Mean Stress Effect on the Fatigue Life of 304L Austenitic Steel in Air and PWR Environments Determined with Strain- and Load-Controlled Experiments
Abstract
:1. Introduction
2. Materials and Methods
2.1. Material
2.2. Procedure for the Strain Amplitude-Controlled Tests
2.3. Procedure for the Load-Controlled Tests
2.4. LWR Environment in the Fatigue Tests
3. Results
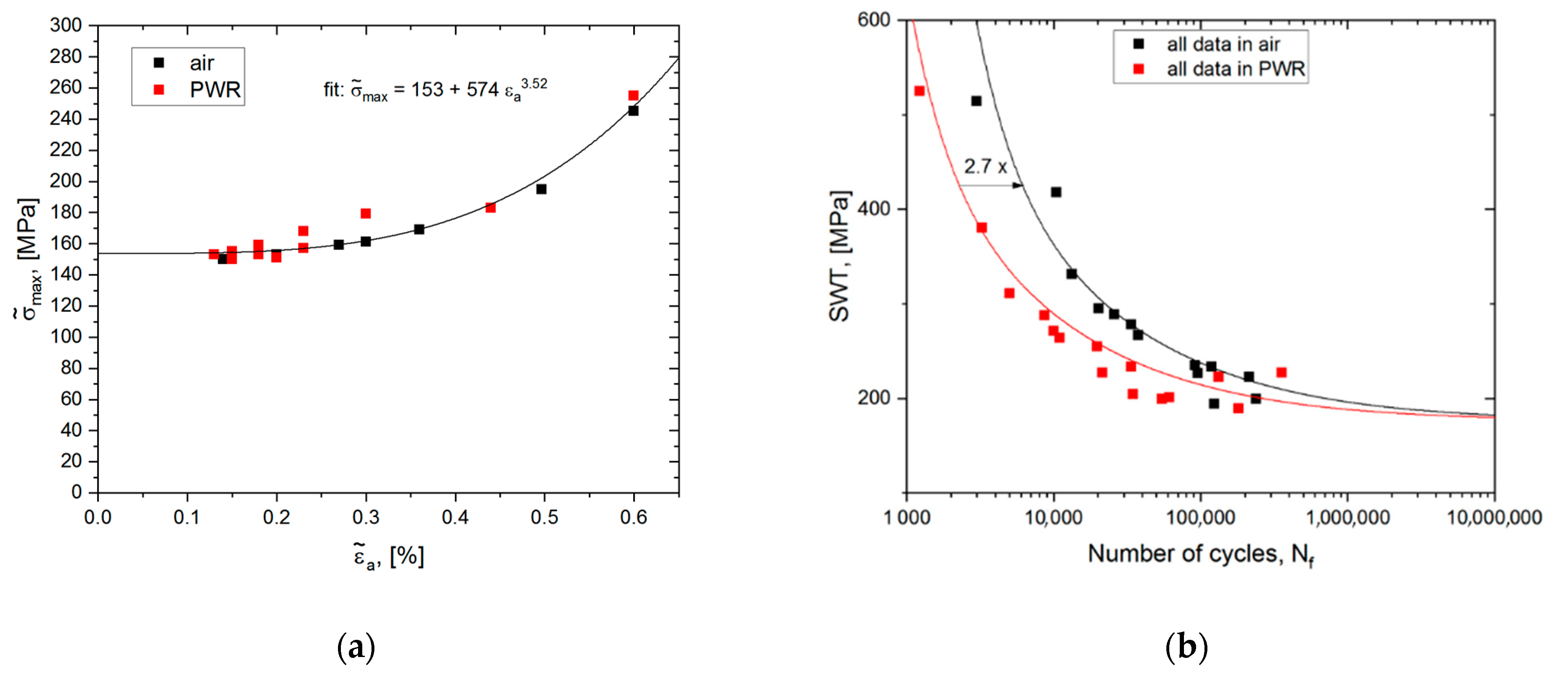
3.1. Strain-Controlled Test Results
3.2. Load-Controlled Test Results
4. Discussion
5. Conclusions
Author Contributions
Funding
Data Availability Statement
Conflicts of Interest
Appendix A
| Specimen Code | Testing Mode | Nf (Cycles) | εa (%) | (%) | (MPa) | MPa | (MPa) |
|---|---|---|---|---|---|---|---|
| 1563 XDAL14 | ε-control air | 10500 | 0.497 | 0.497 | 0 | 195 | - |
| EDF-AIR-2 | ε-control air | 92000 | 0.2 | 0.2 | 0 | 153 | - |
| EDF-AIR-12 | ε-control air | 215000 (runout) | 0.18 | 0.18 | 0 | 153 | - |
| EDF-AIR-9 | ε-control air | 25864 | 0.2 | 0.2 | 50 | 232 | - |
| EDF-AIR-17 | ε-control air | 37872 | 0.18 | 0.18 | 50 | 219 | - |
| EDF-REP-22 | ε-control PWR | 132850 | 0.18 | 0.18 | 0 | 153 | - |
| EDF-REP-23 | ε-control PWR | 358019 (runout) | 0.18 | 0.18 | 0 | 159 | - |
| EDF-REP-17 | ε-control PWR | 33752 | 0.2 | 0.2 | 0 | 151 | - |
| EDF-REP-21 | ε-control PWR | 10015 | 0.18 | 0.18 | 50 | 227 | - |
| 2090-A-2 | ε-control PWR | 8724 | 0.2 | 0.2 | 50 | 230 | - |
| PSIair4 | L-control air | 13336 | - | 0.36 | 0 | 169 | 169 |
| PSIair11 | L-control air | 124613 | - | 0.14 | 0 | 150 | 150 |
| PSIair13 | L-control air | 33801 | - | 0.27 | 0 | 159 | 159 |
| PSIair14 | L-control air | 238439 | - | 0.11 | 50 | 200 | 150 |
| PSIair12 | L-control air | 95900 | - | 0.136 | 50 | 210 | 160 |
| PSIwater10 | L-control PWR | 61632 | - | 0.15 | 0 | 150 | 150 |
