Modification of Type B Inclusions by Calcium Treatment in High-Carbon Hard-Wire Steel
Abstract
1. Introduction
2. Experimental Method
3. Experimental Results
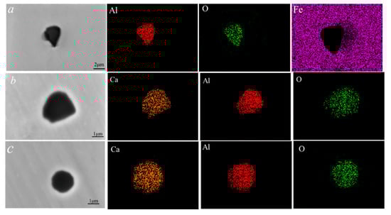
3.1. Composition and Morphology of Inclusions
3.2. Size and Number of Inclusions
3.3. Surface Density Distribution of Inclusions
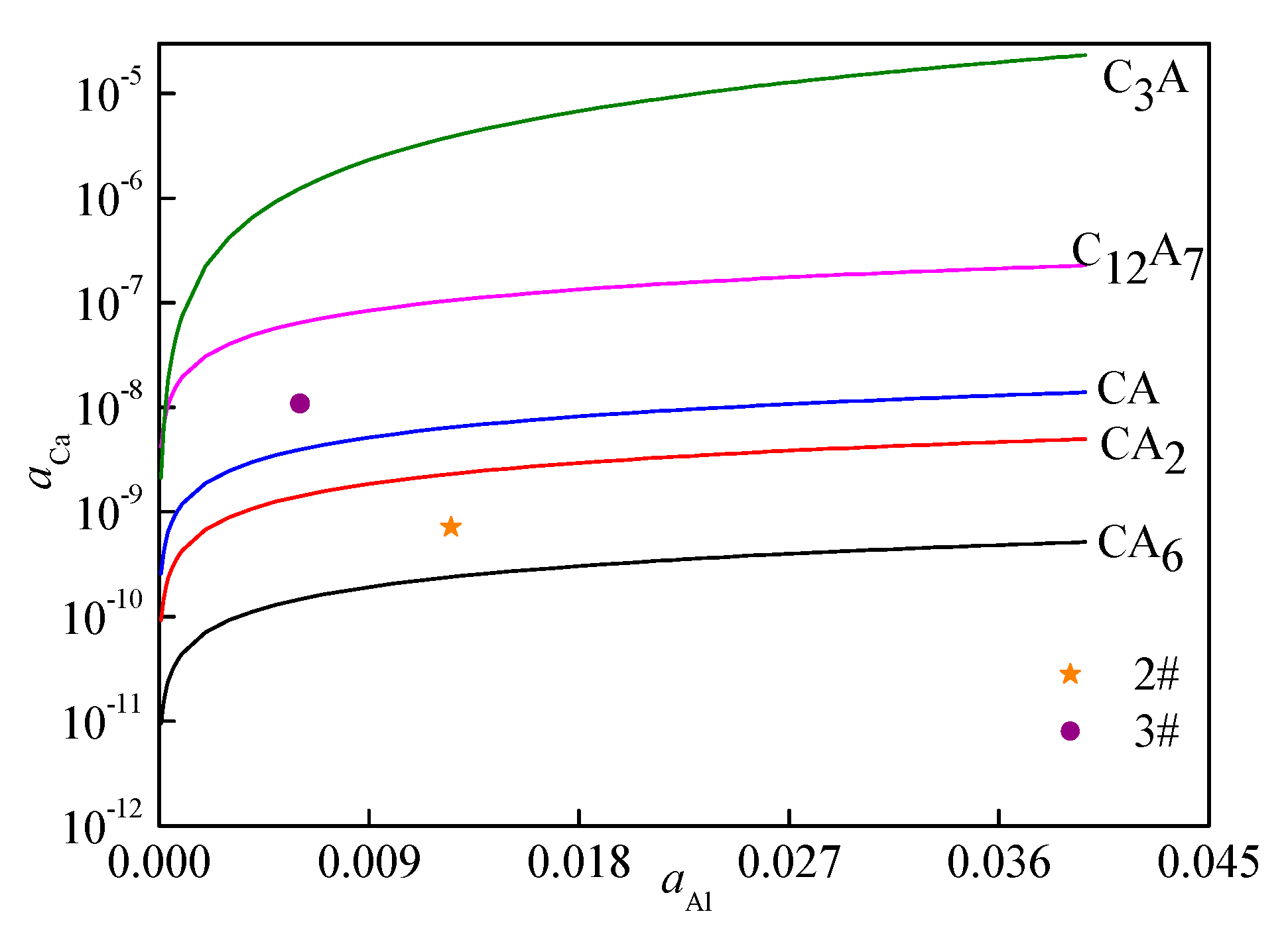
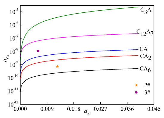
4. Discussion
5. Conclusions
Author Contributions
Funding
Institutional Review Board Statement
Informed Consent Statement
Data Availability Statement
Conflicts of Interest
References
- Han, K.; Edmonds, D.V.; Smith, G. Optimization of mechanical properties of high-carbon pearlitic steels with Si and V additions. Met. Mater. Trans. A 2001, 32, 1313–1324. [Google Scholar] [CrossRef]
- Elwazri, A.; Wanjara, P.; Yue, S. Measurement of pearlite interlamellar spacing in hypereutectoid steels. Mater. Charact. 2005, 54, 473–478. [Google Scholar] [CrossRef]
- Ning, D.; Yan, B.; Jia, Y.; De, Z.; Xiang, K.; Li, W. Study on refining slag and inclusions in 82B hard wire steel. J. Univ. Sci. Technol. B 2012, 34, 883–886. [Google Scholar]
- Handoko, W.; Anurag, A.; Pahlevani, F. Effect of selective-precipitations process on the corrosion resistance and hardness of dual-phase high-carbon steel. Sci. Rep. 2019, 9, 15631. [Google Scholar] [CrossRef]
- Khoroshailov, V.G.; Zhukova, L.T.; Lashkova, E.G. Nonmetallic inclusions in steel U10A wire. Met. Sci. Heat Treat. 1990, 32, 881–883. [Google Scholar] [CrossRef]
- Tanaka, Y.; Pahlevani, F.; Kitamura, S.-Y.; Privat, K.; Sahajwalla, V. Behaviour of Sulphide and Non-alumina-Based Oxide Inclusions in Ca-Treated High-Carbon Steel. Met. Mater. Trans. A 2020, 51, 1384–1394. [Google Scholar] [CrossRef]
- Hong, B.; Yao, T. Quality comparison of the high carbon steel for domestic and foreign cord wire application. Met. Heat Treat. 2019, 44, 44–48. [Google Scholar]
- Lin, W.; Jun, L.; Shu, Y.; Chao, C.; Hui, J. Effect of calcium treatment on characteristics of non-metallic inclusions in steel containing high Al. Iron Steel 2019, 54, 27–32. [Google Scholar]
- Zhang, J.; Wang, F.M.; Li, C.R. Thermodynamic analysis of the compositional control of inclusions in cutting-wire steel. Int. J. Min. Met. Mater. 2014, 21, 647–653. [Google Scholar] [CrossRef]
- Suito, H.; Inoue, R. Thermodynamics on control of inclusions composition in ultra-clean steels. ISIJ Int. 1996, 5, 528. [Google Scholar] [CrossRef]
