Martensitic Transformation and Metamagnetic Transition in Co-V-(Si, Al) Heusler Alloys
Abstract
1. Introduction
2. Materials and Methods
3. Results and Discussion
3.1. Microstructure Observation
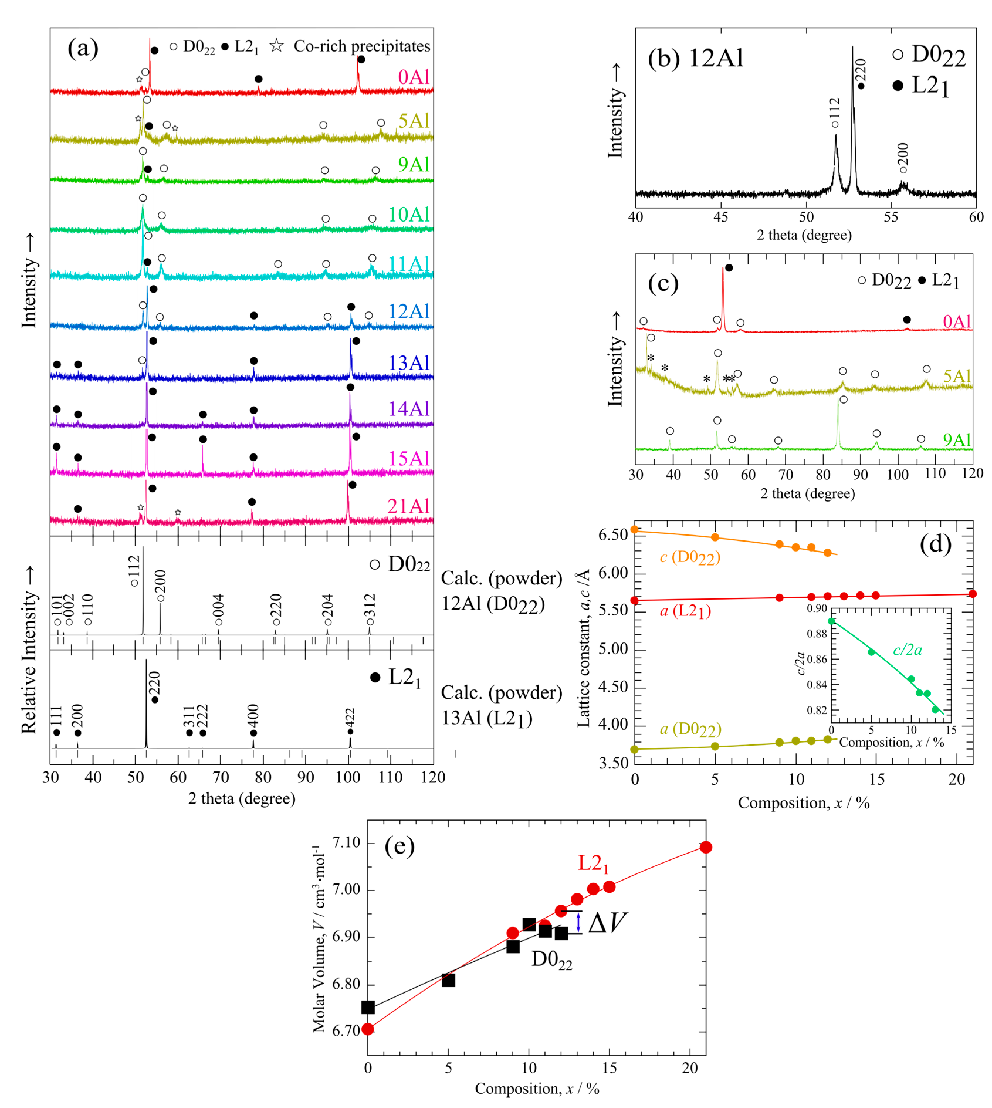
3.2. Crystal Structures
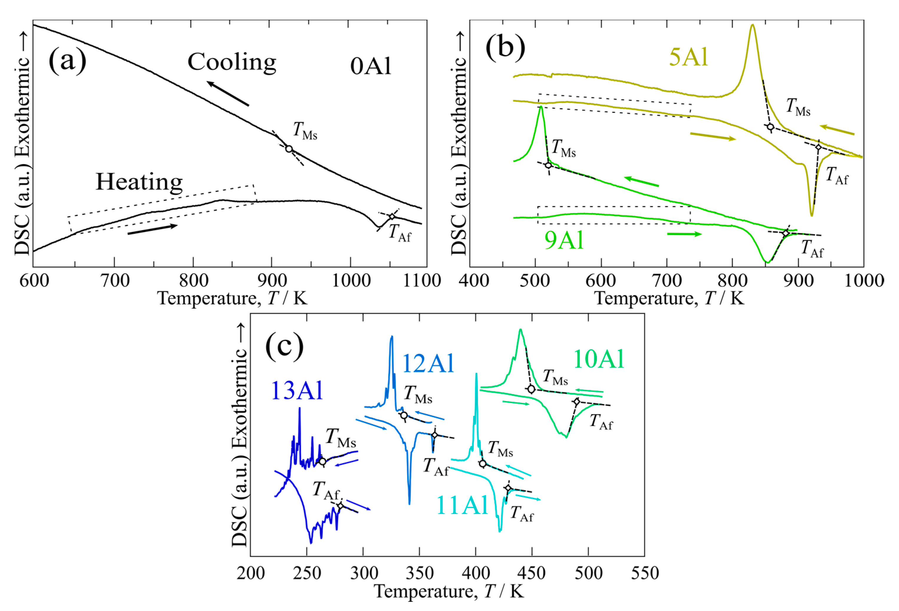
3.3. Determination of Martensitic and Magnetic Transformation Temperatures
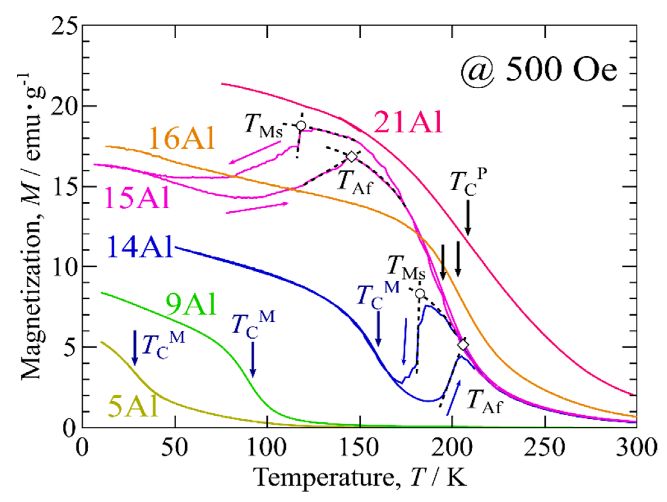
3.4. Magnetic Properties
3.5. Magnetic-Field-Induced Reverse Martensitic Transformation
4. Conclusions
Author Contributions
Funding
Data Availability Statement
Acknowledgments
Conflicts of Interest
References
- Buehler, W.J.; Gilfrich, J.V.; Wiley, R.C. Effect of low-temperature phase changes on the mechanical properties of alloys near composition TiNi. J. Appl. Phys. 1963, 34, 1475–1477. [Google Scholar] [CrossRef]
- Kainuma, R.; Takahashi, S.; Ishida, K. Thermoelastic martensite and shape memory effect in ductile Cu-Al-Mn alloys. Metall. Mater. Trans. A Phys. Metall. Mater. Sci. 1996, 27, 2187–2195. [Google Scholar] [CrossRef]
- Omori, T.; Ando, K.; Okano, M.; Xu, X.; Tanaka, Y.; Ohnuma, I.; Kainuma, R.; Ishida, K. Superelastic Effect in Polycrystalline Ferrous Alloys. Science 2011, 333, 68–71. [Google Scholar] [CrossRef] [PubMed]
- Ogawa, Y.; Ando, D.; Sutou, Y.; Koike, J. A lightweight shape-memory magnesium alloy. Science 2016, 353, 368–370. [Google Scholar] [CrossRef]
- Ullakko, K.; Huang, J.K.; Kantner, C.; O’Handley, R.C.; Kokorin, V.V. Large magnetic-field-induced strains in Ni2MnGa single crystals. Appl. Phys. Lett. 1996, 69, 1966–1968. [Google Scholar] [CrossRef]
- Kainuma, R.; Imano, Y.; Ito, W.; Sutou, Y.; Morito, H.; Okamoto, S.; Kitakami, O.; Oikawa, K.; Fujita, A.; Kanomata, T.; et al. Magnetic-field-induced shape recovery by reverse phase transformation. Nature 2006, 439, 957–960. [Google Scholar] [CrossRef]
- Sutou, Y.; Imano, Y.; Koeda, N.; Omori, T.; Kainuma, R.; Ishida, K.; Oikawa, K. Magnetic and martensitic transformations of NiMnX(X=In, Sn, Sb) ferromagnetic shape memory alloys. Appl. Phys. Lett. 2004, 85, 4358–4360. [Google Scholar] [CrossRef]
- Galanakis, I.; Dederichs, P.H.; Papanikolaou, N. Slater-Pauling behavior and origin of the half-metallicity of the full-Heusler alloys. Phys. Rev. B 2002, 66, 174429. [Google Scholar] [CrossRef]
