Parameters Optimization of Auxiliary Gas Process for Double-Wire SS316L Stainless Steel Arc Additive Manufacturing
Abstract
1. Introduction
2. Materials and Methods
2.1. Test Materials and Equipment
2.2. Evaluation Method
2.3. Experiment Conditions
3. Results
3.1. Morphology Evaluation
3.2. Microstructure of Depositions
3.3. Microhardness
3.4. Tensile Properties
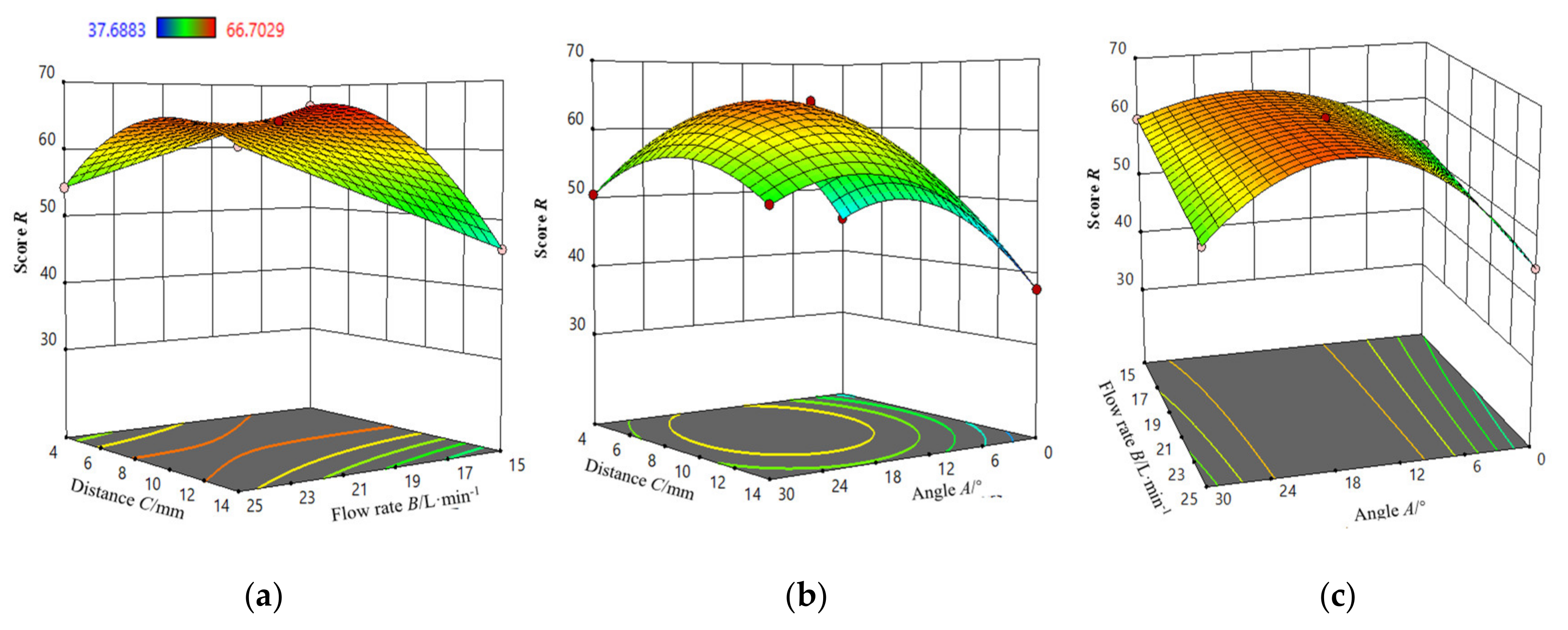
3.5. Parameters Modeling and Optimal Prediction of Auxiliary Gas Process
4. Discussion
5. Conclusions
- (1)
- A two-direction auxiliary gas process platform was constructed to explore the influence of auxiliary gas on the liquid pool and solidified deposition in the manufacturing process; that is, the auxiliary gas jet could stir and cool the unsolidified molten pool, which would further improve the morphology, microstructure and the properties.
- (2)
- Based on the image recognition method, the characteristic parameters of the deposited cross-section were extracted to obtain quantitative results, such as molding efficiency and roughness. Then an evaluation system of normalized morphology, hardness and tensile data was built.
- (3)
- An auxiliary gas nozzle angle of 30° produced defects easier but had good properties for strongly stirring and pushing the molten pool forward, while the angle of 0° made the bottom forming and mechanical properties worse than the angle of 30°.
- (4)
- Increasing the auxiliary gas flow to 25 L/min or decreasing distance to 4 mm enhanced the strength and stiffness of the airflow, and then improved the ability to stir the molten pool and resist the interference.
