Free Energy of Metals from Quasi-Harmonic Models of Thermal Disorder
Abstract
1. Introduction
2. Materials and Methods
3. Results
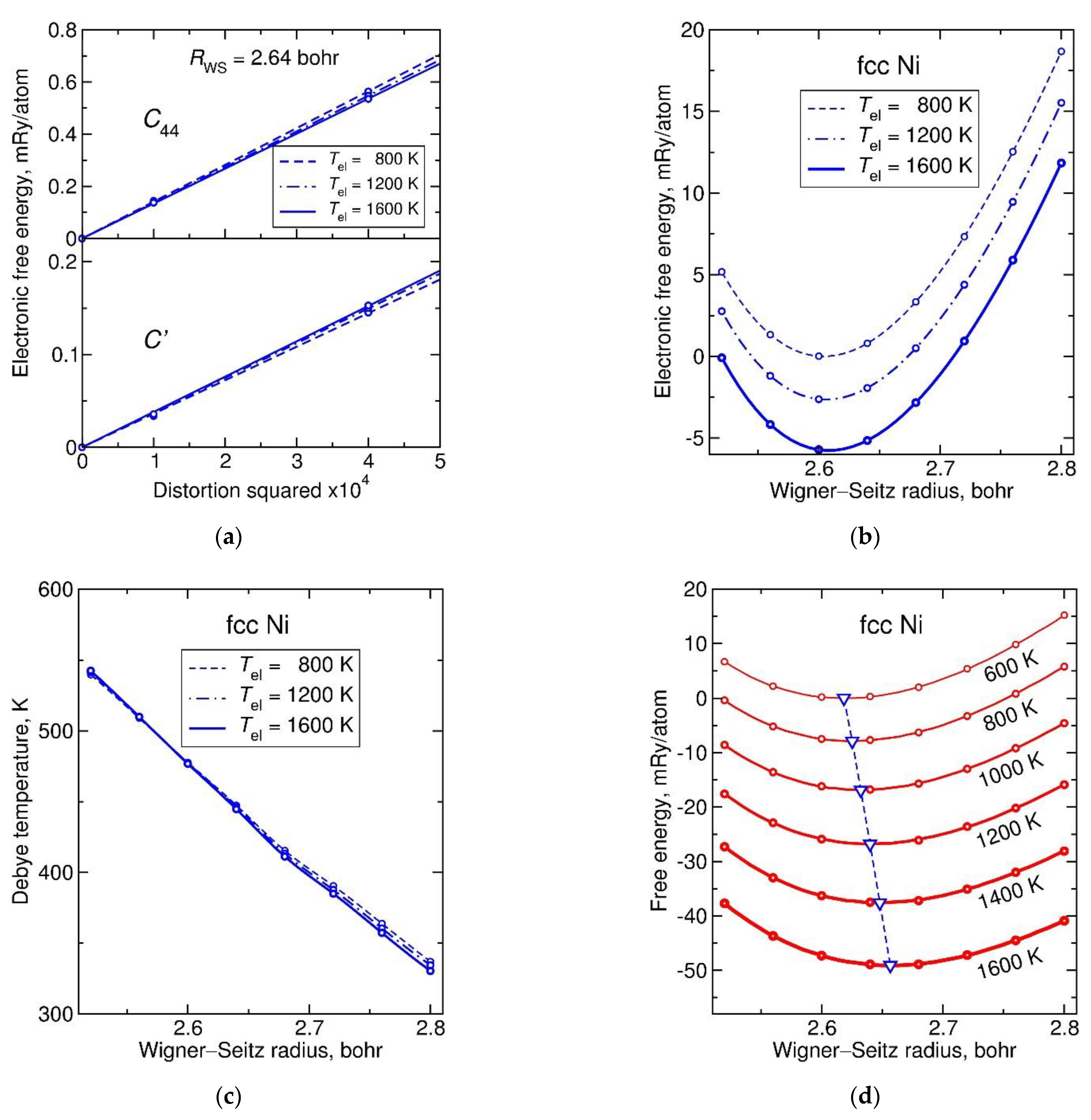
3.1. Face-Centered Cubic Metals
3.2. Body-Centered Cubic Metals
4. Discussion
5. Conclusions
- (1)
- The present modeling approach is faster than existing quasi-harmonic approaches that rely on full phonon spectrum calculations, molecular dynamics, or spin-lattice dynamics simulations.
