Abstract
Friction Stir Welding (FSW) is a solid-state welding process that has multiple advantages over fusion welding. The design of tools for the FSW process is a factor of interest, considering its fundamental role in obtaining sound welds. There are some commercially available alternatives for FSW tools, but unlike conventional fusion welding consumables, their use is limited to very specific conditions. In this work, equations to act as guidelines in the design process for FSW tools are proposed for the 2XXX, 5XXX, 6XXX, and 7XXX aluminum series and any given thickness to determine: pin length, pin diameter, and shoulder diameter. Over 80 sources and 200 tests were used and detailed to generate these expressions. As a verification approach, successful welds by authors outside the scope of the original review and the tools used were evaluated under this development and used as case studies or verification for the guidelines. Variations between designs made using the guidelines and those reported by other researchers remain under 21%.
1. Introduction
Friction Stir Welding (FSW) is a solid-state welding process patented in 1991 by The Welding Institute (TWI). This method is performed by utilizing a non-consumable cylindrical tool that rotates and advances in the material to be welded; this movement produces heat through friction and mixes the softened material to produce the weld [1]. Aluminum alloys are the second most used metal after steel, due to their high strength-to-weight ratio and thermal and electrical conductivities [2]. Annually, FSW applications increase due to the excellent results obtained with these alloys [3]. They are used in the railway [4], aerospace [5,6], automotive [7,8], and shipbuilding industries [9]. Table 1 shows the different types of aluminum alloys that are commercially available, along with basic conventional applications.
For FSW, the use of a tool is required, which plays an important role in the process [10] and consists of a shoulder and a pin, both playing a crucial role in the welding process. The shoulder is responsible for generating much of the heat required and the pin is responsible for transporting the plasticized material [1]. The tool contributes to the joint soundness since it directly impacts factors such as grain size, microstructure uniformity, and the way the material flows through the joint. The importance of the tool can be observed in Table 2, where the sum of the associated factors of it correspond to 75% [11].
Over the years, different tool features have been developed. Figure 1 and Figure 2 show some of the various pin and shoulder designs reported. Along with choosing particular geometries, it is also necessary to select the pin length and both diameters. Selection is based on the specific application, thicknesses and materials to be welded, to name a few variables. Due to the reasons above, the tools are typically tailor made. The criteria used to define these characteristics are based on trial and error and it can be challenging and costly to develop cost-effective tools [12].
Figure 1.
Types of shoulders.
Figure 2.
Types of pins.
Table 1.
Aluminum alloys.
Table 1.
Aluminum alloys.
| Aluminum Alloys | Alloying Element | Applications |
|---|---|---|
| 2XXX | Alloys in which copper is the principal alloying element [13], other alloys can be specified such as magnesium, silicon, manganese and iron [2] | Structural applications due to their good mechanical properties [14] |
| 5XXX | Alloys in which magnesium is the principal alloying element [13] | Automotive and electronic applications [15,16] |
| 6XXX | Magnesium and silicon are the principal aluminum alloys [2] | |
| 7XXX | Alloys in which zinc is the principal alloying element [13] | Automotive and electronic applications [15,17], aerospace industry (aircraft frame, spars and stringers) [18] |
Table 2.
Percentage of butt joints parameters.
Table 2.
Percentage of butt joints parameters.
| Parameter | Percentage |
|---|---|
| Rotational speed | 5% |
| Travel speed | 5% |
| Tilt angle | 4% |
| Pin penetration | 28% |
| Shoulder/pin diameter ratio | 14% |
| Rotational speed and pin penetration interaction | 9% |
| Rotational speed and shoulder/pin diameter ratio interaction | 8% |
| Travel speed and shoulder/pin diameter ratio interaction | 15% |
Seeking to identify patterns in tool design, authors such as Y. N. Zhang [19] have made a compilation of the different characteristics such as shoulder and pin geometries. El-Moayed et al. [20] took a sample of 30 different published articles and made a review of the geometry of the tools used to then propose equations to determine the shoulder and pin diameter.
Sevvel et al. [21] made welds with different shoulders to classify the welds; in this way, they determined that the best D/T (shoulder diameter/thickness) ratio is 3.5. Authors such as M. Mehta et al. [22] showed, by trial and error, that the most important geometrical parameter in FSW tool design is the shoulder diameter. Tozaki et al. [23] tested different pin lengths to examine the effect of that parameter on weld microstructure.
The cited research shows the importance of the development of FSW tools. This article aims to guide the selection of some of the basic dimensions of conventional tools, for different aluminum alloys and plate thicknesses based on the data collected. It should be noted that in the literature there are not many approaches to tool design; most of the cases of tool selection involve intuition and experience [22]. It should be mentioned that FSW has multiple variants, such as bobbin and hybrid [24], which make use of tools with different configurations [25]. The equations proposed do not cover these cases.
2. Definition of Guidelines by Design Parameter
Through a bibliographic compilation, including 87 authors reporting 216 welds made by FSW in aluminum series 2XXX, 5XXX, 6XXX and 7XXX, with a butt joint configuration [26,27,28,29,30,31,32,33,34,35,36,37,38,39,40,41,42,43,44,45,46,47,48,49,50,51,52,53,54,55,56,57,58,59,60,61,62,63,64,65,66,67,68,69,70,71,72,73,74,75,76,77,78,79,80,81,82,83,84,85,86,87,88,89,90,91,92,93,94,95,96,97,98,99,100,101,102,103,104,105,106,107,108,109,110], the following list presents the different variables considered:
- Aluminum series;
- Rotational speed (rpm);
- Travel speed (mm/min);
- Angle (°);
- Pin diameter (mm);
- Shoulder diameter (mm);
- Pin type;
- Pin length;
- Shoulder type;
- Weld efficiency;
- Publication year.
Using this list, graphs were made to generate guidelines and patterns that facilitate the designing process for FSW tools in order to minimize the amount of trial and error [18]. Due to the amount of data, it was decided to average each variable according to the thickness of the base material. For example, for a material thickness of 2 mm, the trial results were pin diameters of 11.5, 10.5, 10, and 12 mm, and the final value of the pin diameter considered was 11 mm.
The results reported below were analyzed using a coefficient of determination (R2), which indicates the relationship that the variables had; if R2 is equal to 1 it corresponds to a perfect fit [111]. It should be noted that, for this study, an R2 greater than 0.9 is considered acceptable and, as can be seen, all the graphs in Figure 3, Figure 4, Figure 5, Figure 6, Figure 7 and Figure 8 have admissible values.
Figure 3.
Pin diameter vs. thickness for series: (a) 2XXX; (b) 5XXX; (c) 6XXX, and (d) 7XXX.
