Fracture Mechanical Analysis of Thin-Walled Cylindrical Shells with Cracks
Abstract
1. Introduction
2. Theory of Fracture Mechanics
2.1. J-Integral
2.2. Displacement Extrapolation
2.3. Initiation Angle of Oblique Crack
2.4. Theoretical Shape of Plastic Zone
3. Finite Element Models of Thin-Walled Cylindrical Shell with Cracks
3.1. Model and Structure
3.2. Element Type
- Thin-walled cylindrical shells with circumferential cracks. Elements Solid45 and Solid95 are used to model a structure with spatial cracks. Solid95 element is used to simulate the singularity at a crack tip, and Solid45 element is used for the remaining part. SOLID45 is used for the 3-D modelling of solid structures. The element is defined by eight nodes having three degrees of freedom at each node: translations in the nodal , , and directions. The element has plasticity, creep, swelling, stress stiffening, large deflection, and large strain capabilities. SOLID95 is a higher-order version of the 3-D 8-node solid element SOLID45. It can tolerate irregular shapes without as much loss of accuracy. SOLID95 elements have compatible displacement shapes and are well suited to model curved boundaries. The element is defined by 20 nodes having three degrees of freedom per node: translations in the nodal , , and directions. The element may have any spatial orientation. SOLID95 has plasticity, creep, stress stiffening, large deflection, and large strain capabilities. Considering the symmetry of the problem, the quarter model is adopted for the analysis. As shown in Figure 11, an element can be transformed into a three-dimensional singular element by moving the middle node of the element at the crack front edge to 1/4 from the front edge. To ensure the calculation accuracy and improve the calculation speed, the number of modified singular elements is 12 when dealing with the SIF.
- Thin-walled cylindrical shell with oblique cracks. In the case of oblique cracks, the finite element model is not symmetric and a complete geometric model needs to be established. In addition to Solid45 and Solid95, Mesh200 is also required. Mesh200 element is only used for meshing and has no effect on the solution results. It can be used to divide faces and bodies in 2D and 3D spaces. Mesh200 element should contact Solid95 and Solid45 elements in a crack-affected zone and a non-affected zone, respectively. MESH200 is a “mesh-only” element, contributing nothing to the solution. MESH200 may be used in conjunction with any other ANSYS element types. After it is no longer needed, it can be deleted (cleared), or can be left in place.
- An eccentric concentrated load is equivalent to the axial compression load and the bending moment. Because the model section is a hollow section, MPC184 element is used to form a rigid beam area to apply the load at the coupling point. MPC184 comprises a general class of multipoint constraint elements that apply kinematic constraints between nodes. The elements are loosely classified here as constraint elements and joint elements. The constraint may be as simple as that of identical displacements between nodes. Constraints can also be more complicated, such as those modelling rigid parts, or those transmitting motion between flexible bodies in a particular way. In the Figure 12, the purple part is Solid45, blue part is Solid95, red part is MESH200, and green part is MPC184.