- Terada, M.; Fujita, Y.; Endo, K. Magnetic properties of the Heusler alloys M2XSn (M=Co or Ni, X=Zr, Nb or Hf). J. Phys. Soc. Jpn. 1974, 36, 620. [Google Scholar] [CrossRef]
- Xu, X.; Omori, T.; Nagasako, M.; Okubo, A.; Umetsu, R.Y.; Kanomata, T.; Ishida, K.; Kainuma, R. Cooling-induced shape memory effect and inverse temperature dependence of superelastic stress in Co2Cr(Ga,Si) ferromagnetic Heusler alloys. Appl. Phys. Lett. 2013, 103, 164104. [Google Scholar] [CrossRef]
- Hirata, K.; Xu, X.; Omori, T.; Nagasako, M.; Kainuma, R. Martensitic transformation and superelasticity in off-stoichiometric Co2Cr(AlSi) Heusler alloys. J. Alloys Compd. 2015, 642, 200–203. [Google Scholar] [CrossRef]
- Xu, X.; Nagashima, A.; Nagasako, M.; Omori, T.; Kanomata, T.; Kainuma, R. Martensitic transformation and phase diagram in ternary Co-V-Ga Heusler alloys. Appl. Phys. Lett. 2017, 110, 121906. [Google Scholar] [CrossRef]
- Jiang, H.; Xu, X.; Omori, T.; Nagasako, M.; Ruan, J.; Yang, S.; Wang, C.; Liu, X.; Kainuma, R. Martensitic transformation and shape memory effect at high temperatures in off-stoichiometric Co2VSi Heusler alloys. Mater. Sci. Eng. A 2016, 676, 191–196. [Google Scholar] [CrossRef]
- Jiang, H.; Yang, S.; Wang, C.; Zhang, Y.; Xu, X.; Chen, Y.; Omori, T.; Kainuma, R.; Liu, X. Martensitic transformation and shape memory effects in Co-V-Al alloys at high temperatures. J. Alloys Compd. 2019, 786, 648–654. [Google Scholar] [CrossRef]
- Xu, X.; Kihara, T.; Miyake, A.; Tokunaga, M.; Kanomata, T.; Kainuma, R. Magnetic-field-induced transition for reentrant martensitic transformation in Co-Cr-Ga-Si shape memory alloys. J. Magn. Magn. Mater. 2018, 466, 273–276. [Google Scholar] [CrossRef]
- Odaira, T.; Xu, X.; Miyake, A.; Omori, T.; Tokunaga, M.; Kainuma, R. Thermal, magnetic field- and stress-induced transformation in Heusler-type Co-Cr-Al-Si shape memory alloys. Scripta Mater. 2018, 153, 35–39. [Google Scholar] [CrossRef]
- Liu, C.; Li, Z.; Zhang, Y.; Huang, Y.; Ye, M.; Sun, X.; Zhang, G.; Cao, Y.; Xu, K.; Jing, C. Realization of metamagnetic martensitic transformation with multifunctional properties in Co50V34Ga16 Heusler alloy. Appl. Phys. Lett. 2018, 112, 211903. [Google Scholar] [CrossRef]