Figure 4.
Summary of trend lines for pin diameter vs. thickness.
Figure 5.
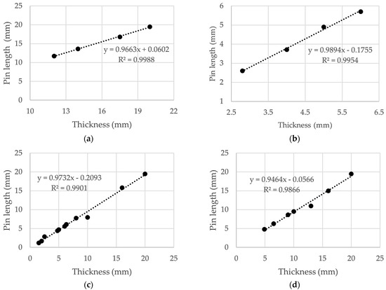
Pin length vs. thickness for series: (a) 2XXX; (b) 5XXX; (c) 6XXX; and (d) 7XXX.
Figure 6.
Summary of trend lines for pin length vs. thickness.

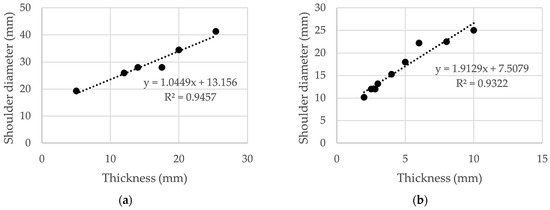
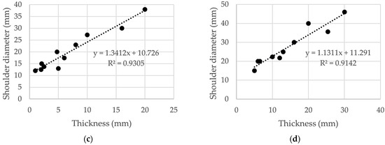
Figure 7.
Shoulder diameter vs. thickness for series: (a) 2XXX; (b) 5XXX; (c) 6XXX; and (d) 7XXX.
Figure 8.
Summary of trend lines for shoulder diameter vs. thickness.
2.1. Pin Diameter
The pin is in charge of transporting the plasticized material along the joint [112]. Figure 3a–d present the pin diameter relative to material thickness; if the trial reported used a conical pin, the trend line included the largest diameter. It should be noted that the lowest R2 was 0.93, so these graphs are considered to be within the established limits. Figure 7 shows a summary of the trend lines.
2.2. Pin Length
According to Wronska et al. [113] the pin has a key effect on the microstructural changes in the weld and thus impacts the strength of FSW joints. Pin length is usually estimated in tool design based on achieving full penetration, making plate thickness its essential variable [23]. Figure 5a–d have coefficients of determination (R2) of 0.99 or higher, which means that the results comply with the defined criteria.
Figure 6 shows a summary of the trend lines presented previously; the overlapped slopes indicate that pin length does not depend on the type of alloy, but mainly on the thickness of the material to be welded. According to these, the difference between the pin length and material thickness should be kept between 5 and 6%, regardless of the aluminum series.
2.3. Shoulder Diameter
The shoulder is in contact with the surface during welding, and its function is to keep the material in position and generate most of the heat produced during welding [21]. Figure 7a–d show, according to the series, the trend line for the shoulder diameter resulting from the literature collection performed. Figure 8 is a summary of the shoulder diameter trend lines for each series. According to the trendlines, the minimum coefficient of determination was 0.9142 and the maximum was 0.9457, which are acceptable according to the threshold set.
In summary, the equations mentioned previously are shown in Table 3.
Table 3.
Summary of equations by aluminum series and tool parameter.
3. Results
3.1. Tool Design Example
To test the expressions previously developed, a tool was designed to weld a 6XXX series aluminum, specifically, AA 6061-T6, with a 6.5 mm thickness. The tool dimensions are proposed in Table 4. It is important to clarify that the expressions proposed only account for the basic tool dimensions; other aspects such as threading, pin shape, shoulder features, among others, were defined using trends identified in the literature review. For these characteristics, no expressions were proposed in this work as they did not exceed the threshold established for the coefficient of determination.
Table 4.
Proposed dimensions for a tool using the suggested guidelines.
Using the information in Table 4, an AISI H13 tool with a removable pin was made. Figure 9a shows the proposed pin, and Figure 9b the shoulder design. A scroll, whose main advantage is that no tilt angle is required, was included as well.
Figure 9.
Tool design: (a) pin; (b) shoulder.
3.2. Validation through Experiments by Authors Outside the Initial Review
For verification purposes, comparisons were made with various tests carried out by authors outside the initial review [114,115,116,117]. The basic dimensions of FSW tools were calculated, according to the material and thickness to be welded, and compared with those used by the researchers and deemed as adequate, in some cases using the efficiency of the joints. Efficiency is defined as the strength of a welded joint with respect to the strength of the base metal [118]. Due to its material dependence, each researcher proposed their acceptable efficiency [119]. Table 5, Table 6, Table 7 and Table 8 show the comparison between the of results tool design guidelines and experimental work. The “objective” column values were obtained using the expression in the column called “equation”; thus, in each case, the x was replaced by the thickness used in the test, and the column designated with the name “real” corresponds to the dimensions used in each experimental work.
Table 5.
Comparison between tool design guidelines and experimental work by other authors for series 2XXX.
Table 6.
Comparison between tool design guidelines and experimental work by other authors for series 5XXX.
Table 7.
Comparison between tool design guidelines and experimental work by other authors for series 6XXX.
Table 8.
Comparison between tool design guidelines and experimental work by other authors for series 7XXX.
3.2.1. Serie 2XXX
The study carried out by Z. Zhang, B. L. Xiao and Z. Y. Ma, used Al 2219-T6 plates, which were 5.6 mm thick and reached an efficiency of 79%; in their work, an acceptable efficiency starts at 65% [114]. Table 5 shows the variations for shoulder diameter, pin diameter and pin length, and the highest error obtained was 5%.
3.2.2. Serie 5XXX
The paper “The effects of processing environments on the microstructure and mechanical properties of the Ti/5083Al composites produced by friction stir processing” shows different trials with 5 mm thick Al 5083 [115]. Table 6 shows the error resulting in the comparison between calculated and experimentally verified tools; the maximum was 13.82%.
3.2.3. Serie 6XXX
The purpose of the previous work titled “Implementation of Friction Stir Welding (FSW) in the Colombian rail transport sector” was to weld a piece of “Metro de Medellín” that had 6.5 mm thickness and AA 6082-T6 material [116]. It should be noticed that this comparison has the biggest error (21.44%), which is for the shoulder diameter. It is worth mentioning that the shoulder diameter selected in this application obeys a specific aspect of the geometry of the part to be welded, which limited its dimensions.
3.2.4. Serie 7XXX
The tests carried out were made with 7075-T6 aluminum and a plate thickness of 3/16 in (4.8 mm approximately) [117], with a minimum efficiency of 60%, observing the AWS D17.3 code for a 6XXX series with T6 tempering [120]. An X-ray of the weld can be seen in Figure 10, and Table 8 shows the comparison between the experiment and the basic tool design equations proposed.
