Reduction of Residual Quenching Stresses in 2A14 Aluminum Alloy Tapered Cylinder Forgings via a Novel Cold Bulging Process
Abstract
1. Introduction
2. Materials and Experimental Procedures
3. FEM Modeling of Quenching and Cold Bulging Processes
4. Results and Discussion
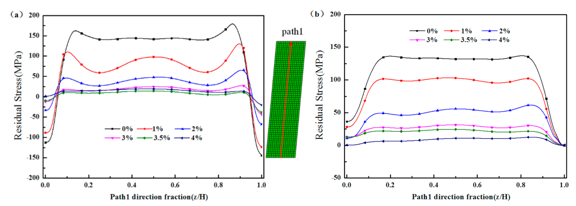
4.1. FEM Simulation Results
4.2. Experimental Results and Discussion
5. Conclusions
- (1)
- Experimental and FEM simulation results demonstrated that 2–3% cold bulging effectively the reduced the quenching residual stress of the tapered cylinder forgings by 95–110 MPa. No discernible benefit or disadvantage was reported for cold bulging ratios above 3%.
- (2)
- Upon increasing the extent of cold bulging, the driving force responsible for the precipitation of the strengthening phase during the aging process was enhanced. As a result, the number, density, and uniformity of the precipitated phases increased, thereby improving the mechanical properties.
- (3)
- The mechanical properties of the 2A14 aluminum alloy tapered cylinder forgings were further improved with the extension of the cold bulging process. The optimal mechanical properties were achieved when the cold bulging ratio was 3%, with a UTS of 481 MPa, YS of 408 MPa, and elongation of 8.0%.
Author Contributions
Funding
Data Availability Statement
Conflicts of Interest
References
- Zhang, Y.; Yi, Y.; Huang, S.; Dong, F.; Wang, H. Investigation of the quenching sensitivity of forged 2A14 aluminum alloy by time-temperature-tensile properties diagrams. J. Alloys Compd. 2017, 728, 1239–1247. [Google Scholar] [CrossRef]
- Ye, S.; Chen, K.; Liu, L.; Chen, S.; Zhu, C. Chen Prediction and Experimental of Yield Strengths of As-Quenched 7050 Aluminum Alloy Thick Plates after Continuous Quench Cooling. Metals 2019, 10, 26. [Google Scholar] [CrossRef]
- Koç, M.; Culp, J.; Altan, T. Prediction of residual stresses in quenched aluminum blocks and their reduction through cold working processes. J. Mater. Process. Technol. 2006, 174, 342–354. [Google Scholar] [CrossRef]
- Citarella, R.; Carlone, P.; Sepe, R.; Lepore, M.A. DBEM crack propagation in friction stir welded aluminum joints. Adv. Eng. Softw. 2016, 101, 50–59. [Google Scholar] [CrossRef]
- Citarella, R.G.; Cricrì, G.; Lepore, M.A.; Perrella, M. Assessment of Crack Growth from a Cold Worked Hole by Coupled FEM-DBEM Approach. Key Eng. Mater. 2014, 557–558, 669–672. [Google Scholar] [CrossRef]
- Araghchi, M.; Mansouri, H.; Vafaei, R. The Effects of Quenching Media and Aging on Residual Stress and Mechanical Properties of 2024 Aluminum Alloy. In Proceedings of the Iran International Aluminum Conference (IIAC2016), Tehran, Iran, 11–12 May 2016. [Google Scholar]
- Gur, C.H. Investigation of the influence of specimen geometry on quench behaviour of steels by X-ray determination of surface residual stresses. Int. J. Mech. Sci. 2002, 44, 1335–1347. [Google Scholar] [CrossRef]
- Cui, J.-D.; Yi, Y.-P.; Luo, G.-Y. Numerical and Experimental Research on Cold Compression Deformation Method for Reducing Quenching Residual Stress of 7A85 Aluminum Alloy Thick Block Forging. Adv. Mater. Sci. Eng. 2017, 2017, 1–6. [Google Scholar] [CrossRef]