- Jiang, H.; Wang, C.; Xu, W.; Xu, X.; Yang, S.; Kainuma, R.; Liu, X. Alloying effects of Ga on the Co-V-Si high-temperature shape memory alloys. Mater. Des. 2017, 116, 300–308. [Google Scholar] [CrossRef]
- Zhang, Y.; Jiang, H.; Liu, X.; Huang, L.; Yang, S.; Wang, C. Thermal cycle stability of Co64V15Si17Al4 high-temperature shape memory alloy. Mater. Lett. 2020, 260, 126930. [Google Scholar] [CrossRef]
- Odaira, T.; Xu, S.; Xu, X.; Omori, T.; Kainuma, R. Elastocaloric switching effect induced by reentrant martensitic transformation. Appl. Phys. Rev. 2020, 7, 031406. [Google Scholar] [CrossRef]
- Kindo, K. 100T magnet developed in Osaka. Phys. B Condens. Matter 2001, 294–295, 585–590. [Google Scholar] [CrossRef]
- Otsuka, K.; Ren, X. Mechanism of martensite aging effect. Scripta Mater. 2004, 50, 207–212. [Google Scholar] [CrossRef]
- Kainuma, R.; Ishida, K.; Nakano, H. Martensitic transformations in NiMnAl β phase alloys. Metall. Mater. Trans. A 1996, 27, 4153–4162. [Google Scholar] [CrossRef]
- Krenke, T.; Duman, E.; Acet, M.; Wassermann, E.F.; Moya, X.; Mañosa, L.; Planes, A.; Suard, E.; Ouladdiaf, B. Magnetic superelasticity and inverse magnetocaloric effect in Ni-Mn-In. Phys. Rev. B 2007, 75, 104414. [Google Scholar] [CrossRef]
- Xu, X.; Ito, W.; Umetsu, R.Y.; Koyama, K.; Kainuma, R.; Ishida, K. Kinetic arrest of martensitic transformation in Ni33.0Co13.4Mn39.7Ga13.9 metamagnetic shape memory alloy. Mater. Trans. 2010, 51, 469–471. [Google Scholar] [CrossRef]
- Sozinov, A.; Likhachev, A.A.; Lanska, N.; Ullakko, K. Giant magnetic-field-induced strain in NiMnGa seven-layered martensitic phase. Appl. Phys. Lett. 2002, 80, 1746–1748. [Google Scholar] [CrossRef]
- Xu, X.; Nagasako, M.; Ito, W.; Umetsu, R.Y.; Kanomata, T.; Kainuma, R. Magnetic properties and phase diagram of Ni50Mn 50-xGax ferromagnetic shape memory alloys. Acta Mater. 2013, 61, 6712–6723. [Google Scholar] [CrossRef]
- Arrott, A. Criterion for ferromagnetism from observations of magnetic isotherms. Phys. Rev. 1957, 108, 1394–1396. [Google Scholar] [CrossRef]
- Kanomata, T.; Yasuda, T.; Sasaki, S.; Nishihara, H.; Kainuma, R.; Ito, W.; Oikawa, K.; Ishida, K.; Neumann, K.U.; Ziebeck, K.R.A. Magnetic properties on shape memory alloys Ni2Mn1+xIn1-x. J. Magn. Magn. Mater. 2009, 321, 773–776. [Google Scholar] [CrossRef]