Figure 10.
X-ray of an AA7075-T6 aluminum FSW weld [117].
4. Welding Experimental Validation
To validate the equations proposed previously for different aluminum alloys (Table 3), welds were performed with 3/16” thick AA 6061-T6 aluminum. The test plate dimensions are presented in Figure 11. Table 9 shows the mechanical properties of the material. Different tools were used for each of the welds, and only different pin lengths and other dimensions (shoulder and pin diameter) were preserved. According to this, Tool 1 had an 18.1 mm shoulder diameter; the pin diameter was 6.4 mm and the pin length was 4.4 mm (view Figure 12). All dimensions were calculated with the equations of Table 3. Tool 2 had a pin length of 2.2 mm and underwent a 50% reduction. A rotational speed of 650 rpm and a travel speed of 45 mm/min were the parameters used for the welds.
Figure 11.
Test plate dimensions (all units in mm).
Table 9.
Mechanical properties of Al 6061-T6 [121].
Figure 12.
Tool 1 design: (a) shoulder and (b) pin.
4.1. Non-Destructive Tests (NDT)
Non-destructive tests were employed to verify the test weld soundness as follows.
4.1.1. X-rays
Radiography tests are non-destructive and use electromagnetic radiation with wavelengths shorter than those of ultraviolet light [122]. Figure 13 shows the X-ray corresponding to the weld made with Tool 1, and it can be said that the weld has no volumetric discontinuities; therefore, it is a sound weld.
Figure 13.
Tool 1 trial—X-ray of an AA 6061-T6 aluminum FSW weld.
The X-ray results according to trial 2 are shown in Figure 14, indicating a discontinuity (box in red).
Figure 14.
Tool 2 trial—X-ray of an AA 6061-T6 aluminum FSW weld.
4.1.2. Ultrasound
According to NDT Resource Center, ultrasound tests are non-destructive and use ultrasonic waves to create an image of the inside of an object [123]. The ultrasonic test performed for Tool 2 results (view Figure 15) indicated a cavity along the weld (view Figure 16). The ultrasound obtained for a weld made using Tool 1 does not show any indication of volumetric discontinuities.
Figure 15.
Ultrasound results with indication for Tool 2 trial (EPOCH 4 ultrasound system).
Figure 16.
Cavity location for Tool 2 trial, according to ultrasound results (EPOCH 4 ultrasound system).
By considering the results of the non-destructive tests, it can be concluded that the equations developed and used for dimensioning FSW Tool 1 can be useful. No discontinuities were found in the weld made with Tool 1; on the other hand, Tool 2, which has non-corresponding dimensions and was used with the same welding parameters, presented major discontinuities that can be observed in Figure 15 and Figure 16. It is clear that there are multiple causes of potential discontinuities and failure in general for FSW, so the proposed exercise can be expanded using direct experimentation and a bibliographic review that considers additional tool variations than those used in this work.
5. Conclusions
FSW tool design requires the consideration of various factors and involves multiple features to be defined. The results from this work allow obtaining basic tool dimensions that serve as a first step in design, based on the thickness to be welded and the series of aluminum used. Other factors such as pin shape, shoulder design, and whether or not an inter-changeable pin is used are at the discretion of the designer. As mentioned previously, aspects such as these can be defined using the trends identified in the literature review. However, in this work, no expressions were proposed since the coefficient of determination found in their analyses did not exceed the threshold established. The collection of more data in the future could allow this additional progress.
Some interesting aspects to consider are that the length of the pin does not depend on the aluminum series but mainly on the thickness of the material to be welded; also, the difference between the length of the pin and the thickness should be kept between 5 and 6%. The 5XXX series requires smaller shoulder and pin diameters than the 2XXX, 6XXX and 7XXX series. Similar shoulder diameters are used for series 2XXX and 7XXX.
The verifications carried out using the successful tools reported by researchers, outside the sources initially used, considered for the design of the guidelines, have variations in dimensions between 0 and 21.44%, although this high value can be explained considering the specific space restrictions of the part being welded. Additionally, the tests carried out with the tool manufactured using the proposed guidelines generated sound welds after being evaluated using X-rays and ultrasound.
Author Contributions
Conceptualization, E.H. and M.C.S.; methodology, E.H. and M.C.S.; validation, E.H. and M.C.S.; formal analysis, E.H. and M.C.S.; investigation, M.C.S.; resources, E.H. and M.C.S.; data curation, E.H. and M.C.S.; writing—original draft preparation, E.H. and M.C.S.; writing—review and editing, E.H. and M.C.S.; supervision, E.H.; project administration, E.H.; funding acquisition, E.H. All authors have read and agreed to the published version of the manuscript.
Funding
This research project is by the Transforming Systems through Partnership (TSP) programme (TSP1094). Run by the Royal Academy of Engineering and supported by the Newton Fund.
Institutional Review Board Statement
Not applicable.
Data Availability Statement
Data is contained within the article.
Conflicts of Interest
The authors declare no conflict of interest.