- Sunday, A.; Rick, B.; Justin, R.; Yu, W. Inclusion Engineering and the Metallurgy of Calcium Treatment. Iron Steel Technol. 2018, 25, 133–145. [Google Scholar]
- Zhen, L.; Wen, Y.; Ying, R.; Li, Z.; Wei, W. Analysis of influencing factors on effect of calcium treatment in Al-killed steels. Iron Steel 2020, 55, 29–34. [Google Scholar]
- Wen, Y.; Chao, L.; Li, Z.; Yan, L. Reduction of B type inclusions in pipeline steel by optimizing calcium treatment. Metall. China 2018, 28, 70–75. [Google Scholar]
- Li, Z. Several important scientific research points of non-metallic inclusions in steel. Steel Mak. 2016, 32, 1–16. [Google Scholar]
- Shu, L.; Ying, R.; Li, Z.; Wen, Y. Study on CaO and CaS inclusions in pipeline steel during refining process. J. Univ. Sci. Technol. B 2014, 36, 168–172. [Google Scholar]
- Yan, S.; Hui, X.; Xiao, W. Metallurgy effect of calcium treatment in high grade pipeline steel. J. Univ. Sci. Technol. B 2011, 33, 116–120. [Google Scholar]
- Xue, Y. Investigation of Non-Metallic Inclusion Plasticization Control for Automotive Suspension Spring Steel. Ph.D. Thesis, University of Science & Technology Beijing, Beijing, China, 2017. [Google Scholar]
- Guang, Y.; Xin, W.; Fu, H. Influence of Calcium Addition on Inclusions in LCAK Steel with Ultralow Sulfur Content. Met. Mater. Trans. B 2014, 46 B, 1–10. [Google Scholar]
- Lind, M.; Holappa, L. Transformation of Alumina Inclusions by Calcium Treatment. Met. Mater. Trans. B 2010, 41, 359–366. [Google Scholar] [CrossRef]
- Jian, L.; Hua, W.; Yan, B. Inclusion variations and calcium treatment optimization in pipeline steel production. Int. J. Min. Met. Mater. 2011, 18, 527–534. [Google Scholar]
- Yang, D.; Wang, X.; Yang, G. Inclusion Evolution and Estimation during Secondary Refining in Calcium Treated Aluminum Killed Steels. Steel Res. Int. 2015, 85, 1517–1524. [Google Scholar] [CrossRef]
- Abraham, S.; Bodnar, R.; Raines, J. Inclusion engineering and metallurgy of calcium treatment. J. Iron Steel Res. Int. 2018, 1, 1243–1257. [Google Scholar] [CrossRef]
- Verma, N.; Pistorius, P.C.; Fruehan, R.J. Transient Inclusion Evolution during Modification of Alumina Inclusions by Calcium in Liquid Steel: Part I. Background, Experimental Techniques and Analysis Methods. Met. Mater. Trans. B 2011, 42, 711–719. [Google Scholar] [CrossRef]
- Bielefeldt, W.V.; Vilela, A.C. Computational Thermodynamic Study of Inclusions Formation in the Continuous Casting of SAE 8620 Steel. Steel Res. Int. 2010, 81, 1064–1069. [Google Scholar] [CrossRef]
