.; Nicol, M.; Miki, H. The dissolution of chalcopyrite in chloride solutions: Part 1. The effect of solution potential. Hydrometallurgy 2010, 103, 108–113. [Google Scholar] [CrossRef]
- Bobadilla-Fazzini, R.A.; Pérez, A.; Gautier, V.; Jordan, H.; Parada, P. Primary copper sulfides bioleaching vs. chloride leaching: Advantages and drawbacks. Hydrometallurgy 2017, 168, 26–31. [Google Scholar] [CrossRef]
- Hernández, P.; Taboada, M.; Herreros, O.; Torres, C.; Ghorbani, Y. Chalcopyrite dissolution using seawater-based acidic media in the presence of oxidants. Hydrometallurgy 2015, 157, 325–332. [Google Scholar] [CrossRef]
- Jeldres, R.I.; Forbes, L.; Cisternas, L.A. Effect of Seawater on Sulfide Ore Flotation: A Review. Miner. Process. Extr. Met. Rev. 2016, 37, 369–384. [Google Scholar] [CrossRef]
- Cisternas, L.A.; Gálvez, E.D. The use of seawater in mining. Miner. Process. Extr. Met. Rev. 2018, 39, 18–33. [Google Scholar] [CrossRef]
- Velásquez-Yévenes, L.; Reyes, V.Q. Influence of seawater and discard brine on the dissolution of copper ore and copper concentrate. Hydrometallurgy 2018, 180, 88–95. [Google Scholar] [CrossRef]
- Carneiro, M.F.C.; Leão, V.A. Lixiviação da calcopirita com cloreto férrico e cloreto de sódio. Rem. Rev. Esc. Minas 2005, 58, 231–235. [Google Scholar] [CrossRef]
- Herreros, O.; Quiroz, R.; Longueira, H.; Fuentes, G.; Viñals, J. Leaching of djurleite in Cu2+/Cl− media. Hydrometallurgy 2006, 82, 32–39. [Google Scholar] [CrossRef]
- Carneiro, M.; Leão, V. The role of sodium chloride on surface properties of chalcopyrite leached with ferric sulphate. Hydrometallurgy 2007, 87, 73–82. [Google Scholar] [CrossRef]
- Herreros, O.; Vinals, J. Leaching of sulfide copper ore in a NaCl–H2SO4–O2 media with acid pre-treatment. Hydrometallurgy 2007, 89, 260–268. [Google Scholar] [CrossRef]
- Torres, C.; Taboada, M.; Graber, T.; Herreros, O.; Ghorbani, Y.; Watling, H. The effect of seawater based media on copper dissolution from low-grade copper ore. Miner. Eng. 2015, 71, 139–145. [Google Scholar] [CrossRef]
- Veloso, T.C.; Peixoto, J.J.; Pereira, M.S.; Leao, V.A. Kinetics of chalcopyrite leaching in either ferric sulphate or cupric sulphate media in the presence of NaCl. Int. J. Miner. Process. 2016, 148, 147–154. [Google Scholar] [CrossRef]
- Córdoba, E.; Muñoz, J.; Blázquez, M.; González, F.; Ballester, A. Leaching of chalcopyrite with ferric ion. Part I: General aspects. Hydrometallurgy 2008, 93, 81–87. [Google Scholar] [CrossRef]
- Córdoba, E.; Muñoz, J.; Blázquez, M.; González, F.; Ballester, A. Leaching of chalcopyrite with ferric ion. Part II: Effect of redox potential. Hydrometallurgy 2008, 93, 88–96. [Google Scholar] [CrossRef]
- Hiroyoshi, N.; Kitagawa, H.; Tsunekawa, M. Effect of solution composition on the optimum redox potential for chalcopyrite leaching in sulfuric acid solutions. Hydrometallurgy 2008, 91, 144–149. [Google Scholar] [CrossRef]