- Yang, X.; Zhu, J.; Nong, Z.; Lai, Z.; He, N. FEM simulation of quenching process in A357 aluminum alloy cylindrical bars and reduction of quench residual stress through cold stretching process. Comput. Mater. Sci. 2013, 69, 396–413. [Google Scholar] [CrossRef]
- Zhang, Z.; Yang, Y.; Li, L.; Chen, B.; Tian, H. Assessment of residual stress of 7050-T7452 aluminum alloy forging using the contour method. Mater. Sci. Eng. A 2015, 644, 61–68. [Google Scholar] [CrossRef]
- Klamecki, B.E. Residual stress reduction by pulsed magnetic treatment. J. Mater. Process. Technol. 2003, 141, 385–394. [Google Scholar] [CrossRef]
- Lu, A.; Tang, F.; Luo, X.; Mei, J.; Fang, H. Research on residual-stress reduction by strong pulsed magnetic treatment. J. Mater. Process. Technol. 1998, 74, 259–262. [Google Scholar] [CrossRef]
- Cai, Z.; Huang, X. Residual stress reduction by combined treatment of pulsed magnetic field and pulsed current. Mater. Sci. Eng. A 2011, 528, 6287–6292. [Google Scholar] [CrossRef]
- Araghchi, M.; Mansouri, H.; Vafaei, R.; Guo, Y. A novel cryogenic treatment for reduction of residual stresses in 2024 aluminum alloy. Mater. Sci. Eng. A 2017, 689, 48–52. [Google Scholar] [CrossRef]
- Wei, L.; Wang, D.; Li, H.; Xie, D.; Ye, F.; Song, R.; Zheng, G.; Wu, S. Effects of Cryogenic Treatment on the Microstructure and Residual Stress of 7075 Aluminum Alloy. Metals 2018, 8, 273. [Google Scholar] [CrossRef]
- Li, Y.; Liu, Z.; Bai, S.; Zhou, X.; Wang, H.; Zeng, S. Enhanced mechanical properties in an Al–Cu–Mg–Ag alloy by duplex aging. Mater. Sci. Eng. A 2011, 528, 8060–8064. [Google Scholar] [CrossRef]
- Ghosh, S. Influence of Cold Deformation on the Aging Behaviour of Al-Cu-Si-Mg Alloy. J. Mater. Sci. Technol. 2011, 27, 193–198. [Google Scholar] [CrossRef]
- He, H.; Yi, Y.; Huang, S.; Zhang, Y. Effects of cold predeformation on dissolution of second-phase Al2Cu particles during solution treatment of 2219 Al-Cu alloy forgings. Mater. Charact. 2018, 135, 18–24. [Google Scholar] [CrossRef]
- Tong, D.; Yi, Y.; He, H.; Huang, S.; Guo, W. Manufacturing large 2A14 aluminium alloy cylinders by a warm rolling technology. Mater. Sci. Technol. 2020, 36, 1534–1546. [Google Scholar] [CrossRef]
- Wang, J.; Lu, Y.; Zhou, D.; Zhou, G.; Xu, W.; Yang, X. Production process of 2A14 aluminum alloy forged ring. Heat Treat. Met. 2018, 43, 231–235. [Google Scholar]
- Zhang, Y.; Yi, Y.; Huang, S.; He, H. Influence of Temperature-Dependent Properties of Aluminum Alloy on Evolution of Plastic Strain and Residual Stress during Quenching Process. Metals 2017, 7, 228. [Google Scholar] [CrossRef]
- Godlewski, L.A.; Su, X.; Pollock, T.M.; Allison, J.E. The Effect of Aging on the Relaxation of Residual Stress in Cast Aluminum. Met. Mater. Trans. A 2013, 44, 4809–4818. [Google Scholar] [CrossRef]
- Robinson, J.; Hossain, S.; Truman, C.; Paradowska, A.; Hughes, D.; Wimpory, R.; Fox, M. Residual stress in 7449 aluminium alloy forgings. Mater. Sci. Eng. A 2010, 527, 2603–2612. [Google Scholar] [CrossRef]
- Lan, J.; Shen, X.; Liu, J.; Hua, L. Strengthening mechanisms of 2A14 aluminum alloy with cold deformation prior to artificial aging. Mater. Sci. Eng. A 2019, 745, 517–535. [Google Scholar] [CrossRef]















| Element | Cu | Mg | Si | Mn | Fe | Zn | Ti | Ni | Al |
|---|---|---|---|---|---|---|---|---|---|