- (2)
- It is more accurate than the previous Debye model implementations, as it does not involve a Grüneisen parameter. Instead, the full volume dependence (and also the temperature dependence) of the Debye temperature is evaluated.
- (3)
- The temperature dependence of the model parameter (Debye temperature) allows one to treat high-temperature phases such as γ-Fe and β-Ti.
- (4)
- It yields the Helmholtz free energy in a numerical or semi-analytic form that is easy use for the evaluation of thermodynamic properties that are high-order derivatives of the free energy.
- (5)
- At temperatures far below the melting point, the model yields lattice parameters, elastic moduli, and thermal expansion coefficients of the studied metals in good agreement with experiment (the agreement is limited mainly by the approximate exchange-correlation functional used in the electronic structure calculations).
- (6)
- Thanks to the coherent potential approximation used in the electronic structure calculations, the model is naturally applicable to random alloys or disordered alloy phases (including cases of magnetic disorder).
- (1)
- The present modeling, already at the stage of electronic structure calculations, inaccurately reproduces the low-temperature equilibrium lattice parameter of non-magnetic Cu, Cr, Mo, and W metals. Although the errors are of the order of 1%, they cause further errors in the elastic constant and Debye temperature calculations, thereby limiting the accuracy of free-energy modeling.
- (2)
- The model falls short in describing the explosive thermal expansion of Cr metal at high-temperatures (above 1000 K), which identifies the need to extend the presently used model of paramagnetic state beyond the quasi-harmonic approximation.
- (3)
- For the considered bcc metals, the quasi-harmonic treatment of vibrational free energy is clearly insufficient for describing the temperature dependence of their thermodynamic properties such as elastic constants and thermal expansion coefficients at high temperatures.
Author Contributions
Funding
Institutional Review Board Statement
Informed Consent Statement
Data Availability Statement
Acknowledgments
Conflicts of Interest
References
- Moruzzi, V.L.; Janak, J.F.; Schwarz, K. Calculated thermal properties of metals. Phys. Rev. B 1988, 37, 790–799. [Google Scholar] [CrossRef] [PubMed]
- Hohenberg, P.; Kohn, W. Inhomogeneous Electron Gas. Phys. Rev. 1964, 136, B864–B871. [Google Scholar] [CrossRef]
- Kohn, W.; Sham, L.J. Self-Consistent Equations Including Exchange and Correlation Effects. Phys. Rev. 1965, 140, A1133–A1138. [Google Scholar] [CrossRef]
- Baroni, S.; Giannozzi, P.; Isaev, E. Density-functional perturbation theory for quasi-harmonic calculations. Rev. Miner. Geochem. 2010, 71, 39–57. [Google Scholar] [CrossRef]
- Carrier, P.; Wentzcovitch, R.; Tsuchiya, J. First-principles prediction of crystal structures at high temperatures using the quasi-harmonic approximation. Phys. Rev. B 2007, 76, 64116. [Google Scholar] [CrossRef]