- Li, J.; Kawashima, N.; Kaplun, K.; Absolon, V.; Gerson, A. Chalcopyrite leaching: The rate controlling factors. Geochim. Cosmochim. Acta 2010, 74, 2881–2893. [Google Scholar] [CrossRef]
- Kaplun, K.; Li, J.; Kawashima, N.; Gerson, A. Cu and Fe chalcopyrite leach activation energies and the effect of added Fe3+. Geochim. Cosmochim. Acta 2011, 75, 5865–5878. [Google Scholar] [CrossRef]
- Elsherief, A. The influence of cathodic reduction, Fe2+ and Cu2+ ions on the electrochemical dissolution of chalcopyrite in acidic solution. Miner. Eng. 2002, 15, 215–223. [Google Scholar] [CrossRef]
- Al-Harahsheh, M.; Kingman, S.; Al-Harahsheh, A. Ferric chloride leaching of chalcopyrite: Synergetic effect of CuCl2. Hydrometallurgy 2008, 91, 89–97. [Google Scholar] [CrossRef]
- Liu, Q.; Li, H. Electrochemical behaviour of chalcopyrite (CuFeS2) in FeCl3 solution at room temperature under differential stress. Int. J. Miner. Process. 2011, 98, 82–88. [Google Scholar] [CrossRef]
- Ghahremaninezhad, A.; Dixon, D.; Asselin, E. Kinetics of the ferric–ferrous couple on anodically passivated chalcopyrite (CuFeS2) electrodes. Hydrometallurgy 2012, 125-126, 42–49. [Google Scholar] [CrossRef]
- Lu, J.; Dreisinger, D. Copper leaching from chalcopyrite concentrate in Cu(II)/Fe(III) chloride system. Miner. Eng. 2013, 45, 185–190. [Google Scholar] [CrossRef]
- Olvera, O.; Rebolledo, M.; Asselin, E. Atmospheric ferric sulfate leaching of chalcopyrite: Thermodynamics, kinetics and electrochemistry. Hydrometallurgy 2016, 165, 148–158. [Google Scholar] [CrossRef]
- Niu, X.; Ruan, R.; Tan, Q.; Jia, Y.; Sun, H. Study on the second stage of chalcocite leaching in column with redox potential control and its implications. Hydrometallurgy 2015, 155, 141–152. [Google Scholar] [CrossRef]
- Hashemzadeh, M.; Dixon, D.G.; Liu, W. Modelling the kinetics of chalcocite leaching in acidified ferric chloride media under fully controlled pH and potential. Hydrometallurgy 2019, 186, 275–283. [Google Scholar] [CrossRef]
- Miki, H.; Nicol, M.; Velásquez-Yévenes, L. The kinetics of dissolution of synthetic covellite, chalcocite and digenite in dilute chloride solutions at ambient temperatures. Hydrometallurgy 2011, 105, 321–327. [Google Scholar] [CrossRef]
- Nicol, M.J.; Zhang, S. Anodic oxidation of iron(II) and copper(I) on various sulfide minerals in chloride solutions. Hydrometallurgy 2016, 166, 167–173. [Google Scholar] [CrossRef]
- Nicol, M.J.; Tjandrawan, V.; Zhang, S. Cathodic reduction of iron(III) and copper(II) on various sulfide minerals in chloride solutions. Hydrometallurgy 2016, 166, 113–122. [Google Scholar] [CrossRef]
- Yoo, K.; Kim, S.-K.; Lee, J.-C.; Ito, M.; Tsunekawa, M.; Hiroyoshi, N. Effect of chloride ions on leaching rate of chalcopyrite. Miner. Eng. 2010, 23, 471–477. [Google Scholar] [CrossRef]