References
- Agapiou, J.S.; Carlson, B.E. Friction Stir Welding for Assembly of Copper Squirrel Cage Rotors for Electric Motors. Procedia Manuf. 2020, 48, 1143–1154. [Google Scholar] [CrossRef]
- Warlimont, H.; Martienssen, W. Springer Handbook of Materials Data, 2nd ed.; Springer: Berlin/Heidelberg, Germany, 2018; ISBN 9783319697413. [Google Scholar]
- Skillingberg, M.; Green, J. Aluminum Applications in the Rail Industry. Light Metal Age 2007, 65, 8–12. [Google Scholar]
- Liu, J.; Kulak, M. A New Paradigm in the Design of Aluminum Alloys for Aerospace Applications. Mater. Sci. Forum 2000, 331–337, 127–142. [Google Scholar] [CrossRef]
- Boitsov, A.G.; Kuritsyn, D.N.; Siluyanova, M.V.; Kuritsyna, V.V. Friction Stir Welding in the Aerospace Industry. Russ. Eng. Res. 2018, 38, 19–24. [Google Scholar] [CrossRef]
- Grimm, A.; Schulze, S.; Silva, A.; Göbel, G.; Standfuss, J.; Brenner, B.; Beyer, E.; Füssel, U. Friction Stir welding of Light Metals for Industrial Applications. Mater. Today Proc. 2015, 2, S169–S178. [Google Scholar] [CrossRef]
- Tavassolimanesh, A.; Nia, A.A. A new approach for manufacturing copper-clad aluminum bimetallic tubes by friction stir welding (FSW). J. Manuf. Process. 2017, 30, 374–384. [Google Scholar] [CrossRef]
- Wahid, M.A.; Siddiquee, A.N.; Khan, Z.A. Aluminum alloys in marine construction: Characteristics, application, and problems from a fabrication viewpoint. Mar. Syst. Ocean Technol. 2019, 15, 70–80. [Google Scholar] [CrossRef]
- Akinlabi, E.T.; Mahamood, R.M. Solid-State Welding: Friction and Friction Stir Welding Processes; Springer Nature Switzerland: Cham, Switzerland, 2020; ISBN 9783030370145. [Google Scholar]
- Zhao, Y.-H.; Lin, S.-B.; Qu, F.-X.; Wu, L. Influence of pin geometry on material flow in friction stir welding process. Mater. Sci. Technol. 2006, 22, 45–50. [Google Scholar] [CrossRef]
- Silva, A.C.F.; Braga, D.F.O.; De Figueiredo, M.A.V.; Moreira, P.M.G.P. Ultimate tensile strength optimization of different FSW aluminium alloy joints. Int. J. Adv. Manuf. Technol. 2015, 79, 805–814. [Google Scholar] [CrossRef]
- Arora, A.; Mehta, M.; De, A.; DebRoy, T. Load bearing capacity of tool pin during friction stir welding. Int. J. Adv. Manuf. Technol. 2011, 61, 911–920. [Google Scholar] [CrossRef]
- Davis, J.R. ASM INTERNATIONAL Aluminum and Aluminum Alloys; ASM International: Almere, The Netherlands, 2007. [Google Scholar]
- Tariq, F.; Naz, N.; Baloch, R.A. Characterization of Material Properties of 2xxx Series Al-Alloys by Non Destructive Testing Techniques. J. Nondestruct. Eval. 2012, 31, 17–33. [Google Scholar] [CrossRef]
- Schulz, P.; Berneder, J.; Uffelmann, D.; Zelger, C.; Melzer, C. Advanced 5xxx-, 6xxx- and 7xxx- Aluminium Alloys for Applications in Automotive and Consumer Electronics. Mater. Sci. Forum 2011, 690, 451–454. [Google Scholar] [CrossRef]
- Kahrimanidis, A.; Wortberg, D.; Merklein, M. Approach to minimize the distortion of 6xxx-aluminum tailor heat treated blanks in industrial applications. Prod. Eng. 2015, 9, 569–576. [Google Scholar] [CrossRef]
- Shin, J.; Kim, T.; Kim, D.; Kim, D.; Kim, K. Castability and mechanical properties of new 7xxx aluminum alloys for automotive chassis/body applications. J. Alloys Compd. 2017, 698, 577–590. [Google Scholar] [CrossRef]
- Zhou, B.; Liu, B.; Zhang, S. The Advancement of 7XXX Series Aluminum Alloys for Aircraft Structures: A Review. Metals 2021, 11, 718. [Google Scholar] [CrossRef]
- Zhang, Y.; Cao, X.; LaRose, S.; Wanjara, P. Review of tools for friction stir welding and processing. Can. Met. Q. 2012, 51, 250–261. [Google Scholar] [CrossRef]
- El-Moayed, M.H.; Shash, A.Y.; Rabou, M.A.; El-Sherbiny, M.G. A detailed process design for conventional friction stir welding of aluminum alloys and an overview of related knowledge. Eng. Rep. 2020, 3, e12270. [Google Scholar] [CrossRef]
- Sevvel, P.; Jaiganesh, V. Effect of Tool Shoulder Diameter to Plate Thickness Ratio on Mechanical Properties and Nugget Zone Characteristics during FSW of Dissimilar Mg Alloys. Trans. Indian Inst. Met. 2015, 68, 41–46. [Google Scholar] [CrossRef]
- Mehta, M.; Arora, A.; De, A.; Debroy, T. Tool Geometry for Friction Stir Welding—Optimum Shoulder Diameter. Met. Mater. Trans. A 2011, 42, 2716–2722. [Google Scholar] [CrossRef]
- Tozaki, Y.; Uematsu, Y.; Tokaji, K. Effect of tool geometry on microstructure and static strength in friction stir spot welded aluminium alloys. Int. J. Mach. Tools Manuf. 2007, 47, 2230–2236. [Google Scholar] [CrossRef]
- Mastanaiah, P.; Sharma, A.; Reddy, G.M. Role of hybrid tool pin profile on enhancing welding speed and mechanical properties of AA2219-T6 friction stir welds. J. Mater. Process. Technol. 2018, 257, 257–269. [Google Scholar] [CrossRef]
- Mastanaiah, P.; Reddy, G.M.; Sharma, A. Evolution and current practices in friction stir welding tool design. Adv. Weld. Deform. 2021, 151–177. [Google Scholar] [CrossRef]
- Rodrigues, D.; Loureiro, A.; Leitao, C.; Leal, R.; Chaparro, B.; Vilaça, P. Influence of friction stir welding parameters on the microstructural and mechanical properties of AA 6016-T4 thin welds. Mater. Des. 2009, 30, 1913–1921. [Google Scholar] [CrossRef]