3.3. Mesh Generation and Boundary Conditions
4. Analysis of Elastic Fracture Behaviour of Shells with Circumferential Cracks
4.1. SIF of Thin-Walled Cylindrical Shells
4.2. Data Fitting of SIF
5. Elastic-Plastic Fracture Mechanical Behaviour of Shells with Circumferential Cracks
5.1. Plastic Zone in Front of Crack
5.2. J-Integral of Elastic-Plastic Fracture
6. Fracture Behaviour of Thin-Walled Cylindrical Shells with Oblique Cracks
6.1. Distribution of Cracks on Members Subjected to Tension at Both Ends
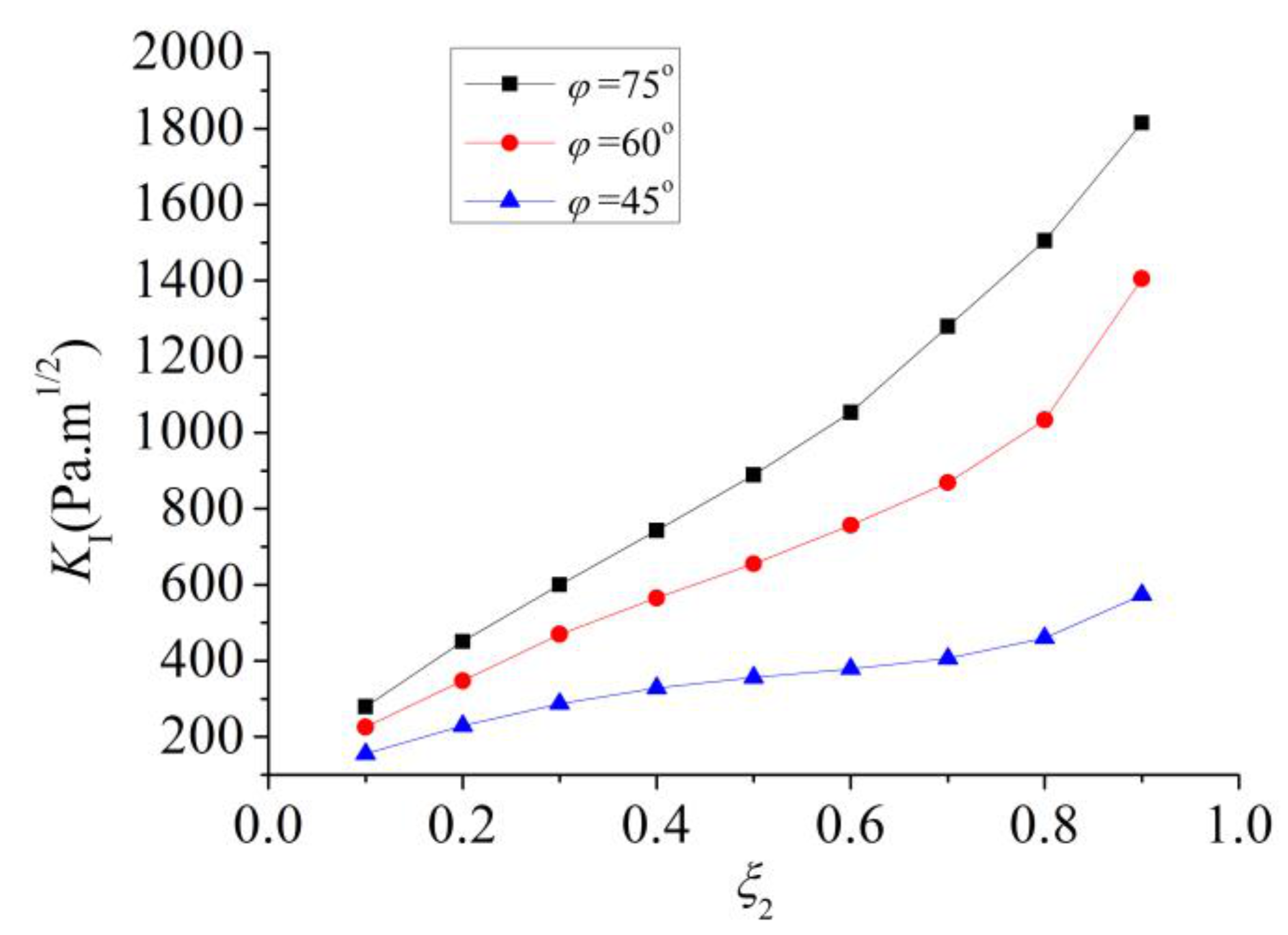
6.2. Relationship between SIF and Crack Length Subjected to Tension
6.3. Relationship between SIF and Crack Length Subjected to Tension and Bending Moment
6.4. Prediction of Crack Initiation Angle of Shells Subjected to Tension
6.5. Prediction of Crack Initiation Angle of Shells Subjected to Tension and Bending Moment
7. Conclusions
- Regarding the linear elastic constitutive relation, the SIFs of eccentrically compressed thin-walled shells with cracks are positively correlated with the load, crack length and eccentricity. The relationship between the SIF and the crack length is obtained by data fitting, which provides a reference for studying the cracking of thin-walled cylindrical shells with cracks.