- Alfé, D. PHON: A program to calculate phonons using the small displacement method. Comput. Phys. Commun. 2009, 180, 2622–2633. [Google Scholar] [CrossRef]
- Togo, A.; Tanaka, I. First principles phonon calculations in materials science. Scr. Mater. 2015, 108, 1–5. [Google Scholar] [CrossRef]
- Nath, P.; Plata, J.J.; Usanmaz, D.; Al Rahal Al Orabi, R.; Fornari, M.; Buongiorno Nardelli, M.; Toher, C.; Curtarolo, S. High-throughput prediction of finite-temperature properties using the quasi-harmonic approximation. Comput. Mater. Sci. 2016, 125, 82–91. [Google Scholar] [CrossRef]
- Nath, P.; Usanmaz, D.; Hicks, D.; Oses, C.; Fornari, M.; Buongiorno Nardelli, M.; Toher, C.; Curtarolo, S. AFLOW-QHA3P: Robust and automated method to compute thermodynamic properties of solids. Phys. Rev. Mater. 2019, 3, 73801. [Google Scholar] [CrossRef]
- Grabowski, B.; Ismer, L.; Hickel, T.; Neugebauer, J. Ab initio up to the melting point: Anharmonicity and vacancies in aluminum. Phys. Rev. B 2009, 79, 134106. [Google Scholar] [CrossRef]
- Hellman, O.; Steneteg, P.; Abrikosov, I.A.; Simak, S.I. Temperature dependent effective potential method for accurate free energy calculations of solids. Phys. Rev. B 2013, 87, 104111. [Google Scholar] [CrossRef]
- Sangiovanni, D.G.; Klarbring, J.; Smirnova, D.; Skripnyak, N.V.; Gambino, D.; Mrovec, M.; Simak, S.I.; Abrikosov, I.A. Superioniclike Diffusion in an Elemental Crystal: BCC Titanium. Phys. Rev. Lett. 2019, 123, 105501. [Google Scholar] [CrossRef] [PubMed]
- Mosyagin, I.; Hellman, O.; Olovsson, W.; Simak, S.I.; Abrikosov, I.A. Highly Efficient Free Energy Calculations of the Fe Equation of State Using Temperature-Dependent Effective Potential Method. J. Phys. Chem. A 2016, 120, 8761–8768. [Google Scholar] [CrossRef] [PubMed]
- Glensk, A.; Grabowski, B.; Hickel, T.; Neugebauer, J. Understanding Anharmonicity in fcc Materials: From its Origin to ab initio Strategies beyond the Quasi-harmonic Approximation. Phys. Rev. Lett. 2015, 114, 195901. [Google Scholar] [CrossRef]
- Zhang, X.; Grabowski, B.; Körmann, F.; Neugebauer, J. Accurate electronic free energies of the 3d, 4d, and 5d transition metals at high temperatures. Phys. Rev. B 2017, 95, 165126. [Google Scholar] [CrossRef]
- Grabowski, B.; Mellan, T.A.; Duff, A.I.; Finnis, M.W. Fast anharmonic free energy method with an application to vacancies in ZrC. Phys. Rev. B 2019, 100, 24303. [Google Scholar]
- Ikeda, Y.; Grabowski, B.; Körmann, F. Ab initio phase stabilities and mechanical properties of multicomponent alloys: A comprehensive review for high entropy alloys and compositionally complex alloys. Mater. Charact. 2019, 147, 464–511. [Google Scholar] [CrossRef]
- Hafez Haghighat, S.M.; Martin-Bragado, I.; Lousada, C.M.; Korzhavyi, P.A. Discrete Models: Down to Atoms and Electrons. In Handbook of Software Solutions for ICME; Schmitz, G.J., Prahl, U., Eds.; Wiley-VCH: Weinheim, Germany, 2017; pp. 385–431. [Google Scholar]
- Fultz, B. Vibrational thermodynamics of materials. Prog. Mater. Sci. 2010, 55, 247–352. [Google Scholar] [CrossRef]