- Li, Y.; Kawashima, N.; Li, J.; Chandra, A.; Gerson, A.R. A review of the structure, and fundamental mechanisms and kinetics of the leaching of chalcopyrite. Adv. Colloid Interface Sci. 2013, 197, 1–32. [Google Scholar] [CrossRef]
- Hiroyoshi, N.; Hirota, M.; Hirajima, T.; Tsunekawa, M. A case of ferrous sulfate addition enhancing chalcopyrite leaching. Hydrometallurgy 1997, 47, 37–45. [Google Scholar] [CrossRef]
- Hiroyoshi, N.; Miki, H.; Hirajima, T.; Tsunekawa, M. A model for ferrous-promoted chalcopyrite leaching. Hydrometallurgy 2000, 57, 31–38. [Google Scholar] [CrossRef]
- Yang, C.-R.; Jiao, F.; Qin, W.-Q. Leaching of chalcopyrite: An emphasis on effect of copper and iron ions. J. Cent. South Univ. 2018, 25, 2380–2386. [Google Scholar] [CrossRef]
- Dhawan, N.; Safarzadeh, M.S.; Miller, J.D.; Moats, M.S.; Rajamani, R.K. Crushed ore agglomeration and its control for heap leach operations. Miner. Eng. 2013, 41, 53–70. [Google Scholar] [CrossRef]
- Lu, J.; Dreisinger, D.; West-Sells, P. Acid curing and agglomeration for heap leaching. Hydrometallurgy 2017, 167, 30–35. [Google Scholar] [CrossRef]
- Cerda, C.P.; Taboada, M.E.; Jamett, N.E.; Ghorbani, Y.; Hernández, P.C. Effect of Pretreatment on Leaching Primary Copper Sulfide in Acid-Chloride Media. Minerals 2017, 8, 1. [Google Scholar] [CrossRef]
- Bahamonde, F.; Gomez, M.; Navarro, P. Pre-Treatment with Sodium Chloride and Sulfuric Acid of a Bornitic Concentrate and Later Leaching in Chloride Solution. In Proceedings of the 9th International Seminar on Process Hydrometallurgy and the International Conference on Metal Solvent Extraction, Hydroprocess-ICMSE, Santiago, Chile, 21–23 June 2017. [Google Scholar]
- Quezada, V.; Velásquez, L.; Roca, A.; Benavente, O.; Melo, E.; Keith, B. Effect of curing time on the dissolution of a secondary copper sulphide ore using alternative water resources. IOP Conf. Ser. Mater. Sci. Eng. 2018, 427, 012030. [Google Scholar] [CrossRef]
- Velásquez-Yévenes, L.; Torres, D.; Toro, N. Leaching of chalcopyrite ore agglomerated with high chloride concentration and high curing periods. Hydrometallurgy 2018, 181, 215–220. [Google Scholar] [CrossRef]
- Marsden, J.; Botz, M. Heap leach modeling—A review of approaches to metal production forecasting. Miner. Met. Process. 2017, 34, 53–64. [Google Scholar] [CrossRef]
- Lampshire, D.; Braun, T. Heap Leaching Operations and Practices at Cortez Gold Mines. In Proceedings of the SME Annual Conference & Expo, Salt Lake City, UT, USA, 28 February–2 March 2005; Society for Mining, Metallurgy & Exploration: Englewood, CO, USA, 2005. [Google Scholar]
- Dixon, D.G. Heap Leach Modeling—The Current State of the Art. In Proceedings of the Hydrometallurgy 2003—Fifth International Conference in Honor of Professor Ian Ritchie, Vancouver, BC, Canada, 24–27 August 2003; pp. 289–314. [Google Scholar]
- Vegliò, F.; Trifoni, M.; Pagnanelli, F.; Toro, L. Shrinking core model with variable activation energy: A kinetic model of manganiferous ore leaching with sulphuric acid and lactose. Hydrometallurgy 2001, 60, 167–179. [Google Scholar] [CrossRef]