- Regarding the elastic-plastic constitutive relation, the size of the plastic zone boundary increases with the increase in load and crack length. The entire process from small-scale yield to large-scale yield is analysed. The J-integral values are calculated for different eccentricities and loads, and their influence relations are obtained. The value of the J-integral increases with the increase in the crack length. Because the stress at the crack tip is determined by both load and eccentricity, the effects of both parameters on J-integral are basically the same.
- On the basis of previous research on compound cracks on semi-infinite plates, the change rules of the SIFs of cylindrical shells are studied. It is concluded that the change rule of the SIFs of oblique cracks on cylindrical thin-walled shells is nearly consistent with the change in the I-II compound cracks on infinite plates.
- The crack initiation angle can be obtained more accurately by increasing the number of singular elements at the crack tip and rotating the output coordinates of the results. An error is caused by the limited calculation accuracy resulting from the limitation of the number of singular elements at the crack tip. Owing to the harsh conditions of the compound crack fracture test, this method can be regarded as a mutual verification method with the test results for brittle materials with compound cracks.
Author Contributions
Funding
Data Availability Statement
Acknowledgments
Conflicts of Interest
References
- Atamturktur, S.; Li, T.; Ramage, M.H.; Farajpour, I. Load carrying capacity assessment of a scaled masonry dome: Simulations validated with non-destructive and destructive measurements. Constr. Build. Mater. 2012, 34, 418–429. [Google Scholar] [CrossRef]
- Anderson, T.L. Fracture Mechanics: Fundamentals and Applications, 4th ed.; CRC Press: Boca Raton, FL, USA, 2017. [Google Scholar]
- Hu, S.Y.; Xie, Y.J. Stress intensity factor of angular crack in double slot circular section pipe. Chin. J. Comput. Mech. 2020, 37, 424–430. [Google Scholar]
- Xie, Y.J.; Wang, X.H. Application of G*-integral on cracked structural beams. J. Constr. Steel Res. 2004, 60, 1271–1290. [Google Scholar] [CrossRef]
- Xie, Y.J.; Wang, X.H. Stress intensity factors for cracked triangular cross-section thin-walled tubes. Fatigue Fract. Eng. Mater. Struct. 2004, 27, 1109–1117. [Google Scholar] [CrossRef]
- Xie, Y.J.; Wang, X.H.; Wang, Y.Y. Stress intensity factors for cracked homogeneous and composite multi-channel beams. Int. J. Solids Struct. 2007, 44, 4830–4844. [Google Scholar] [CrossRef]
- Bazant, Z.P. Justification and improvement of Kienzler and Herrmann’s estimate of stress intensity factors of cracked beam. Eng. Fract. Mech. 1990, 36, 523–525. [Google Scholar] [CrossRef]
- Dunn, M.L.; Suwito, W.; Hunter, B. Stress intensity factors for cracked I-beams. Eng. Fract. Mech. 1997, 57, 609–615. [Google Scholar] [CrossRef]
- Xing, C.; Wang, Y.X.; Waisman, H. Fracture analysis of cracked thin-walled structures using a high-order XFEM and Irwin’s integral. Comput. Struct. 2019, 212, 1–19. [Google Scholar] [CrossRef]