| PSIwater13 | L-control PWR | 180760 (runout) | - | 0.13 | 0 | 153 | 153 |
| PSIwater14 | L-control PWR | 34800 | - | 0.15 | 0 | 155 | 155 |
| PSIwater17 | L-control PWR | 19800 | - | 0.23 | 0 | 157 | 157 |
| PSIwater16 | L-control PWR | 21500 | - | 0.14 | 50 | 205 | 155 |
| PSIwater11 | L-control PWR | 54500 | - | 0.11 | 50 | 200 | 150 |
| Specimen Code | Testing Mode | Nf (Cycles) | εa (%) | (%) | (MPa) | MPa | (MPa) |
|---|---|---|---|---|---|---|---|
| PSIair6 | ε-control air | 20337 | 0.3 | 0.3 | - | 161 | - |
| PSIair7 | ε-control air | 2997 | 0.6 | 0.6 | - | 245 | - |
| LEI19 | ε-control air | 118800 | 0.2 | 0.2 | - | 151 | - |
| PSIwater2 | ε-control PWR | 5041 | 0.3 | 0.3 | - | 179 | - |
| PSIwater6 | ε-control PWR | 1225 | 0.6 | 0.6 | - | 255 | - |
| JRC31 | ε-control PWR | 3244 | 0.44 | 0.44 | - | 183 | - |
| CIEMAT12 | ε-control PWR | 10996 | 0.23 | 0.23 | - | 168 | - |
References
- Was, G.S.; Ukai, S. Chapter 8. In Austenitic Stainless Steels. in Structural Alloys for Nuclear Energy Applications; Odette, G.R., Zinkle, S.J., Eds.; Elsevier: Boston, MA, USA, 2019; pp. 293–347. [Google Scholar]
- Metzner, K.J.; Wilke, U. European THERFAT project—Thermal fatigue evaluation of piping system “Tee”-connections. Nucl. Eng. Des. 2005, 235, 473–484. [Google Scholar] [CrossRef]
- Chopra, O.K.; Shak, W.J. A review of the effects of coolant environments on the fatigue life of LWR structural materials. J. Press. Vessel Technol. 2009, 131, 021409. [Google Scholar] [CrossRef]
- Chopra, O.K.; Stevens, G.L. Effect of LWR Coolant Environments on the Fatigue Life of Reactor Materials; Rev. 1; Technical Report No. NUREG/CR-6909; U.S. Nuclear Regulatory Commission Office of Nuclear Regulatory Research: Washington, DC, USA, 2018.