- Arora, K.S.; Pandey, S.; Schaper, M.; Kumar, R. Effect of process parameters on friction stir welding of aluminum alloy 2219-T87. Int. J. Adv. Manuf. Technol. 2010, 50, 941–952. [Google Scholar] [CrossRef]
- Kumar, R.; Singh, K.; Pandey, S. Process forces and heat input as function of process parameters in AA5083 friction stir welds. Trans. Nonferrous Met. Soc. China 2012, 22, 288–298. [Google Scholar] [CrossRef]
- Ilangovan, M.; Boopathy, S.R.; Balasubramanian, V. Effect of tool pin profile on microstructure and tensile properties of friction stir welded dissimilar AA 6061–AA 5086 aluminium alloy joints. Def. Technol. 2015, 11, 174–184. [Google Scholar] [CrossRef] [Green Version]
- Bayazid, S.; Farhangi, H.; Ghahramani, A. Investigation of Friction Stir Welding Parameters of 6063-7075 Aluminum Alloys by Taguchi Method. Procedia Mater. Sci. 2015, 11, 6–11. [Google Scholar] [CrossRef] [Green Version]
- Dehghani, K.; Ghorbani, R.; Soltanipoor, A.R. Microstructural evolution and mechanical properties during the friction stir welding of 7075-O aluminum alloy. Int. J. Adv. Manuf. Technol. 2015, 77, 1671–1679. [Google Scholar] [CrossRef]
- He, J.; Ling, Z.; Li, H. Effect of tool rotational speed on residual stress, microstructure, and tensile properties of friction stir welded 6061-T6 aluminum alloy thick plate. Int. J. Adv. Manuf. Technol. 2015, 84, 1953–1961. [Google Scholar] [CrossRef]
- Mastanaiah, P.; Sharma, A.; Reddy, G.M. Dissimilar Friction Stir Welds in AA2219-AA5083 Aluminium Alloys: Effect of Process Parameters on Material Inter-Mixing, Defect Formation, and Mechanical Properties. Trans. Indian Inst. Met. 2015, 69, 1397–1415. [Google Scholar] [CrossRef]
- Jamalian, H.M.; Farahani, M.; Givi, M.K.B.; Vafaei, M.A. Study on the effects of friction stir welding process parameters on the microstructure and mechanical properties of 5086-H34 aluminum welded joints. Int. J. Adv. Manuf. Technol. 2016, 83, 611–621. [Google Scholar] [CrossRef]
- Hasan, M.M.; Ishak, M.; Rejab, M. Influence of machine variables and tool profile on the tensile strength of dissimilar AA7075-AA6061 friction stir welds. Int. J. Adv. Manuf. Technol. 2017, 90, 2605–2615. [Google Scholar] [CrossRef] [Green Version]
- Babu, N.; Karunakaran, N.; Balasubramanian, V. A study to estimate the tensile strength of friction stir welded AA 5059 aluminium alloy joints. Int. J. Adv. Manuf. Technol. 2017, 93, 1–9. [Google Scholar] [CrossRef]
- Kalemba-Rec, I.; Kopyściański, M.; Miara, D.; Krasnowski, K. Effect of process parameters on mechanical properties of friction stir welded dissimilar 7075-T651 and 5083-H111 aluminum alloys. Int. J. Adv. Manuf. Technol. 2018, 97, 2767–2779. [Google Scholar] [CrossRef] [Green Version]
- Goel, P.; Siddiquee, A.N.; Khan, N.Z.; Hussain, M.A.; Khan, Z.A.; Abidi, M.H.; Al-Ahmari, A. Investigation on the Effect of Tool Pin Profiles on Mechanical and Microstructural Properties of Friction Stir Butt and Scarf Welded Aluminium Alloy 6063. Metals 2018, 8, 74. [Google Scholar] [CrossRef] [Green Version]
- Alfonso, J.; Alejandro, J.; Campos, F. Improved Performance of Materials; Springer: Berlin/Heidelberg, Germany, 2018; Volume 72, ISBN 978-3-319-59589-4. [Google Scholar]
- Mugada, K.K.; Adepu, K. Role of Tool Shoulder End Features on Friction Stir Weld Characteristics of 6082 Aluminum Alloy. J. Inst. Eng. India Ser. C 2019, 100, 343–350. [Google Scholar] [CrossRef]
- Nakamura, T.; Obikawa, T.; Nishizaki, I.; Enomoto, M.; Fang, Z. Friction Stir Welding of Non-Heat-Treatable High-Strength Alloy 5083-O. Metals 2018, 8, 208. [Google Scholar] [CrossRef] [Green Version]
- Sabry, I.; El-Kassas, A.M. A New Quality Monitoring System for Friction Stir Welded Joints of Aluminium Pipes. Int. J. Eng. Technol. 2019, 11, 78–87. [Google Scholar] [CrossRef] [Green Version]
- Hirata, T.; Oguri, T.; Hagino, H.; Tanaka, T.; Chung, S.W.; Takigawa, Y.; Higashi, K. Influence of friction stir welding parameters on grain size and formability in 5083 aluminum alloy. Mater. Sci. Eng. A 2007, 456, 344–349. [Google Scholar] [CrossRef]
- Charchalis, A.; Dudzik, K. Mechanical Properties of 5083, 5059 and 7020 Aluminium Alloys and Their Joints Welded by FSW. J. KONES 2013, 20, 69–73. [Google Scholar]
- Srivastava, M.; Rathee, S. A Study on the Effect of Incorporation of SiC Particles during Friction Stir Welding of Al 5059 Alloy. Silicon 2020, 13, 2209–2219. [Google Scholar] [CrossRef]
- Miles, M.P.; Nelson, T.W.; Decker, B.J. Formability and strength of friction-stir-welded aluminum sheets. Met. Mater. Trans. A 2004, 35, 3461–3468. [Google Scholar] [CrossRef]
- Chai, P.; Luan, G.; Guo, X.; Wang, S. Research on the FSW of Thick Aluminium. 2005. Available online: http://www.cfswt.com/en/En-paper/Research%20on%20the%20FSW%20of%20Thick%20Aluminium.pdf (accessed on 1 August 2021).
- Mishra, R.S.; Ma, Z.Y. Friction stir welding and processing. Mater. Sci. Eng. R: Rep. 2005, 50, 1–78. [Google Scholar] [CrossRef]
- Perrett, J.G.; Martin, J.; Threadgill, P.L.; Ahmed, M.M.Z. Recent Developments in Friction Stir Welding of Thick Section Aluminium Alloys. Available online: https://www.researchgate.net/publication/262562449_Recent_Developments_in_Friction_Stir_Welding_of_Al-Alloys1992 (accessed on 14 April 2021).