- Numata, M.; Higuchi, Y. Change in Inclusion Composition during CaO Flux Powder Blowing under Reduced Pressure. ISIJ Int. 2012, 52, 2013–2018. [Google Scholar] [CrossRef]
- Verma, N.; Petrus, C.; Torius, P. Transient inclusion evolution during modification of alumina inclusions by calcium in liquid Steel: Part 2 results and discussion. Met. Mater. Trans. B 2011, 42, 720. [Google Scholar] [CrossRef]
- Fang, Y.; Xin, W.; Xue, Y. Influence of calcium content on solid ratio of inclusions in Ca-treated liquid steel. Int. J. Min. Met. Mater. 2011, 8, 18–23. [Google Scholar]
- Yoshihiko, H.; Mitsuhiro, N.; Shin, F. Effect of method of Ca treatment on composition and shape of non-matallic inclusions. Tetsu Hagane 1996, 82, 671–676. [Google Scholar]
- Simpson, I.D.; Tritsiniotis, Z.; Moore, L.G. Steel cleanness requirements for X65 to X80 electric resistance welded linepipe steels. Ironmak. Steelmak. 2003, 30, 158–164. [Google Scholar] [CrossRef]
- Kume, K.; Morita, K.; Miki, T.; Sano, N. Activity measurement of CaO-SiO2-Al2O3-MgO slags equilibrated with molten silicon alloys. ISIJ Int. 2000, 6, 561. [Google Scholar] [CrossRef]
- Wang, H.T.; Wang, F.M.; Xu, Z.B.; Jin, L.L. Composition control of CaO-MgO-Al2O3-SiO2 inclusion in tire cord steel: A thermodynamic analysis. Steel Res. Int 2008, 1, 25. [Google Scholar] [CrossRef]
- Choudhary, S.K.; Ghosh, A. Thermodynamic Evaluation of Formation of Oxide–Sulfide Duplex Inclusions in Steel. ISIJ Int. 2008, 48, 1552–1559. [Google Scholar] [CrossRef]
- Jun, Y.; Jiang, D.; Bo, C.; Jun, W. Influence of calcium treatment on oxide inclusions in ultra-low oxygen refining process. Iron Steel 2015, 50, 19–26. [Google Scholar]
- Paek, M.K.; Jang, J.M.; Jiang, M. Thermodynamics of AlN formation in high manganese aluminum alloyed liquid steels. ISIJ Int. 2013, 53, 973. [Google Scholar] [CrossRef]
- Pan, C.; Hu, X.; Zheng, J. Effect of calcium content on inclusions during the ladle furnace refining process of AISI 321 stainless steel. Int. J. Min. Met. Mater. 2020, 27, 1499–1507. [Google Scholar] [CrossRef]
- Itoh, H.; Hino, M. Thermodynamics on the formation of spinel nonmetallic inclusion in liquid steel. Met. Mater. Trans. B 1997, 28, 953–956. [Google Scholar] [CrossRef]
- Lin, W. Study on the Refinement and Homogenized Distribution of Inclusions in Al Killed Steel. Ph.D. Thesis, University of Science & Technology Beijing, Beijing, China, 2017. [Google Scholar]