- Grimvall, G. Thermophysical Properties of Materials; Elsevier Science: Amsterdam, The Netherlands, 1999. [Google Scholar]
- Liu, Z.-K. Computational thermodynamics and its applications. Acta Mater. 2020, 200, 745–792. [Google Scholar] [CrossRef]
- Lu, X.-G.; Selleby, M.; Sundman, B. Assessments of molar volume and thermal expansion for selected bcc, fcc and hcp metallic elements. CALPHAD 2005, 29, 68–89. [Google Scholar] [CrossRef]
- Enoki, M.; Sundman, B.; Sluiter, M.H.F.; Selleby, M.; Ohtani, H. Calphad Modeling of LRO and SRO Using ab initio Data. Metals 2020, 10, 998. [Google Scholar] [CrossRef]
- Palumbo, M.; Burton, B.; Costa e Silva, A.; Fultz, B.; Grabowski, B.; Grimvall, G.; Hallstedt, B.; Hellman, O.; Lindahl, B.; Schneider, A.; et al. Thermodynamic modelling of crystalline unary phases. Phys. Status Solidi B 2014, 251, 14–32. [Google Scholar] [CrossRef]
- Tumminello, S.; Palumbo, M.; Koßmann, J.; Hammerschmidt, T.; Alonso, P.R.; Sommadossi, S.; Fries, S.G. DFT-CEF Approach for the Thermodynamic Properties and Volume of Stable and Metastable Al–Ni Compounds. Metals 2020, 10, 1142. [Google Scholar] [CrossRef]
- Ehteshami, H.; Korzhavyi, P.A. Thermophysical properties of paramagnetic Fe from first principles. Phys. Rev. B 2017, 96, 224406. [Google Scholar] [CrossRef]
- Anderson, O.L. A simplified method for calculating the Debye temperature from elastic constants. J. Phys. Chem. Solids 1963, 24, 909–917. [Google Scholar] [CrossRef]
- Hill, R. The Elastic Behaviour of a Crystalline Aggregate. Proc. Phys. Soc. Sect. A 1952, 65, 349–354. [Google Scholar] [CrossRef]
- Voigt, W. On the relation between the elasticity constants of isotropic bodies. Ann. Phys. Chem. 1889, 274, 573–587. [Google Scholar] [CrossRef]
- Reuss, A. Berechnung der Fließgrenze von Mischkristallen auf Grund der Plastizitätsbedingung für Einkristalle. Z. Angew. Math. Mech. 1929, 9, 49–58. [Google Scholar] [CrossRef]
- Perdew, J.P.; Burke, K.; Ernzerhof, M. Generalized Gradient Approximation Made Simple. Phys. Rev. Lett. 1996, 77, 3865–3868. [Google Scholar] [CrossRef]
- Andersen, O.K.; Jepsen, O.; Krier, G. Exact muffin-tin orbital theory. In Lectures on Methods of Electronic Structure Calculations; Andersen, O.K., Mookerjee, A., Eds.; World Scientific Publishing Co.: Singapore, 1994; pp. 63–124. [Google Scholar]
- Vitos, L. Total-energy method based on the exact muffin-tin orbitals theory. Phys. Rev. B 2001, 64, 14107. [Google Scholar] [CrossRef]
- Vitos, L. Computational Quantum Mechanics for Materials Engineers: The EMTO Method and Applications; Springer: London, UK, 2007. [Google Scholar]
- Kollár, J.; Vitos, L.; Skriver, H.L. From ASA towards the Full Potential. In Electronic Structure and Physical Properies of Solids; Dreyssé, H., Ed.; Springer: Berlin/Heidelberg, Germany, 2000; pp. 85–114. [Google Scholar]
- Vitos, L.; Kollár, J.; Skriver, H.L. Full charge-density scheme with a kinetic-energy correction: Application to ground-state properties of the 4d metals. Phys. Rev. B 1997, 55, 13521–13527. [Google Scholar] [CrossRef]