- Safari, V.; Arzpeyma, G.; Rashchi, F.; Mostoufi, N. A shrinking particle—Shrinking core model for leaching of a zinc ore containing silica. Int. J. Miner. Process. 2009, 93, 79–83. [Google Scholar] [CrossRef]
- Dixon, D.G.; Hendrix, J.L. A general model for leaching of one or more solid reactants from porous ore particles. Met. Mater. Trans. A 1993, 24, 157–169. [Google Scholar] [CrossRef]
- Dixon, D.G.; Hendrix, J.L. A mathematical model for heap leaching of one or more solid reactants from porous ore pellets. Met. Mater. Trans. A 1993, 24, 1087–1102. [Google Scholar] [CrossRef]
- Mellado, M.E.; Cisternas, L.A.; Gálvez, E.D. An analytical model approach to heap leaching. Hydrometallurgy 2009, 95, 33–38. [Google Scholar] [CrossRef]
- Mellado, M.E.; Cisternas, L.A.; Lucay, F.A.; Gálvez, E.D.; Sepúlveda, F.D. A Posteriori Analysis of Analytical Models for Heap Leaching Using Uncertainty and Global Sensitivity Analyses. Minerals 2018, 8, 44. [Google Scholar] [CrossRef]
- Mellado, M.E.; Casanova, M.P.; Cisternas, L.A.; Gálvez, E.D. On scalable analytical models for heap leaching. Comput. Chem. Eng. 2011, 35, 220–225. [Google Scholar] [CrossRef]
- Saldaña, M.; Toro, N.; Castillo, J.; Hernández, P.; Navarra, A. Optimization of the Heap Leaching Process through Changes in Modes of Operation and Discrete Event Simulation. Minerals 2019, 9, 421. [Google Scholar] [CrossRef]
- Yévenes, L.V.; Miki, H.; Nicol, M. The dissolution of chalcopyrite in chloride solutions: Part 2: Effect of various parameters on the rate. Hydrometallurgy 2010, 103, 80–85. [Google Scholar] [CrossRef]
- Mellado, M.E.; Gálvez, E.D.; Cisternas, L.A. Stochastic analysis of heap leaching process via analytical models. Miner. Eng. 2012, 33, 93–98. [Google Scholar] [CrossRef]









| Total Cu | Soluble Cu | Fe | S | Mn | Si | Ca | Cl |
|---|---|---|---|---|---|---|---|
| 0.44 | 0.24 | 5.49 | 2.46 | 0.05 | 20.71 | 2.79 | 0.18 |
| Mineral | Formula | Composition (%) | Cu Distribution (%) |
|---|---|---|---|
| Atacamite | Cu2Cl(OH)3 | 0.37 | 0.24 |
| Chalcopyrite | CuFeS2 | 0.18 | 0.06 |
| Chalcocite | Cu2S | 0.13 | 0.10 |
| Covellite | CuS | 0.05 | 0.03 |
| Bornite | Cu5FeS4 | 0.01 | <0.01 |
| Hematite | Fe2O3 | 1.21 | |
| Pyrite | FeS2 | 1.12 | |
| Limonite | FeOOH | 0.17 | |
| Magnetite | Fe3O4 | 0.05 | |
| Gangue | 96.71 | ||
| Total | 100 | 0.44 |
| Test | H2SO4 (kg/t) | NaCl (kg/t) | Curing Time (d) |
|---|---|---|---|
| A1 | 25 | 20 | 15 |
| A2 | 25 | 20 | 30 |
| A3 | 25 | 50 | 15 |
| A4 | 25 | 50 | 30 |
| A5 | 17 | 20 | 15 |
| A6 | 17 | 20 | 30 |
| A7 | 17 | 50 | 15 |
| A8 | 17 | 50 | 30 |
| Test | H2SO4 (kg/t) | NaCl (kg/t) | Fe2(SO4)3·9.2H2O (kg/t) | FeSO4·7H2O (kg/t) |
|---|---|---|---|---|
| B1 | 25 | 50 | - | - |
| B2 | 25 | 50 | 25 | - |
| B3 | 25 | 50 | - | 25 |
| B4 * | 25 | 50 | - | - |