- Atluri, S.N. Path-independent integrals in finite elasticity and inelasticity, with body forces, inertia, and arbitrary crack-face conditions. Eng. Fract. Mech. 1982, 16, 341–364. [Google Scholar] [CrossRef]
- Blackburn, W.S. Path independent integrals to predict onset of crack instability in an elastic plastic material. Int. J. Fract. Mech. 1972, 8, 343–346. [Google Scholar] [CrossRef]
- Seshadri, R.; Marriott, D.L. On relating the reference stress, limit load and the ASME stress classification concepts. Int. J. Press. Vessel. Pip. 1993, 56, 387–408. [Google Scholar] [CrossRef]
- Sucharda, O. Identification of Fracture Mechanic Properties of Concrete and Analysis of Shear Capacity of Reinforced Concrete Beams without Transverse Reinforcement. Materials 2020, 13, 2788. [Google Scholar] [CrossRef]
- Lei, Z.; Rougier, E.; Knight, E.; Zang, M.; Munjiza, A. Impact Fracture and Fragmentation of Glass via the 3D Combined Finite-Discrete Element Method. Appl. Sci. 2021, 11, 2484. [Google Scholar] [CrossRef]
- Jahromi, B.H.; Vaziri, A. Instability of cylindrical shells with single and multiple cracks under axial compression. Thin-Walled Struct. 2012, 54, 35–43. [Google Scholar] [CrossRef]
- Dyshel, M.S. Stability of a cracked cylindrical shell in tension. Sov. Appl. Mech. 1989, 25, 542–548. [Google Scholar] [CrossRef]
- Estekanchi, H.E.; Vafai, A. On the buckling of cylindrical shells with through cracks under axial load. Thin-Walled Struct. 1999, 35, 255–274. [Google Scholar] [CrossRef]
- Zhou, L.; Huang, Y. The elastic deflection and ultimate bearing capacity of cracked eccentric thin-walled columns. Struct. Eng. Mech. 2005, 19, 401–411. [Google Scholar] [CrossRef]
- Zhou, L.; Huang, Y. Crack effect on the elastic buckling behavior of axially and eccentrically loaded columns. Struct. Eng. Mech. 2006, 22, 169–184. [Google Scholar] [CrossRef]
- Chakherlou, T.N.; Mirzajanzadeh, M.; Vogwell, J.; Abazadeh, B. Investigation of the fatigue life and crack growth in torque tightened bolted joints. Aerosp. Sci. Technol. 2011, 15, 304–313. [Google Scholar] [CrossRef]
- Gao, H.J.; Herrmann, G. On estimates of stress intensity factors for cracked beams and pipes. Eng. Fract. Mech. 1992, 41, 695–706. [Google Scholar] [CrossRef]
- Moës, N.; Belytschko, T. Extended finite element method for cohesive crack growth. Eng. Fract. Mech. 2002, 69, 813–833. [Google Scholar] [CrossRef]
- Sukumar, N.; Prévost, J.H. Modeling quasi-static crack growth with the extended finite element method Part I: Computer implementation. Int. J. Solids Struct. 2003, 40, 7513–7537. [Google Scholar] [CrossRef]
- Khan, S.M.A.; Khraisheh, M.K. Analysis of mixed mode crack initiation angles under various loading conditions. Eng. Fract. Mech. 2000, 67, 397–419. [Google Scholar] [CrossRef]
- Khan, S.M.A.; Khraisheh, M.K. A new criterion for mixed mode fracture initiation based on the crack tip plastic core region. Int. J. Plast. 2004, 20, 55–84. [Google Scholar] [CrossRef]