- (5)
- The optimal auxiliary gas process parameters of 17.4°, 25 L/min and 10.44 mm were obtained by the verified model based on the BBD response surface method.
Author Contributions
Funding
Conflicts of Interest
References
- Martina, F.; Mehnen, J.; Williams, S.; Colegrove, P.; Wang, F. Investigation of the benefits of plasma deposition for the additive layer manufacture of Ti–6Al–4V. J. Mater. Process. Technol. 2012, 212, 1377–1386. [Google Scholar] [CrossRef]
- Wu, W.; Xue, J.; Zhang, Z.; Ren, X.; Xie, B. Process optimization on multilayer morphology during 316L double-wire CMT+P deposition process. Metals 2019, 9, 1334. [Google Scholar] [CrossRef]
- Colegrove, P.; Donoghue, J.; Martina, F.; Gu, J.; Prangnell, P.; Hönnige, J. Application of bulk deformation methods for microstructural and material property improvement and residual stress and distortion control in additively manufactured components. Scr. Mater. 2016, 135, 111–118. [Google Scholar] [CrossRef]
- Hönnige, J.; Colegrove, P.; Ahmad, B.; Fitzpatrick, M.; Ganguly, S.; Lee, T.; Williams, S. Residual stress and texture control in Ti-6Al-4V wire+arc additively manufactured intersections by stress relief and rolling. Mater. Des. 2018, 150, 193–205. [Google Scholar] [CrossRef]
- Mcandrew, A.; Alvarez Rosales, M.; Colegrove, P.; Hönnige, J.; Ho, A.; Fayolle, R.; Eyitayo, K.; Stan, I.; Sukrongpang, P.; Pinter, Z.; et al. Interpass rolling of Ti-6Al-4V wire+arc additively manufactured features for microstructural refinement. Addit. Manuf. 2018, 21, 340–349. [Google Scholar] [CrossRef]
- Gu, J.; Ding, J.; Williams, S.; Gu, H.; Ma, P.; Zhai, Y. The effect of inter-layer cold working and post-deposition heat treatment on porosity in additively manufactured aluminum alloys. J. Mater. Process. Technol. 2016, 230, 26–34. [Google Scholar] [CrossRef]
- Gu, J.; Wang, X.; Bai, J.; Ding, J.; Williams, S.; Zhai, Y.; Liu, K. Deformation microstructures and strengthening mechanisms for the wire+arc additively manufactured al-mg4.5mn alloy with inter-layer rolling. J. Mater. Sci. Eng. A 2018, 712, 292–301. [Google Scholar] [CrossRef]
- Martina, F.; Royb, M.; Colegrovea, P.; Williams, S. Residual stress reduction in high pressure interpass rolled wire+arc additive manufacturing Ti-6Al-4V components. In Proceedings of the 25th International Solid Freeform Fabrication Symposium, Austin, TX, USA, 4–6 August 2014; pp. 89–94. [Google Scholar]
- Williams, S.; Martina, F.; Addison, A.; Ding, J.; Pardal, G.; Colegrove, P. Wire + arc additive manufacturing. Mater. Sci. Technol. 2016, 32, 641–647. [Google Scholar] [CrossRef]
- Wang, T.; Zhang, Y.; Wu, Z.; Shi, C. Microstructure and properties of die steel fabricated by WAAM using h13 wire. Vacuum 2018, 149, 185–189. [Google Scholar] [CrossRef]
- Chen, X.; Li, J.; Cheng, X.; Wang, H.; Huang, Z. Effect of heat treatment on microstructure, mechanical and corrosion properties of austenitic stainless steel 316l using arc additive manufacturing. J. Mater. Sci. Eng. A. 2018, 715, 307–314. [Google Scholar] [CrossRef]
- Caballero, A.; Ding, J.; Ganguly, S.; Williams, S. Wire + arc additive manufacture of 17-4 ph stainless steel: Effect of different processing conditions on microstructure, hardness, and tensile strength. J. Mater. Process Technol. 2019, 268, 54–62. [Google Scholar] [CrossRef]