| Nominal | 3.8–4.8 | 0.4–0.8 | 0.6–1.2 | 0.4–1.0 | <0.7 | <0.3 | <0.15 | <0.1 | Bal. |
| In this study | 4.40 | 0.48 | 0.98 | 0.75 | 0.20 | 0.03 | 0.05 | 0.01 | Bal. |
| Sample | Solution Treatment | Quench | Cold Bulging | Aging |
|---|---|---|---|---|
| A | 500 °C for 4 h | Water quenching (<20 °C) | None | Nature aging |
| B | 500 °C for 4 h | Water quenching (<20 °C) | None | Artificial aging (160 °C for 8 h) |
| C | 500 °C for 4 h | Water quenching (<20 °C) | 2.0% | Artificial aging (160 °C for 8 h) |
| D | 500 °C for 4 h | Water quenching (<20 °C) | 3.0% | Artificial aging (160 °C for 8 h) |
| Temperature /°C | Thermal Conductivity/ (W·m−1·K−1) | Specific Heat Capacity/ (J·kg−1·K−1) | Elastic Modulus/GPa | Poisson Ratio | Density/ (kg·m−3) | Thermal Expansion Coefficient/10−6 |
|---|---|---|---|---|---|---|
| 20 | 114.3 | 809 | 81.5 | 0.33 | 2800 | 20.8 |
| 100 | 122.3 | 860 | 66.2 | 0.33 | 2800 | 21.9 |
| 200 | 130.8 | 897 | 49.3 | 0.33 | 2800 | 26.1 |
| 300 | 145.1 | 922 | 31.0 | 0.33 | 2800 | 27.0 |
| 400 | 124.5 | 872 | 25.3 | 0.33 | 2800 | 26.8 |
| 500 | 122.7 | 985 | – | 0.33 | 2800 | 27.3 |
| Test Points | Experimental Results | Simulation Results | |||||
|---|---|---|---|---|---|---|---|
| σmax/MPa | σmin/MPa | β/° | σt/MPa | σz/MPa | σt/MPa | σz/MPa | |
| P1 | −131.8 | −103.8 | −0.6 | −105.9 | −129.7 | −125.8 | −143.3 |
| P2 | −125.7 | −114.1 | −1.2 | −122.1 | −117.8 | −116.4 | −149.1 |
| P3 | −128.8 | −121.4 | 1.1 | −126.9 | −123.3 | −121.5 | −146.2 |
| Alloy | Sample Dimension (mm) | Method of Cold Deformation | Residual Stress Reduction (%) | Reference |
|---|---|---|---|---|
| 7050 | 5600 × 760 × 121 | Cold compression | 43–79% | [10] |
| 7050 | 340 × 127 × 124 | Cold compression | more than 90% | [3] |
| 7050 | 1270 × 406 × 127 | Cold stretching | more than 90% | [3] |
| A357 | Ø80 × h160 | Cold stretching | 81.5–94.9% | [9] |
| 2A14 | Ø170 × b30 × h120 | Cold bulging | 85–87% | Present study |
Publisher’s Note: MDPI stays neutral with regard to jurisdictional claims in published maps and institutional affiliations. |
© 2021 by the authors. Licensee MDPI, Basel, Switzerland. This article is an open access article distributed under the terms and conditions of the Creative Commons Attribution (CC BY) license (https://creativecommons.org/licenses/by/4.0/).
Share and Cite
Wang, B.; Yi, Y.; Huang, S.; He, H. Reduction of Residual Quenching Stresses in 2A14 Aluminum Alloy Tapered Cylinder Forgings via a Novel Cold Bulging Process. Metals 2021, 11, 717. https://doi.org/10.3390/met11050717
Wang B, Yi Y, Huang S, He H. Reduction of Residual Quenching Stresses in 2A14 Aluminum Alloy Tapered Cylinder Forgings via a Novel Cold Bulging Process. Metals. 2021; 11(5):717. https://doi.org/10.3390/met11050717
Chicago/Turabian StyleWang, Bingxiang, Youping Yi, Shiquan Huang, and Hailin He. 2021. "Reduction of Residual Quenching Stresses in 2A14 Aluminum Alloy Tapered Cylinder Forgings via a Novel Cold Bulging Process" Metals 11, no. 5: 717. https://doi.org/10.3390/met11050717
APA StyleWang, B., Yi, Y., Huang, S., & He, H. (2021). Reduction of Residual Quenching Stresses in 2A14 Aluminum Alloy Tapered Cylinder Forgings via a Novel Cold Bulging Process. Metals, 11(5), 717. https://doi.org/10.3390/met11050717