- Mermin, N.D. Thermal Properties of the Inhomogeneous Electron Gas. Phys. Rev. 1965, 137, A1441–A1443. [Google Scholar] [CrossRef]
- Pindor, A.J.; Staunton, J.; Stocks, G.M.; Winter, H. Disordered local moment state of magnetic transition metals: A self-consistent KKR CPA calculation. J. Phys. F Met. Phys. 1983, 13, 979–989. [Google Scholar] [CrossRef]
- Monkhorst, H.J.; Pack, J.D. Special points for Brillouin-zone integrations. Phys. Rev. B 1976, 13, 5188–5192. [Google Scholar] [CrossRef]
- Ruban, A.V.; Belonoshko, A.B.; Skorodumova, N.V. Impact of magnetism on Fe under Earth’s core conditions. Phys. Rev. B 2013, 87, 14405. [Google Scholar] [CrossRef]
- Khmelevskyi, S. Longitudinal Spin Fluctuations and Magnetic Ordering Temperature in Metals: First-Principle Modeling and Phase Space Integration Measure. Solid State Phenom. 2019, 289, 192–197. [Google Scholar] [CrossRef]
- Ehteshami, H.; Korzhavyi, P.A. Thermodynamic properties of paramagnetic α- and β-Mn from first principles: The effect of transverse spin fluctuations. Phys. Rev. Mater. 2017, 1, 73803. [Google Scholar] [CrossRef]
- Ehteshami, H.; Ruban, A.V. High-temperature thermophysical properties of γ- and δ-Mn from first principles. Phys. Rev. Mater. 2018, 2, 34405. [Google Scholar] [CrossRef]
- Zhang, J.; Korzhavyi, P.A. First Principles Investigation on Thermodynamic Properties and Stacking Fault Energy of Paramagnetic Nickel at High Temperatures. Metals 2020, 10, 319. [Google Scholar] [CrossRef]
- Moroni, E.G.; Grimvall, G.; Jarlborg, T. Free Energy Contributions to the hcp-bcc Transformation in Transition Metals. Phys. Rev. Lett. 1996, 76, 2758–2761. [Google Scholar] [CrossRef]
- Eriksson, O.; Wills, J.M.; Wallace, D. Electronic, quasi-harmonic, and anharmonic entropies of transition metals. Phys. Rev. B 1992, 46, 5221–5228. [Google Scholar] [CrossRef] [PubMed]
- Masuda-Jindo, K.; Nishitani, S.R.; Hung, V.V. hcp-bcc structural phase transformation of titanium: Analytic model calculations. Phys. Rev. B 2004, 70, 184122. [Google Scholar] [CrossRef]
- Ebert, H.; Mankovsky, S.; Chadova, K.; Polesya, S.; Minár, J.; Ködderitzsch, D. Calculating linear-response functions for finite temperatures on the basis of the alloy analogy model. Phys. Rev. B 2015, 91, 165132. [Google Scholar] [CrossRef]
- Senkov, O.N.; Chakoumakos, B.C.; Jonas, J.J.; Froes, F.H. Effect of temperature and hydrogen concentration on the lattice parameter of beta titanium. Mater. Res. Bull. 2001, 36, 1431–1440. [Google Scholar] [CrossRef]
- Haas, P.; Tran, F.; Blaha, P. Calculation of the lattice constant of solids with semilocal functionals. Phys. Rev B 2009, 79, 85104. [Google Scholar] [CrossRef]
- Suh, I.-K.; Ohta, H.; Waseda, Y. High-temperature thermal expansion of six metallic elements measured by dilatation method and X-ray diffraction. J. Mater. Sci. 1988, 23, 757–760. [Google Scholar] [CrossRef]
- Seki, I.; Nagata, K. Lattice Constant of Iron and Austenite Including Its Supersaturation Phase of Carbon. ISIJ Int. 2005, 45, 1789–1794. [Google Scholar] [CrossRef]