- Ito, W.; Ito, K.; Umetsu, R.Y.; Kainuma, R.; Koyama, K.; Watanabe, K.; Fujita, A.; Oikawa, K.; Ishida, K.; Kanomata, T. Kinetic arrest of martensitic transformation in the NiCoMnIn metamagnetic shape memory alloy. Appl. Phys. Lett. 2008, 92, 021908. [Google Scholar] [CrossRef]
- Niitsu, K.; Kimura, Y.; Omori, T.; Kainuma, R. Cryogenic superelasticity with large elastocaloric effect. NPG Asia Mater. 2018, 10, e457. [Google Scholar] [CrossRef]
- Xia, J.; Noguchi, Y.; Xu, X.; Odaira, T.; Kimura, Y.; Nagasako, M.; Omori, T.; Kainuma, R. Iron-based superelastic alloys with near-constant critical stress temperature dependence. Science 2020, 369, 855–858. [Google Scholar] [CrossRef] [PubMed]
- Xia, J.; Xu, X.; Miyake, A.; Kimura, Y.; Omori, T.; Tokunaga, M.; Kainuma, R. Stress- and magnetic field-induced martensitic transformation at cryogenic temperatures in Fe–Mn–Al–Ni shape memory alloys. Shape Mem. Superelasticity 2017, 3, 467–475. [Google Scholar] [CrossRef]







| Alloy | Phase at Room Temperature | Composition (Atomic %) | |||
|---|---|---|---|---|---|
| Co | V | Si | Al | ||
| 0Al | P + M | 64.0 | 15.4 | 20.6 | - |
| 5Al | M | 63.6 | 15.4 | 16.5 | 4.5 |
| 9Al | M | 64.2 | 15.5 | 11.3 | 9.0 |
| 10Al | M | 64.1 | 15.5 | 10.1 | 10.2 |
| 11Al | M | 64.3 | 15.7 | 9.1 | 10.9 |
| 12Al | M | 63.8 | 15.6 | 8.3 | 12.3 |
| 13Al | P | 64.2 | 15.7 | 7.1 | 13.0 |
| 14Al | P | 64.2 | 15.7 | 6.1 | 13.9 |
| 15Al | P | 64.2 | 15.5 | 5.3 | 15.0 |
| 16Al | P | 64.8 | 15.7 | 3.7 | 15.8 |
| 21Al | P (Matrix) | 64.5 | 15.5 | - | 20.0 |
| 2nd | 77.2 | 15.4 | - | 7.4 | |
| Alloy | Lattice Constant (Powder) | Lattice Constant (Bulk) | ||||||
|---|---|---|---|---|---|---|---|---|
| a (L21, nm) | a (D022, nm) | c (D022, nm) | c/2a | a (L21, nm) | a (D022, nm) | c (D022, nm) | c/2a | |
| 0Al | 0.5627 | - | - | - | 0.5628 | 0.3693 | 0.6579 | 0.8909 |
| 5Al | - | 0.3739 | 0.6472 | 0.8654 | - | 0.3739 | 0.6472 | 0.8654 |
| 9Al | 0.5684 | 0.3783 | 0.6389 | 0.8444 | - | 0.3781 | 0.6399 | 0.8462 |
| 10Al | - | 0.3808 | 0.6348 | 0.8335 | - | - | - | - |
| 11Al | 0.5688 | 0.3806 | 0.6341 | 0.8330 | - | - | - | - |
| 12Al | 0.5696 | 0.3825 | 0.6275 | 0.8203 | - | - | - | - |