| Test | Pretreatment | Leaching | ||||
|---|---|---|---|---|---|---|
| Fe2(SO4)3·9.2H2O (kg/t) | FeSO4·7H2O (kg/t) | Fe2+ (g/L) | Fe3+ (g/L) | pH Initial | ORP Initial (mV vs. SHE) | |
| C1 | - | - | - | 2 | 0.67 | 803 |
| C2 | 25 | - | 2 | - | 0.65 | 589 |
| C3 | - | 25 | 2 | - | 0.65 | 589 |
| C4 * | - | - | 2 | - | 0.65 | 589 |
| C5 | - | - | 2 | - | 0.65 | 589 |
| C6 | - | - | - | - | 0.40 | 654 |
| Test | H2SO4 (kg/t) | Pretreatment Time (d) |
|---|---|---|
| D1 | 10 | 1 |
| D2 | 25 | 1 |
| D3 | 10 | 15 |
| D4 | 25 | 15 |
| D5 | 25 | 30 |
| Test | Extraction (%) |
|---|---|
| D1 | 53.71 |
| D2 | 54.87 |
| D3 | 62.60 |
| D4 | 63.94 |
| D5 | 66.46 |
| Column | Atacamite | Chalcocite | ||||||||
|---|---|---|---|---|---|---|---|---|---|---|
| E0 | λ | Kθ | Kτ | E∞ | E0 | λ | Kθ | Kτ | E∞ | |
| C1 | 36.91 | 0.9218 | 0.3796 | 0.5373 | 54.70 | 15.38 | 0.9532 | 0.3796 | 0.2088 | 22.79 |
| C2 | 39.16 | 0.9458 | 0.3177 | 0.358 | 55.27 | 16.32 | 0.9458 | 0.3177 | 0.3580 | 23.03 |
| C3 | 41.99 | 0.9198 | 0.3065 | 0.3247 | 55.87 | 17.50 | 0.9421 | 0.3164 | 0.1625 | 23.28 |
| C4 | 35.44 | 0.9288 | 0.3478 | 0.1090 | 56.62 | 14.77 | 0.9469 | 0.2379 | 0.1281 | 23.59 |
| C5 | 34.80 | 0.9154 | 0.4602 | 0.0326 | 53.47 | 14.50 | 0.9487 | 0.3490 | 0.0567 | 22.28 |
| C6 | 37.27 | 0.9154 | 0.3715 | 0.1487 | 53.34 | 15.53 | 0.9472 | 0.3032 | 0.0106 | 22.22 |
| σ | 2.638 | 0.012 | 0.055 | 0.1880 | 1.31 | 1.10 | 0.0040 | 0.0480 | 0.1230 | 0.546 |
| CV (%) | 7.017 | 1.249 | 15.185 | 74.783 | 2.38 | 7.02 | 0.3840 | 15.042 | 79.677 | 2.387 |
Publisher’s Note: MDPI stays neutral with regard to jurisdictional claims in published maps and institutional affiliations. |
© 2021 by the authors. Licensee MDPI, Basel, Switzerland. This article is an open access article distributed under the terms and conditions of the Creative Commons Attribution (CC BY) license (https://creativecommons.org/licenses/by/4.0/).
Share and Cite
Taboada, M.E.; Hernández, P.C.; Padilla, A.P.; Jamett, N.E.; Graber, T.A. Effects of Fe+2 and Fe+3 in Pretreatment and Leaching on a Mixed Copper Ore in Chloride Media. Metals 2021, 11, 866. https://doi.org/10.3390/met11060866
Taboada ME, Hernández PC, Padilla AP, Jamett NE, Graber TA. Effects of Fe+2 and Fe+3 in Pretreatment and Leaching on a Mixed Copper Ore in Chloride Media. Metals. 2021; 11(6):866. https://doi.org/10.3390/met11060866
Chicago/Turabian StyleTaboada, María E., Pía C. Hernández, Aldo P. Padilla, Nathalie E. Jamett, and Teófilo A. Graber. 2021. "Effects of Fe+2 and Fe+3 in Pretreatment and Leaching on a Mixed Copper Ore in Chloride Media" Metals 11, no. 6: 866. https://doi.org/10.3390/met11060866
APA StyleTaboada, M. E., Hernández, P. C., Padilla, A. P., Jamett, N. E., & Graber, T. A. (2021). Effects of Fe+2 and Fe+3 in Pretreatment and Leaching on a Mixed Copper Ore in Chloride Media. Metals, 11(6), 866. https://doi.org/10.3390/met11060866