- Cao, C.Q.; Hua, J. Engineering Fracture Mechanics; Xi’an Jiaotong University Press: Xi’an, China, 2015. [Google Scholar]
- Jing, P.H.; Khrainshi, T. Analytical solutions for crack tip plastic zone shape using the Von Mises and Tresca yield criteria: Effects of crack mode and stress condition. J. Mech. 2004, 20, 199–210. [Google Scholar] [CrossRef]
- Jing, P.H.; Khrainshi, T.; Gorbatikh, L. Closed-form solutions for the mode II crack tip plastic zone shape. Int. J. Fract. 2003, 122, 137–142. [Google Scholar] [CrossRef]
- Chinese Aeronautical Establishment. Handbook of Stress Intensity Factors, Revised ed.; Science Press: Beijing, China, 1993. [Google Scholar]


























| Node | SX | SY | SZ | SXY | SYZ | SXZ | 
|---|---|---|---|---|---|---|
| 35 | 1244.8 | 558.86 | −750.3 | 1043.8 | −108.1 | −83.4 | 
| 36 | 1047.6 | 782.91 | −759.7 | 759.7 | −158.0 | −109.5 | 
| 1 | 8080.1 | 12,458.0 | 3630.5 | −2564.7 | −1461.8 | 1099.3 | 
| 1 | 8080.1 | 12,458.0 | 3630.5 | −2564.7 | −1461.8 | 1099.3 | 
| 1957 | 1801.3 | 947.9 | −581.6 | 858.1 | −120.9 | −268.9 | 
| 1958 | 1656.7 | 1217.9 | −548.4 | 605.8 | −151.3 | −323.4 | 
| 1237 | 8443.0 | 14414.0 | 5637.1 | −2491.2 | 1500.5 | −307.2 | 
| 1237 | 8443.0 | 14414.0 | 5637.1 | −2491.2 | 1500.5 | −307.2 | 
| (º) | 0 | 10 | 20 | 30 | 40 | 45 | 50 | 60 | 70 | 80 | 
| (º) | −70 | −67 | −64 | −60 | −56 | −53 | −50 | −43 | −33 | −19 | 
| (º) | −70 | −60 | −60 | −60 | −50 | −50 | −50 | −40 | −40 | −20 | 
| ξ2 | 0.1 | 0.2 | 0.3 | 0.4 | 0.5 | 0.6 | 0.7 | 0.8 | 0.9 | 1.0 | 
| (º) | −60 | −60 | −50 | −50 | −60 | −50 | −60 | −60 | −50 | −50 | 
| ξ2 | 0.1 | 0.2 | 0.3 | 0.4 | 0.5 | 0.6 | 0.7 | 0.8 | 0.9 | 1.0 | 
| (º) | −60 | −60 | −50 | −60 | −60 | −50 | −60 | −60 | −70 | −50 | 
| ξ2 | 0.1 | 0.2 | 0.3 | 0.4 | 0.5 | 0.6 | 0.7 | 0.8 | 0.9 | 1.0 | 
| (º) | −60 | −50 | −60 | −60 | −50 | −60 | −60 | −60 | −50 | −50 | 
| Publisher’s Note: MDPI stays neutral with regard to jurisdictional claims in published maps and institutional affiliations. | 
© 2021 by the authors. Licensee MDPI, Basel, Switzerland. This article is an open access article distributed under the terms and conditions of the Creative Commons Attribution (CC BY) license (https://creativecommons.org/licenses/by/4.0/).
Share and Cite
Yue, F.; Wu, Z. Fracture Mechanical Analysis of Thin-Walled Cylindrical Shells with Cracks. Metals 2021, 11, 592. https://doi.org/10.3390/met11040592
Yue F, Wu Z. Fracture Mechanical Analysis of Thin-Walled Cylindrical Shells with Cracks. Metals. 2021; 11(4):592. https://doi.org/10.3390/met11040592
Chicago/Turabian StyleYue, Feng, and Ziyan Wu. 2021. "Fracture Mechanical Analysis of Thin-Walled Cylindrical Shells with Cracks" Metals 11, no. 4: 592. https://doi.org/10.3390/met11040592
APA StyleYue, F., & Wu, Z. (2021). Fracture Mechanical Analysis of Thin-Walled Cylindrical Shells with Cracks. Metals, 11(4), 592. https://doi.org/10.3390/met11040592
 
         
                                                

 
       