- Chang, Y.A.; Himmel, L. Temperature dependence of the elastic constants of Cu, Ag, and Au above room temperature. J. Appl. Phys. 1966, 37, 3567–3572. [Google Scholar] [CrossRef]
- Alers, G.A.; Thompson, D.O. Dislocation contributions to the modulus and damping in copper at megacycle frequencies. J. Appl. Phys. 1961, 32, 283–293. [Google Scholar] [CrossRef]
- Alers, G.A.; Neighbours, J.R.; Sato, H. Temperature dependent magnetic contributions to the high field elastic constants of Nickel and an Fe-Ni alloy. J. Phys. Chem. Solids 1960, 13, 40–55. [Google Scholar] [CrossRef]
- Zarestky, J.; Stassis, C. Lattice dynamics of γ-Fe. Phys. Rev. B 1987, 35, 4500–4502. [Google Scholar] [CrossRef] [PubMed]
- Ogi, H.; Kai, S.; Ledbetter, H.; Tarumi, R.; Hirao, M.; Takashima, K. Titanium’s high-temperature elastic constants through the hcp–bcc phase transformation. Acta Mater. 2004, 52, 2075–2080. [Google Scholar] [CrossRef]
- Dubrovinskaia, N.A.; Dubrovinsky, L.S.; Saxena, S.K.; Sundman, B. Thermal Expansion of Chromium (Cr) to Melting Temperature. Calphad 1982, 21, 497–508. [Google Scholar] [CrossRef]
- Bolef, D.I.; De Klerk, J. Anomalies in the elastic constants and thermal expansion of Chromium single crystals. Phys. Rev. 1963, 129, 1063–1067. [Google Scholar] [CrossRef]
- Edwards, J.W.; Speiser, R.; Johnston, H.L. High Temperature Structure and Thermal Expansion of Some Metals as Determined by X-Ray Diffraction Data. I. Platinum, Tantalum, Niobium, and Molybdenum. J. Appl. Phys. 1951, 22, 424–428. [Google Scholar] [CrossRef]
- Dickinson, J.M.; Armstrong, P.E. Temperature Dependence of the Elastic Constants of Molybdenum. J. Appl. Phys. 1967, 38, 602–606. [Google Scholar] [CrossRef]
- Dubrovinsky, L.S.; Saxena, S.K. Thermal Expansion of Periclase (MgO) and Tungsten (W) to Melting Temperatures. Phys. Chem. Miner. 1997, 24, 547–550. [Google Scholar] [CrossRef]
- Lowrie, R.; Gonas, A.M. Single-crystal elastic properties of tungsten from 24 to 1800 °C. J. Appl. Phys. 1967, 38, 4505–4509. [Google Scholar] [CrossRef]
- Nix, F.C.; MacNair, D. The Thermal Expansion of Pure Metals: Copper, Gold, Aluminum, Nickel, and Iron. Phys. Rev. 1941, 60, 597–605. [Google Scholar] [CrossRef]
- Reiter, P.; Kaschnitz, E. Measurement of Thermal Expansion at High Temperature by a Transient Interferometric Technique. Int. J. Thermophys. 2002, 23, 1327–1338. [Google Scholar] [CrossRef]
- Miiller, A.P.; Cezairliyan, A. Thermal Expansion of Tungsten in the Range 1500–3600 K by a Transient Interferometric Technique. Int. J. Thermophys. 1990, 11, 619–628. [Google Scholar] [CrossRef]
- Acet, M.; Zähres, H.; Wassermann, E.F.; Pepperhoff, W. High-temperature moment-volume instability and anti-Invar of γ-Fe. Phys. Rev. B 1994, 49, 6012–6017. [Google Scholar] [CrossRef] [PubMed]
- Korzhavyi, P.A.; Sandström, R. First-principles evaluation of the effect of alloying elements on the lattice parameter of a 23Cr25NiWCuCo austenitic stainless steel to model solid solution hardening contribution to the creep strength. Mater. Sci. Eng. A 2015, 626, 213–219. [Google Scholar] [CrossRef]