| Raw Material | Fe | Si | Mn | S | C | Ca | Al | Others |
|---|---|---|---|---|---|---|---|---|
| Industrial pure iron | 99.7 | 0.02 | 0.03 | 0.0002 | 0.0018 | - | 0.001 | 0.0024 |
| electrolytic manganese | - | - | 99.999 | - | - | - | - | 0.001 |
| Si-Fe alloy | 21 | 78 | 0.4 | 0.02 | 0.1 | - | - | 0.48 |
| Al alloy | 0.7 | 0.8 | 0.15 | - | - | - | 96.94 | 1.41 |
| Si-Ca alloy | - | 57.13 | 20.44 | - | 0.83 | 19.56 | 2.02 | 0.02 |
| QT400 | 95.8 | 0.17 | 0.5 | 0.01 | 3.45 | - | - | 0.07 |
| No | C | Si | Mn | S | Al | Ca | O | N | Fe |
|---|---|---|---|---|---|---|---|---|---|
| Sample1 | 0.640 | 0.189 | 0.313 | 0.0010 | 0.013 | - | 0.0082 | 0.0024 | Others |
| Sample2 | 0.636 | 0.202 | 0.311 | 0.0012 | 0.011 | 0.0052 | 0.0065 | 0.0029 | Others |
| Sample3 | 0.638 | 0.196 | 0.320 | 0.0011 | 0.0053 | 0.0029 | 0.0053 | 0.0027 | Others |
| C | Si | Mn | S | Al | O | Ca | |
|---|---|---|---|---|---|---|---|
| Ca | −0.34 | −0.095 | −0.007 | −28 | −0.072 | −780 | −0.002 |
| Al | 0.091 | 0.056 | −0.004 | 0.035 | −0.043 | −1.98 | −0.047 |
| Ca | Al | O | |
|---|---|---|---|
| Ca | - | - | −36,000 |
| Al | - | −0.0284 | - |
| No. | fAl | aAl | fCa | aCa |
|---|---|---|---|---|
| 2 | 1.138 | 0.0125 | 1.37 × 10−7 | 7.13 × 10−10 |
| 3 | 1.143 | 0.006 | 3.85 × 10−6 | 1.08 × 10−8 |
Publisher’s Note: MDPI stays neutral with regard to jurisdictional claims in published maps and institutional affiliations. |
© 2021 by the authors. Licensee MDPI, Basel, Switzerland. This article is an open access article distributed under the terms and conditions of the Creative Commons Attribution (CC BY) license (https://creativecommons.org/licenses/by/4.0/).
Share and Cite
Wang, L.; Xi, Z.; Li, C. Modification of Type B Inclusions by Calcium Treatment in High-Carbon Hard-Wire Steel. Metals 2021, 11, 676. https://doi.org/10.3390/met11050676
Wang L, Xi Z, Li C. Modification of Type B Inclusions by Calcium Treatment in High-Carbon Hard-Wire Steel. Metals. 2021; 11(5):676. https://doi.org/10.3390/met11050676
Chicago/Turabian StyleWang, Linzhu, Zuobing Xi, and Changrong Li. 2021. "Modification of Type B Inclusions by Calcium Treatment in High-Carbon Hard-Wire Steel" Metals 11, no. 5: 676. https://doi.org/10.3390/met11050676
APA StyleWang, L., Xi, Z., & Li, C. (2021). Modification of Type B Inclusions by Calcium Treatment in High-Carbon Hard-Wire Steel. Metals, 11(5), 676. https://doi.org/10.3390/met11050676