- Kanasaki, H.; Umehara, R.; Mizuta, H.; Suyama, T. Fatigue lives of strainless steels in PWR primary water. In Proceedings of the 14th International Conference on Structural Mechanics in reactor Technology (SMIRT 14), IASMiRT, Lyon, France, 17–22 August 1997; pp. 473–484. [Google Scholar]
- Kamaya, M.; Kawakubo, M. Mean stress effect on fatigue strength of stainless steel. Int. J. Fatigue 2015, 74, 20–29. [Google Scholar] [CrossRef]
- Colin, J.; Fatemi, A.; Taheri, S. Fatigue Behavior of Stainless Steel 304L Including Strain Hardening, Prestraining, and Mean Stress Effects. J. Eng. Mater. Technol. 2010, 132, 021008. [Google Scholar] [CrossRef]
- Le Roux, J.C.; Taheri, S.; Sermage, J.-P.; Colin, J.; Fatemi, A. Cyclic deformation and fatigue behaviors of stainless steel 304L including mean stress and pre-straining effects. In Proceedings of the ASME 2008 Pressure Vessels & Piping Division Conference, Chicago, IL, USA, 27–31 July 2008. [Google Scholar]
- Yuan, X.; Yu, W.; Fu, S.; Yu, D.; Chen, X. Effect of mean stress and ratcheting strain on the low cycle fatigue behavior of a wrought 316LN stainless steel. Mater. Sci. Eng. A 2016, 677, 193–202. [Google Scholar] [CrossRef]
- Vincent, L.; Le Roux, J.C.; Taheri, S. On the High Cycle fatigue Behavior of a Type 304L Stainless Steel at Room Temperature. Int. J. Fratigue 2012, 38, 84–91. [Google Scholar] [CrossRef]
- Miura, N.; Takahashi, Y. High-cycle fatigue behavior of type 316 stainless steel at 288 °C including mean stress effect. Int. J. Fatigue 2006, 28, 1618–1625. [Google Scholar] [CrossRef]
- Wire, G.L.; Leax, T.R.; Kandra, J.T. Mean stress and environmental effects on fatigue in type 304 stainless steel. In Proceedings of the ASME 1999 Probabilistic and Environmental Aspects of Fracture and Fatigue, Boston, MA, USA, 1–5 August 1999; Volume 386, pp. 213–228. [Google Scholar]
- Spätig, P.; Seifert, H.P. Mean stress effect on fatigue life of 316L austenitic steel in air and simulated boiling water reactor hydrogen water chemistry environment. In Proceedings of the International Conference on Environmental Degradation of Materials in Nuclear Power Systems—Water Reactors, Ottawa, ON, Canada, 9–13 August 2015. [Google Scholar]
- Solomon, H.D.; Amzallag, C.; Vallee, A.J.; De Lair, R.E. Influence of mean stress on the fatigue behavior of 304L SS in air and PWR water. In Proceedings of the ASME PVP 2005, Denver, CO, USA, 17–21 July 2005; pp. 87–97. [Google Scholar]
- Spätig, P.; Heczko, M.; Kruml, T.; Seifert, H.P. Influence of mean stress and light water reactor environment on fatigue life and dislocation microstructures of 316L austenitic steel. J. Nucl. Mater. 2018, 509, 15–28. [Google Scholar] [CrossRef]
- Chen, W.; Spätig, P.; Seifert, H.P. Role of mean stress on fatigue behavior of a 316L austenitic stainless steel in LWR and air environments. Int. J. Fatigue 2021, 145, 106111. [Google Scholar] [CrossRef]
- Chen, W. Experimental Evaluation and Modeling of Fatigue of a 316L Austenitic Stainless Steel in High-Temperature Water and Air Environments; Technical Report No. PhD-7831; EPFL: Lausanne, Switzerland, 2020. [Google Scholar]
- Bruchhausen, M.; Mottershead, K.; Hurley, C.; Metais, T.; Cicero, R.; Vankeerberghen, M.; Le Roux, J.-C. Establishing a Multi Laboratory Test Plan for Environmentally Assisted Fatigue. In Fatigue and Fracture Test Planning, Test Data Acquisitions and Analysis; ASTM International: West Conshohocken, PA, USA, 2017. [Google Scholar]
- Bruchhausen, M.; McLennan, A.; Cicero, R.; Huotilainen, C.; Mottershead, K.J.; Le Roux, J.-C.; Vankeerberghen, M. INCEFA-PLUS project: Review of the test programme. In Proceedings of the American Society of Mechanical Engineers, Pressure Vessels and Piping, 3 August 2020; Division (Publication) PVP. Available online: https://ec.europa.eu/jrc/en/publication/incefa-plus-project-review-test-programme (accessed on 1 December 2020).