- Ahmed, M.; Wynne, B.; Rainforth, W.; Threadgill, P. Quantifying crystallographic texture in the probe-dominated region of thick-section friction-stir-welded aluminium. Scr. Mater. 2008, 59, 507–510. [Google Scholar] [CrossRef]
- Xu, W.; Liu, J.; Luan, G.; Dong, C. Temperature evolution, microstructure and mechanical properties of friction stir welded thick 2219-O aluminum alloy joints. Mater. Des. 2009, 30, 1886–1893. [Google Scholar] [CrossRef]
- Li, B.; Shen, Y.; Hu, W. The study on defects in aluminum 2219-T6 thick butt friction stir welds with the application of multiple non-destructive testing methods. Mater. Des. 2011, 32, 2073–2084. [Google Scholar] [CrossRef]
- Xu, W.; Liu, J.; Zhu, H. Analysis of residual stresses in thick aluminum friction stir welded butt joints. Mater. Des. 2011, 32, 2000–2005. [Google Scholar] [CrossRef]
- McWilliams, B.A.; Yu, J.H.; Yen, C.-F. Numerical simulation and experimental characterization of friction stir welding on thick aluminum alloy AA2139-T8 plates. Mater. Sci. Eng. A 2013, 585, 243–252. [Google Scholar] [CrossRef]
- Guo, N.; Fu, Y.; Wang, Y.; Meng, Q.; Zhu, Y. Microstructure and mechanical properties in friction stir welded 5A06 aluminum alloy thick plate. Mater. Des. 2017, 113, 273–283. [Google Scholar] [CrossRef]
- Sidhar, H.; Mishra, R.S.; Reynolds, A.P.; Baumann, J.A. Impact of thermal management on post weld heat treatment efficacy in friction stir welded 2050-T3 alloy. J. Alloys Compd. 2017, 722, 330–338. [Google Scholar] [CrossRef]
- Martinez, N.; Kumar, N.; Mishra, R.; Doherty, K. Microstructural variation due to heat gradient of a thick friction stir welded aluminum 7449 alloy. J. Alloys Compd. 2017, 713, 51–63. [Google Scholar] [CrossRef]
- Xu, W.; Wang, H.; Luo, Y.; Li, W.; Fu, M. Mechanical behavior of 7085-T7452 aluminum alloy thick plate joint produced by double-sided friction stir welding: Effect of welding parameters and strain rates. J. Manuf. Process. 2018, 35, 261–270. [Google Scholar] [CrossRef]
- Silva-Magalhães, A.; De Backer, J.; Martin, J.; Bolmsjö, G. In-situ temperature measurement in friction stir welding of thick section aluminium alloys. J. Manuf. Process. 2019, 39, 12–17. [Google Scholar] [CrossRef]
- Xu, W.; Wu, X.; Ma, J.; Lu, H.; Luo, Y. Abnormal fracture of 7085 high strength aluminum alloy thick plate joint via friction stir welding. J. Mater. Res. Technol. 2019, 8, 6029–6040. [Google Scholar] [CrossRef]
- Yang, C.; Zhang, J.F.; Ma, G.; Wu, L.; Zhang, X.; He, G.; Xue, P.; Ni, D.; Xiao, B.; Wang, K.; et al. Microstructure and mechanical properties of double-side friction stir welded 6082Al ultra-thick plates. J. Mater. Sci. Technol. 2020, 41, 105–116. [Google Scholar] [CrossRef]
- Peel, M.; Steuwer, A.; Preuss, M.; Withers, P.J. Microstructure, mechanical properties and residual stresses as a function of welding speed in aluminium AA5083 friction stir welds. Acta Mater. 2003, 51, 4791–4801. [Google Scholar] [CrossRef]
- Aval, H.J.; Serajzadeh, S.; Kokabi, A. Evolution of microstructures and mechanical properties in similar and dissimilar friction stir welding of AA5086 and AA6061. Mater. Sci. Eng. A 2011, 528, 8071–8083. [Google Scholar] [CrossRef]
- Heinz, B.; Skrotzki, B. Characterization of a friction-stir-welded aluminum alloy 6013. Met. Mater. Trans. A 2002, 33, 489–498. [Google Scholar] [CrossRef]
- Emamian, S.; Awang, M.; Hussai, P.; Meyghani, B.; Zafar, A. Influences of Tool Pin Profile on the Friction Stir Welding of AA6061. ARPN J. Eng. Appl. Sci. 2016, 11, 12258–12261. [Google Scholar]
- Khan, N.Z.; Khan, Z.A.; Siddiquee, A.N. Effect of Shoulder Diameter to Pin Diameter (D/d) Ratio on Tensile Strength of Friction Stir Welded 6063 Aluminium Alloy. Mater. Today Proc. 2015, 2, 1450–1457. [Google Scholar] [CrossRef]
- Rao, M.S.; Kumar, B.R.; Hussain, M.M. Experimental study on the effect of welding parameters and tool pin profiles on the IS:65032 aluminum alloy FSW joints. Mater. Today Proc. 2017, 4, 1394–1404. [Google Scholar] [CrossRef]
- Li, D.; Yang, X.; Cui, L.; He, F.; Zhang, X. Investigation of stationary shoulder friction stir welding of aluminum alloy 7075-T651. J. Mater. Process. Technol. 2015, 222, 391–398. [Google Scholar] [CrossRef]
- Rajakumar, S.; Muralidharan, C.; Balasubramanian, V. Influence of friction stir welding process and tool parameters on strength properties of AA7075-T6 aluminium alloy joints. Mater. Des. 2011, 32, 535–549. [Google Scholar] [CrossRef]
- Roshan, S.B.; Jooibari, M.B.; Teimouri, R.; Asgharzadeh-Ahmadi, G.; Falahati-Naghibi, M.; Sohrabpoor, H. Optimization of friction stir welding process of AA7075 aluminum alloy to achieve desirable mechanical properties using ANFIS models and simulated annealing algorithm. Int. J. Adv. Manuf. Technol. 2013, 69, 1803–1818. [Google Scholar] [CrossRef]
- Rao, T.S.; Reddy, G.M.; Rao, S.K. Microstructure and mechanical properties of friction stir welded AA7075–T651 aluminum alloy thick plates. Trans. Nonferrous Met. Soc. China 2015, 25, 1770–1778. [Google Scholar] [CrossRef]
- Shah, P.; Badheka, V. An Experimental Investigation of Temperature Distribution and Joint Properties of Al 7075 T651 Friction Stir Welded Aluminium Alloys. Procedia Technol. 2016, 23, 543–550. [Google Scholar] [CrossRef] [Green Version]
- Xu, W.; Luo, Y.; Zhang, W.; Fu, M. Comparative study on local and global mechanical properties of bobbin tool and conventional friction stir welded 7085-T7452 aluminum thick plate. J. Mater. Sci. Technol. 2018, 34, 173–184. [Google Scholar] [CrossRef]
- Kadlec, M.; Růžek, R.; Nováková, L. Mechanical behaviour of AA 7475 friction stir welds with the kissing bond defect. Int. J. Fatigue 2015, 74, 7–19. [Google Scholar] [CrossRef]
- Gupta, R.K.; Das, H.; Pal, T.K. Influence of Processing Parameters on Induced Energy, Mechanical and Corrosion Properties of FSW Butt Joint of 7475 AA. J. Mater. Eng. Perform. 2012, 21, 1645–1654. [Google Scholar] [CrossRef]