- Qi, Z.; Qi, B.; Cong, B.; Sun, H.; Zhao, G.; Ding, J. Microstructure and mechanical properties of wire + arc additively manufactured 2024 aluminum alloy components: As-deposited and post heat-treated. J. Mater. Process. Technol. 2019, 40, 27–36. [Google Scholar] [CrossRef]
- Liu, T. Study on Manufacturing Process Optimization and Microstructure and Properties of Aluminum Alloy Arc Addition. Master’s Thesis, Shenyang University of Technology, Shenyang, China, 2019. [Google Scholar]
- Zhou, X.; Tian, Q.; Du, Y.; Zhang, H.; Wang, G.; Mei, F. Study of the influence of longitudinal static magnetic field on surface quality and performances of arc welding based additive forming parts. J. Mech. Eng. 2018, 54, 84–92. [Google Scholar] [CrossRef][Green Version]
- Wu, B.; Pan, Z.; Ding, D.; Cuiuri, D.; Li, H.; Fei, Z. The effects of forced interpass cooling on the material properties of wire arc additively manufactured ti6al4v alloy. J. Mater. Process. Technol. 2018, 258, 97–105. [Google Scholar] [CrossRef]
- Li, F.; Chen, S.; Shi, J.; Zhao, Y.; Tian, H. Thermoelectric cooling-aided bead geometry regulation in wire and arc-based additive manufacturing of thin-walled structures. Appl. Sci. 2018, 8, 207. [Google Scholar] [CrossRef]
- Montgomery, D.C. Design and Analysis of Experiments, 6th ed.; Posts & Telecom Press: Beijing, China, 2009; pp. 380–460. [Google Scholar]
- Bai, Y. Research on the Mechanism and Properties Controllability of Selective Laser Melting of Maraging Steel. Master’s Thesis, South China University of Technology, Guangzhou, China, March 2018. [Google Scholar]
- Wu, W.; Xue, J.; Yao, P. A Comparative Study on Single and Double-Arc Additive Manufacturing of Stainless Steel. Mater. Manuf. Processes 2020, 35, 346–353. [Google Scholar] [CrossRef]
- Ghosh, S.; Schucany, W.R.; Smith, W.B. Statistics of Quality; CRC Press: Florida, FL, USA, 2020. [Google Scholar]








| Samples | Shape Appearance and Central Cross-Section Morphology | Average Hardness/HV | Average Tensile Strength/MPa | Average Elongation/% |
|---|---|---|---|---|
| 1# | ![]() | 180 ± 4.53 | 499.87 ± 2.91 | 49.23 ± 2.26 |
| 2# | ![]() | 190.35 ± 5.2 | 512.88 ± 7.37 | 48.07 ± 2.06 |
| 4# | ![]() | 186.13 ± 4.57 | 510.47 ± 2.29 | 48.17 ± 1.92 |
| 5# | ![]() | 182.75 ± 5.53 | 503.55 ± 1.63 | 47.24 ± 0.3 |
| 6# | ![]() | 176.1 ± 3.03 | 490.77 ± 3.57 | 50.65 ± 2.18 |
| 8# | ![]() | 183.25 ± 5.44 | 507.41 ± 6.57 | 47.3 ± 0.68 |
| 9# | ![]() | 184.6 ± 3.88 | 504.54 ± 2.9 | 50.86 ± 1.97 |
| 10# | ![]() | 176.42 ± 4.75 | 494.51 ± 4.86 | 50.31 ± 3.1 |
| 11# | ![]() | 174.7±1.97 | 470.11 ± 13.37 | 52.76 ± 3.1 |
| 13# | ![]() | 175.05 ± 3.87 | 494.93 ± 2.3 | 50.79 ± 2.2 |
| 14# | ![]() | 173.43 ± 3.46 | 483.25 ± 6.24 | 49.73 ± 3.11 |
| 15# | ![]() | 172.53 ± 3.16 | 478.34 ± 12.3 | 50.7 ± 1.42 |
| 16# | ![]() | 176.36 ± 2.65 | 481.43 ± 4.68 | 51.43 ± 3.45 |
| Samples | Angle between Nozzle and Welding Torch θAG/° | Gas-Flow Rate LAG/L·min−1 | Distance between Nozzle and Substrate HAG/mm | Molding Score | Performance Score | Comprehensive Score |
|---|---|---|---|---|---|---|
| 1# | 15 | 20 | 9 | 79.88 | 48 | 63.94 |
| 2# | 30 | 25 | 9 | 40.32 | 66 | 53.16 |
| 3# | 15 | 20 | 9 | 78.58 | 49.58 | 64.08 |
| 4# | 30 | 15 | 9 | 61.47 | 57.94 | 59.7 |
| 5# | 15 | 25 | 4 | 67.83 | 40.66 | 54.25 |
| 6# | 0 | 20 | 4 | 45.22 | 45.21 | 45.21 |
| 7# | 15 | 20 | 9 | 78.35 | 48.84 | 63.6 |