| 13Al | 0.5703 | - | - | - | - | - | - | - |
| 14Al | 0.5709 | - | - | - | - | - | - | - |
| 15Al | 0.5710 | - | - | - | - | - | - | - |
| 21Al | 0.5733 | - | - | - | - | - | - | - |
| Alloy | Transformation Temperatures (K) | Thermal Hysteresis TAf − TMs (K) | |||
|---|---|---|---|---|---|
| TCP | TCM | TMs | TAf | ||
| 0Al | - | 928 | 1056 | 128 | |
| 5Al | - | 27 | 836 | 923 | 88 |
| 9Al | - | 92 | 518 | 882 | 364 |
| 10Al | - | - | 449 | 491 | 24 |
| 11Al | - | - | 405 | 430 | 25 |
| 12Al | - | - | 330 | 348 | 18 |
| 13Al | - | - | 265 | 280 | 15 |
| 14Al | - | 160 | 185 | 209 | 24 |
| 15Al | 195 | - | 90 | 108 | 18 |
| 16Al | 202 | - | - | - | - |
| 21Al | 210 | - | - | - | - |
| Alloy | Spontaneous Magnetization | |
|---|---|---|
| emu g−1 | μB f.u.−1 | |
| 5Al | 10.8 | 0.39 |
| 9Al | 18.6 | 0.68 |
| 14Al | 28.8 | 1.05 |
| 15Al | 30.5 | 1.11 |
| 16Al | 35.0 | 1.28 |
| 21Al | 40.4 | 1.48 |
Publisher’s Note: MDPI stays neutral with regard to jurisdictional claims in published maps and institutional affiliations. |
© 2021 by the authors. Licensee MDPI, Basel, Switzerland. This article is an open access article distributed under the terms and conditions of the Creative Commons Attribution (CC BY) license (http://creativecommons.org/licenses/by/4.0/).
Share and Cite
Nakamura, K.; Miyake, A.; Xu, X.; Omori, T.; Tokunaga, M.; Kainuma, R. Martensitic Transformation and Metamagnetic Transition in Co-V-(Si, Al) Heusler Alloys. Metals 2021, 11, 226. https://doi.org/10.3390/met11020226
Nakamura K, Miyake A, Xu X, Omori T, Tokunaga M, Kainuma R. Martensitic Transformation and Metamagnetic Transition in Co-V-(Si, Al) Heusler Alloys. Metals. 2021; 11(2):226. https://doi.org/10.3390/met11020226
Chicago/Turabian StyleNakamura, Kousuke, Atsushi Miyake, Xiao Xu, Toshihiro Omori, Masashi Tokunaga, and Ryosuke Kainuma. 2021. "Martensitic Transformation and Metamagnetic Transition in Co-V-(Si, Al) Heusler Alloys" Metals 11, no. 2: 226. https://doi.org/10.3390/met11020226
APA StyleNakamura, K., Miyake, A., Xu, X., Omori, T., Tokunaga, M., & Kainuma, R. (2021). Martensitic Transformation and Metamagnetic Transition in Co-V-(Si, Al) Heusler Alloys. Metals, 11(2), 226. https://doi.org/10.3390/met11020226