- Al-Zoubi, N. Elastic Parameters of Paramagnetic Fe–20Cr–20Ni-Based Alloys: A First-Principles Study. Metals 2019, 9, 792. [Google Scholar] [CrossRef]
- Zhang, J.; Korzhavyi, P.A.; He, J. Investigation on elastic and thermodynamic properties of Fe25Cr20NiMnNb austenitic stainless steel at high temperatures from first principles. Comput. Mater. Sci. 2020, 185, 109973. [Google Scholar] [CrossRef]
- Toher, C.; Plata, J.J.; Levy, Q.; de Jong, M.; Asta, M.; Buongiorno Nardelli, M.; Curtarolo, S. High-throughput computational screening of thermal conductivity, Debye temperature, and Grüneisen parameter using a quasi-harmonic Debye model. Phys. Rev. B 2014, 90, 174107. [Google Scholar] [CrossRef]
- Grimvall, G.; Häglund, J.; Fernándes Guillermet, A. Spin fluctuations in paramagnetic chromium determined from entropy considerations. Phys. Rev. B 1993, 47, 15338–15341. [Google Scholar] [CrossRef]







| Metal | T, K | Lattice Parameter, Å | Bulk Modulus, GPa | ||||
|---|---|---|---|---|---|---|---|
| Cu | 800 | 3.638 | 3.682 | 3.646 | 140.0 | 118.0 | 124.8 |
| % error, Reference | −0.2 | +1.0 | [51] | +12.2 | −5.4 | [53] | |
| Ni | 800 | 3.526 | 3.555 | 3.550 | 194.1 | 174.4 | 171.0 |
| % error, Reference | −0.7 | +0.1 | [51] | +13.5 | +2.0 | [55] | |
| γ-Fe | 1250 | 3.540 | 3.640 | 3.652 | 136.7 | 103.1 | 102.7 |
| % error, Reference | −3.0 | −0.3 | [52] | +33.1 | +0.4 | [56] | |
| β-Ti | 1250 | 3.27 | 3.32 | 3.31 | 106.2 | 90.9 | 87.7 |
| % error, Reference | −1.3 | +0.3 | [49] | +21.0 | +3.6 | [57] | |
| Cr | 1000 | 2.851 | 2.871 | 2.901 | 249.7 | 229.6 | 190 |
| % error, Reference | −1.7 | −1.0 | [58] | +31.4 | +20.8 | [59] | |
| Mo | 1000 | 3.164 | 3.181 | 3.159 | 249.1 | 231.5 | 247.5 |
| % error, Reference | +0.2 | +0.7 | [60] | +0.6 | −6.5 | [61] | |
| W | 1000 | 3.192 | 3.206 | 3.175 | 294.2 | 275.9 | 298.3 |
| % error, Reference | +0.5 | +1.0 | [62] | +12.2 | −5.4 | [63] | |
Publisher’s Note: MDPI stays neutral with regard to jurisdictional claims in published maps and institutional affiliations. |
© 2021 by the authors. Licensee MDPI, Basel, Switzerland. This article is an open access article distributed under the terms and conditions of the Creative Commons Attribution (CC BY) license (http://creativecommons.org/licenses/by/4.0/).
Share and Cite
Korzhavyi, P.A.; Zhang, J. Free Energy of Metals from Quasi-Harmonic Models of Thermal Disorder. Metals 2021, 11, 195. https://doi.org/10.3390/met11020195
Korzhavyi PA, Zhang J. Free Energy of Metals from Quasi-Harmonic Models of Thermal Disorder. Metals. 2021; 11(2):195. https://doi.org/10.3390/met11020195
Chicago/Turabian StyleKorzhavyi, Pavel A., and Jing Zhang. 2021. "Free Energy of Metals from Quasi-Harmonic Models of Thermal Disorder" Metals 11, no. 2: 195. https://doi.org/10.3390/met11020195
APA StyleKorzhavyi, P. A., & Zhang, J. (2021). Free Energy of Metals from Quasi-Harmonic Models of Thermal Disorder. Metals, 11(2), 195. https://doi.org/10.3390/met11020195