| 8# | 30 | 20 | 4 | 56.28 | 44.65 | 50.46 |
| 9# | 30 | 20 | 14 | 31.67 | 70.7 | 51.19 |
| 10# | 15 | 15 | 4 | 87.50 | 45.91 | 66.7 |
| 11# | 0 | 15 | 9 | 59.95 | 43.65 | 51.8 |
| 12# | 15 | 20 | 9 | 77.78 | 49.2 | 63.49 |
| 13# | 15 | 25 | 14 | 74.59 | 47.2 | 60.89 |
| 14# | 15 | 15 | 14 | 62.73 | 28.8 | 45.77 |
| 15# | 0 | 20 | 14 | 44.68 | 30.7 | 37.69 |
| 16# | 0 | 25 | 9 | 45.05 | 45.4 | 45.23 |
| 17# | 15 | 20 | 9 | 78.32 | 47.87 | 63.1 |
| Samples Performance | 1# | 2# | 4# | 5# | 6# | 8# | 9# | 10# | 11# | 13# | 14# | 15# | 16# | |
|---|---|---|---|---|---|---|---|---|---|---|---|---|---|---|
| Normalized Values | ||||||||||||||
| Hardness | 0.42 | 1 | 0.76 | 0.57 | 0.20 | 0.60 | 0.68 | 0.22 | 0.12 | 0.14 | 0.05 | 0 | 0.22 | |
| Tensile strength | 0.70 | 1 | 0.94 | 0.78 | 0.48 | 0.87 | 0.81 | 0.57 | 0 | 0.58 | 0.31 | 0.21 | 0.28 | |
| Elongation | 0.36 | 0.15 | 0.17 | 0 | 0.62 | 0.01 | 0.66 | 0.56 | 1 | 0.64 | 0.45 | 0.61 | 0.76 | |
| Total score | 48 | 66 | 57.8 | 40.5 | 45.2 | 44.5 | 71.1 | 46.1 | 43.6 | 47.2 | 28.8 | 30.7 | 45.4 | |
| Source | Sum of Squares | df | Mean Square | F-Value | p-Value | Significance |
|---|---|---|---|---|---|---|
| Model | 1190.90 | 11 | 108.26 | 693.66 | <0.0001 | Significant |
| A | 62.69 | 1 | 62.69 | 401.69 | <0.0001 | - |
| B | 1.78 | 1 | 1.78 | 11.42 | 0.0197 | - |
| C | 51.05 | 1 | 51.05 | 327.10 | <0.0001 | - |
| AB | 0.0002 | 1 | 0.0002 | 0.0015 | 0.9710 | - |
| AC | 17.01 | 1 | 17.01 | 109.02 | 0.0001 | - |
| BC | 190.23 | 1 | 190.23 | 1218.85 | <0.0001 | - |
| A2 | 508.73 | 1 | 508.73 | 3259.49 | <0.0001 | - |
| C2 | 180.98 | 1 | 180.98 | 1159.55 | <0.0001 | - |
| A2B | 31.16 | 1 | 31.16 | 199.64 | <0.0001 | - |
| A2C | 7.01 | 1 | 7.01 | 44.90 | 0.0011 | - |
| AC2 | 1.06 | 1 | 1.06 | 6.79 | 0.0479 | - |
| Residual | 0.7804 | 5 | 0.1561 | - | - | - |
| Lack of fit | 0.1730 | 1 | 0.1730 | 1.14 | 0.3460 | Not significant |
| Pure error | 0.6074 | 4 | 0.1519 | - | - | - |
| Total | 1191.68 | 16 | - | - | - | - |
Publisher’s Note: MDPI stays neutral with regard to jurisdictional claims in published maps and institutional affiliations. |
© 2021 by the authors. Licensee MDPI, Basel, Switzerland. This article is an open access article distributed under the terms and conditions of the Creative Commons Attribution (CC BY) license (http://creativecommons.org/licenses/by/4.0/).
Share and Cite
Wu, W.; Xue, J.; Xu, W.; Lin, H.; Tang, H.; Yao, P. Parameters Optimization of Auxiliary Gas Process for Double-Wire SS316L Stainless Steel Arc Additive Manufacturing. Metals 2021, 11, 190. https://doi.org/10.3390/met11020190
Wu W, Xue J, Xu W, Lin H, Tang H, Yao P. Parameters Optimization of Auxiliary Gas Process for Double-Wire SS316L Stainless Steel Arc Additive Manufacturing. Metals. 2021; 11(2):190. https://doi.org/10.3390/met11020190
Chicago/Turabian StyleWu, Wei, Jiaxiang Xue, Wei Xu, Hongyan Lin, Heqing Tang, and Ping Yao. 2021. "Parameters Optimization of Auxiliary Gas Process for Double-Wire SS316L Stainless Steel Arc Additive Manufacturing" Metals 11, no. 2: 190. https://doi.org/10.3390/met11020190
APA StyleWu, W., Xue, J., Xu, W., Lin, H., Tang, H., & Yao, P. (2021). Parameters Optimization of Auxiliary Gas Process for Double-Wire SS316L Stainless Steel Arc Additive Manufacturing. Metals, 11(2), 190. https://doi.org/10.3390/met11020190