- Chen, Y.; Wang, Y.; Zhou, L.; Meng, G.; Liu, B.; Wang, J.; Shao, Y.; Jiang, J. Macro-galvanic effect and its influence on corrosion behaviors of friction stir welding joint of 7050-T76 Al alloy. Corros. Sci. 2020, 164, 108360. [Google Scholar] [CrossRef]
- Deng, C.; Wang, H.; Gong, B.; Li, X.; Lei, Z. Effects of microstructural heterogeneity on very high cycle fatigue properties of 7050-T7451 aluminum alloy friction stir butt welds. Int. J. Fatigue 2016, 83, 100–108. [Google Scholar] [CrossRef] [Green Version]
- Vale, N.; Dos Santos, J.F.; Melo, I.; Filho, O.O.A.; Filho, S.L.U. Friction Stir Welding of Aluminium Alloy Sheets. Mater. Sci. Forum 2016, 869, 441–446. [Google Scholar] [CrossRef]
- Rui-Dong, F.; Zeng-Qiang, S.; Rui-Cheng, S.; Ying, L.; Hui-Jie, L.; Lei, L. Improvement of weld temperature distribution and mechanical properties of 7050 aluminum alloy butt joints by submerged friction stir welding. Mater. Des. 2011, 32, 4825–4831. [Google Scholar] [CrossRef]
- Zhai, M.; Wu, C.; Su, H. Influence of tool tilt angle on heat transfer and material flow in friction stir welding. J. Manuf. Process. 2020, 59, 98–112. [Google Scholar] [CrossRef]
- Long, L.; Chen, G.; Zhang, S.; Liu, T.; Shi, Q. Finite-element analysis of the tool tilt angle effect on the formation of friction stir welds. J. Manuf. Process. 2017, 30, 562–569. [Google Scholar] [CrossRef]
- Mehta, K.; Badheka, V.J. Influence of tool design and process parameters on dissimilar friction stir welding of copper to AA6061-T651 joints. Int. J. Adv. Manuf. Technol. 2015, 80, 2073–2082. [Google Scholar] [CrossRef]
- Guan, M.; Wang, Y.; Huang, Y.; Liu, X.; Meng, X.; Xie, Y.; Li, J. Non-weld-thinning friction stir welding. Mater. Lett. 2019, 255. [Google Scholar] [CrossRef]
- Wan, L.; Huang, Y.; Guo, W.; Lv, S.; Feng, J. Mechanical Properties and Microstructure of 6082-T6 Aluminum Alloy Joints by Self-support Friction Stir Welding. J. Mater. Sci. Technol. 2014, 30, 1243–1250. [Google Scholar] [CrossRef]
- D’Urso, G.; Giardini, C.; Lorenzi, S.; Pastore, T. Fatigue crack growth in the welding nugget of FSW joints of a 6060 aluminum alloy. J. Mater. Process. Technol. 2014, 214, 2075–2084. [Google Scholar] [CrossRef]
- Dialami, N.; Cervera, M.; Chiumenti, M. Effect of the Tool Tilt Angle on the Heat Generation and the Material Flow in Friction Stir Welding. Metals 2019, 9, 28. [Google Scholar] [CrossRef] [Green Version]
- Khan, N. Optimization of Friction Stir Welding of AA6062-T6 Alloy. In Proceedings of the Materials Today: Proceedings; Elsevier Ltd.: Amsterdam, The Netherlands, 2018; Volume 29, pp. 448–455. [Google Scholar]
- Banik, A.; Saha, A.; Barma, J.D.; Acharya, U.; Saha, S.C. Determination of best tool geometry for friction stir welding of AA 6061-T6 using hybrid PCA-TOPSIS optimization method. Measurement 2021, 173, 108573. [Google Scholar] [CrossRef]
- Banik, A.; Roy, B.S.; Barma, J.D.; Saha, S.C. An experimental investigation of torque and force generation for varying tool tilt angles and their effects on microstructure and mechanical properties: Friction stir welding of AA 6061-T6. J. Manuf. Process. 2018, 31, 395–404. [Google Scholar] [CrossRef]
- Elatharasan, G.; Kumar, V.S. An Experimental Analysis and Optimization of Process Parameter on Friction Stir Welding of AA 6061-T6 Aluminum Alloy using RSM. Procedia Eng. 2013, 64, 1227–1234. [Google Scholar] [CrossRef] [Green Version]
- Huang, X.; Scheming, J.; Reynolds, A.P. Fsw of High Strength 7xxx Aluminum Using Four Process Variants X. In Friction Stir Welding and Processing VIII.; Springer: Cham, Switzerland, 2011; pp. 91–98. [Google Scholar]
- Sullivan, A.; Derry, C.; Robson, J.; Horsfall, I.; Prangnell, P. Microstructure simulation and ballistic behaviour of weld zones in friction stir welds in high strength aluminium 7xxx plate. Mater. Sci. Eng. A 2011, 528, 3409–3422. [Google Scholar] [CrossRef]
- James, M.; James, N. Weld tool travel speed effects on fatigue life of friction stir welds in 5083 aluminium. Int. J. Fatigue 2003, 25, 1389–1398. [Google Scholar] [CrossRef]
- Scialpi, A.; De Filippis, L.A.C.; Cavaliere, P. Influence of shoulder geometry on microstructure and mechanical properties of friction stir welded 6082 aluminium alloy. Mater. Des. 2007, 28, 1124–1129. [Google Scholar] [CrossRef]
- Adamowski, J.; Gambaro, C.; Lertora, E.; Ponte, M.; Szkodo, M. Analysis of FSW Welds Made of Aluminium Alloy AW6082-T6. Arch. Mater. Sci. Eng. 2007, 28, 453–460. [Google Scholar]
- Sato, Y.S.; Fujimoto, M.; Abe, N.; Kokawa, H. Friction Stir Spot Welding Phenomena in Al Alloy 6061. Mater. Sci. Forum 2010, 638–642, 1243–1248. [Google Scholar] [CrossRef]
- Leon, J.S.; Jayakumar, V. Investigation of Mechanical Properties of Aluminium 6061 Alloy Friction Stir Welding. Int. J. Stud. Res. Technol. Manag. 2015, 2, 140–144. [Google Scholar]
- Fujii, H.; Maeda, M.; Nogi, K. Tensile Properties and Fracture Locations of Friction-Stir Welded. Ann. Oper. Res. 2000, 97, 131–141. [Google Scholar] [CrossRef]
- Ramulu, P.J.; Narayanan, R.G.; Kailas, S.V.; Reddy, J. Internal defect and process parameter analysis during friction stir welding of Al 6061 sheets. Int. J. Adv. Manuf. Technol. 2013, 65, 1515–1528. [Google Scholar] [CrossRef]
- Suhuddin, U.; Mironov, S.; Sato, Y.; Kokawa, H. Grain structure and texture evolution during friction stir welding of thin 6016 aluminum alloy sheets. Mater. Sci. Eng. A 2010, 527, 1962–1969. [Google Scholar] [CrossRef]
- Wang, B.B.; Xue, P.; Xiao, B.L.; Wang, W.G.; Liu, Y.D.; Ma, Z.Y. Achieving equal fatigue strength to base material in a friction stir welded 5083-H19 aluminium alloy joint. Sci. Technol. Weld. Join. 2020, 25, 81–88. [Google Scholar] [CrossRef]
- Sekhar, S.R.; Chittaranjandas, V.; Govardhan, D.; Karthikeyan, R.; Ravi, S. Effect of Tool Rotational Speed on Friction Stir Spot Welded Aa5052-H38 Aluminum Alloy. 2018, Volume 5. Available online: https://www.sciencedirect.com/science/article/pii/S2214785317331231 (accessed on 15 September 2021).