- Procopio, I.; Cicero, S.; Mottershead, K.; Bruchhausen, M.; Cuvilliez, S. INCEFA-PLUS (Increasing safety in NPPs by covering gaps in environmental fatigue assessment). Procedia Struct. Integr. 2018, 13, 97–103. [Google Scholar] [CrossRef]
- De Baglion De La Dufferie, L. Comportement et Endommagement en Fatigue Oligocyclique d’un Acier Inoxydable Austénitique 304L en Fonction de L’environnement (vide, air, eau primaire REP) à 300 °C. Ph.D. Thesis, ISAE-ENSMA Ecole Nationale Supérieure de Mécanique et d’Aérotechique, Poitiers, France, 2011. [Google Scholar]
- Poulain, T.; Mendez, J.; Hénaff, G.; de Baglion, L. Analysis of the ground surface finish effect on the LCF life of a 304L austenitic stainless steel in air and in PWR environment. Eng. Fract. Mech. 2017, 185, 258–270. [Google Scholar] [CrossRef]
- Tice, D.R.; McLennan, A.; Gill, P. Environmentally Assisted Fatigue (EAF) Knowledge Gap Analysis; EPRI: Palto Alto, CA, USA, 2018. [Google Scholar]
- Bruchhausen, M. Characterization of austenitic stainless steels with regard to environmentally assisted fatigue in simulated light water reactor conditions. Metals. submitted and under review.
- Spätig, P. Datasets from the INCEFA-PLUS Project Used for Assessing the Effects of Mean Stress Effect in Strain Controlled Fatigue Tests, version 1.0; European Commission JRC: [Catalog], Brussel, Belgium, 2020. [Google Scholar] [CrossRef]
- Kamaya, M. Influence of strain range on fatigue life reduction of stainless steel in PWR primary water. Fatigue Fract. Eng. Mater. Struct. 2017, 40, 2194–2203. [Google Scholar] [CrossRef]
- Smith, K.N.; Watson, P.; Topper, T.H. A stress-strain function for the fatigue of metals. J. Mater. 1970, 5, 767–778. [Google Scholar]
- Langer, B.F. Design of Pressure Vessels for Low-Cycle Fatigue. J. Basic Eng. 1962, 84, 389–399. [Google Scholar] [CrossRef]










| Rolling Direction | Transverse Direction | |||
|---|---|---|---|---|
| 25 °C | 300 °C | 25 °C | 300 °C | |
| Yield stress (MPa) at a 0.2% plastic strain | 220 | 138 | 217 | 137 |
| UTS (MPa) | 557 | 403 | 540 | 404 |
| Elongation (%) | 67 | 48 | 67 | 47 |
| Young’s modulus | 192 | 179 | 190 | 197 |
| Elements | C | Mn | Si | S | P | Ni | Cr | Mo | Cu | N |
|---|---|---|---|---|---|---|---|---|---|---|
| RCC-M | ≤0.03 | ≤2.00 | ≤1.00 | ≤0.03 | ≤0.04 | 9.00 ≤ 12.00 | 17.00 ≤ 20.00 | - | ≤1.00 | - |
| 304L | 0.029 | 1.86 | 0.37 | 0.004 | 0.029 | 10.00 | 18.00 | 0.04 | 0.02 | 0.056 |
Publisher’s Note: MDPI stays neutral with regard to jurisdictional claims in published maps and institutional affiliations. |
© 2021 by the authors. Licensee MDPI, Basel, Switzerland. This article is an open access article distributed under the terms and conditions of the Creative Commons Attribution (CC BY) license (http://creativecommons.org/licenses/by/4.0/).
Share and Cite
Spätig, P.; Le Roux, J.-C.; Bruchhausen, M.; Mottershead, K. Mean Stress Effect on the Fatigue Life of 304L Austenitic Steel in Air and PWR Environments Determined with Strain- and Load-Controlled Experiments. Metals 2021, 11, 221. https://doi.org/10.3390/met11020221
Spätig P, Le Roux J-C, Bruchhausen M, Mottershead K. Mean Stress Effect on the Fatigue Life of 304L Austenitic Steel in Air and PWR Environments Determined with Strain- and Load-Controlled Experiments. Metals. 2021; 11(2):221. https://doi.org/10.3390/met11020221
Chicago/Turabian StyleSpätig, Philippe, Jean-Christophe Le Roux, Matthias Bruchhausen, and Kevin Mottershead. 2021. "Mean Stress Effect on the Fatigue Life of 304L Austenitic Steel in Air and PWR Environments Determined with Strain- and Load-Controlled Experiments" Metals 11, no. 2: 221. https://doi.org/10.3390/met11020221
APA StyleSpätig, P., Le Roux, J.-C., Bruchhausen, M., & Mottershead, K. (2021). Mean Stress Effect on the Fatigue Life of 304L Austenitic Steel in Air and PWR Environments Determined with Strain- and Load-Controlled Experiments. Metals, 11(2), 221. https://doi.org/10.3390/met11020221