- Choi, D.H.; Ahn, B.-W.; Quesnel, D.J.; Jung, S.-B. Behavior of β phase (Al3Mg2) in AA 5083 during friction stir welding. Intermetallics 2013, 35, 120–127. [Google Scholar] [CrossRef]
- Chen, Z.; Pasang, T.; Qi, Y. Shear flow and formation of Nugget zone during friction stir welding of aluminium alloy 5083-O. Mater. Sci. Eng. A 2008, 474, 312–316. [Google Scholar] [CrossRef]
- Bisadi, H.; Tour, M.; Tavakoli, A. The Influence of Process Parameters on Microstructure and Mechanical Properties of Friction Stir Welded Al 5083 alloy Lap joint. Am. J. Mater. Sci. 2012, 1, 93–97. [Google Scholar] [CrossRef] [Green Version]
- Behnagh, R.A.; Givi, M.K.B.; Akbari, M. Mechanical Properties, Corrosion Resistance, and Microstructural Changes during Friction Stir Processing of 5083 Aluminum Rolled Plates. Mater. Manuf. Process. 2012, 27, 636–640. [Google Scholar] [CrossRef]
- Yazdipour, A.R.; Shafiei, A.; Aval, H.J. An investigation of the microstructures and properties of metal inert gas and friction stir welds in aluminum alloy 5083. Sadhana 2011, 36, 505–514. [Google Scholar] [CrossRef] [Green Version]
- Krasnowski, K.; Sędek, P.; Łomozik, M.; Pietras, A. Impact of Selected FSW Process Parameters on Mechanical Properties of 6082-T6 Aluminium Alloy Butt Joints. Arch. Met. Mater. 2011, 56, 965–973. [Google Scholar] [CrossRef]
- Maneiah, D.; Rao, K.P.; Raju, K.B. Experimental Investigation on Strength of Friction Stir Welded Al 6061-T6 Alloy Joints with Varying Oblique Angle. Recent Trends Mech. Eng. 2020, 205–215. [Google Scholar] [CrossRef]
- Li, X.; Wang, X.; Liang, Z.; Wang, D. Influence of FSW Repairing Process on the Microstructures and Mechanical Properties of Friction Stir-Welded 6082Al Alloy. J. Mater. Eng. Perform. 2019, 28, 5299–5306. [Google Scholar] [CrossRef]
- Menard, S. Coefficients of Determination for Multiple Logistic Regression Analysis. Am. Stat. 2000, 54, 17–24. [Google Scholar] [CrossRef]
- Mugada, K.K.; Adepu, K. Role of Scroll Shoulder and Pin Designs on Axial Force, Material Flow and Mechanical Properties of Friction Stir Welded Al–Mg–Si Alloy. Met. Mater. Int. 2020, 27, 2809–2820. [Google Scholar] [CrossRef]
- Wronska, A.; Andres, J.; Altamer, T.; Dudek, A.; Ulewicz, R. Effect of Tool Pin Length on Microstructure and Mechanical Strength of the FSW Joints of Al 7075 Metal Sheets. Commun. Sci. Lett. Univ. Zilina 2019, 21, 40–47. [Google Scholar] [CrossRef]
- Zhang, Z.; Xiao, B.L.; Ma, Z.Y. Effect of welding parameters on microstructure and mechanical properties of friction stir welded 2219Al-T6 joints. J. Mater. Sci. 2012, 47, 4075–4086. [Google Scholar] [CrossRef]
- Huang, G.; Shen, Y. The effects of processing environments on the microstructure and mechanical properties of the Ti/5083Al composites produced by friction stir processing. J. Manuf. Process. 2017, 30, 361–373. [Google Scholar] [CrossRef]
- Hoyos, E.; Escobar, S.; de Backer, J.; Martin, J.; Palacio, M. Case Study: Implementation of FSW in the Colombian Rail Transport Sector; Springer International Publishing: Cham, Switzerland, 2021; ISBN 9783030652654. [Google Scholar]
- Santiago Escobar; Juan Esteban Guzmán Desarrollo de Mapa de Procesos Para Friction Stir Welding (Fsw) de la Aleación Comercial de Aluminio AA7075—T6. Available online: https://repository.eia.edu.co/bitstream/handle/11190/2267/EscobarMu%c3%b1oz_2017_DesarrolloMapaProcesos.pdf?sequence=1&isAllowed=y (accessed on 25 October 2021).
- ASME. Pressure Vessels; The American Society of Mechanical Engineers: New York, NY, USA, 2007. [Google Scholar]
- Vijendra, B.; Sharma, A. Induction Heated Tool Assisted Friction-Stir Welding (i-FSW): A Novel Hybrid Process for Joining of Thermoplastics. J. Manuf. Process. 2015, 20, 234–244. [Google Scholar] [CrossRef]
- American Welding Society AWS D17.3/D17. Available online: https://pubs.aws.org/p/2046/d173d1732021-specification-for-friction-stir-welding-of-aluminum-alloys-for-aerospace-applications (accessed on 9 December 2021). ISBN 9783030652654.
- Matweb Aluminum 6061-T6. Available online: http://www.matweb.com/search/DataSheet.aspx?MatGUID=3a2e111b27ef4e5d813bad6044b3f318 (accessed on 24 November 2021).
- Iowa State University Nondestructive Evaluation Glossary: X-rays. Available online: https://www.nde-ed.org/Glossary/letter/x.xhtml (accessed on 25 October 2021).
- Iowa State University Nondestructive Evaluation Glossary: Ultrasound. Available online: https://www.nde-ed.org/Glossary/letter/u.xhtml (accessed on 25 October 2021).
Publisher’s Note: MDPI stays neutral with regard to jurisdictional claims in published maps and institutional affiliations. |
© 2021 by the authors. Licensee MDPI, Basel, Switzerland. This article is an open access article distributed under the terms and conditions of the Creative Commons Attribution (CC BY) license (https://creativecommons.org/licenses/by/4.0/).