Monitoring and Analysis of Dynamic Response for Open-Pit Mine with Inside Inclined Shafts under Train Loading
Abstract
:1. Introduction
2. Materials and Methods
2.1. Project Overview
2.2. Field Monitoring
2.3. Numerical Simulation
2.3.1. Calculation Model and Parameters
2.3.2. Application of the Train Load
2.3.3. Distribution of Inclined Shaft Survey Points
3. Results and Discussion
3.1. Monitoring Result
3.2. Model Correctness Verification
3.3. Numerical Calculation Results and Analysis
3.3.1. Slope Stability Analysis
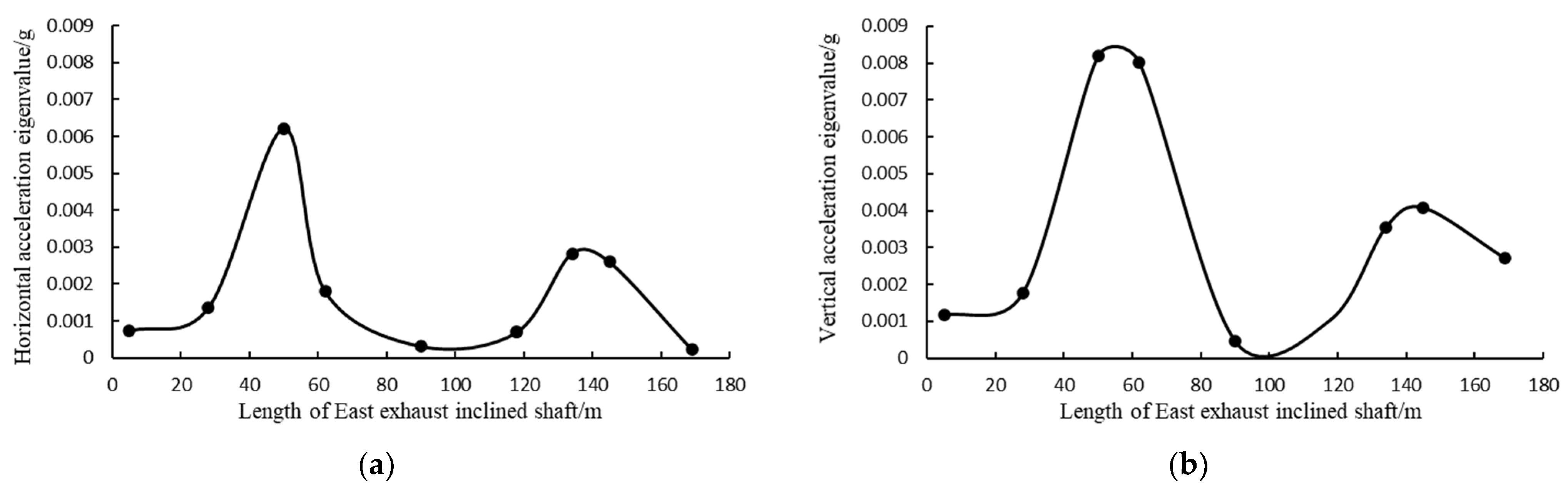
3.3.2. Dynamic Response of East Exhaust Inclined Shaft
3.3.3. Dynamic Response of East Injection Inclined Shaft
4. Conclusions
- The vibration response caused by the full-load trains is significantly greater than the no-load trains. The attenuation speed of the vibration caused by the no-load trains is significantly slower than the full-load trains, which shows that the train load and speed have an impact on the vibration response. Both the horizontal and vertical acceleration eigenvalues decay significantly with the distance of the measuring point;
- Under the action of dynamic load, the maximum displacement of the slope appears in the gravel soil layer, 5 mm, and directly below the train track. The side slope and each soil layer are less than 1 mm soil. The safety factor of the slope under the action of the dynamic load is 1.201.
- The offset of east exhaust and east sand injection inclined shaft caused by train dynamic load is less than 0.1 mm and is far from the dynamic load, and the displacement caused by vibration is negligible;
- The acceleration response law of east exhaust inclined shaft and east sand injection inclined shaft is consistent. Both the horizontal and vertical acceleration reached the maximum at the epidote weak layer, and the acceleration increased significantly directly below the load. The maximum horizontal acceleration of the east exhaust inclined shaft is 6.21 × 10−3 g, with a vertical acceleration of 8.19 × 10−3 g; the horizontal acceleration of the east injection inclined shaft is 6.98 × 10−3 g, with a vertical acceleration of 4.85 × 10−3 g. Overall, the inclined shaft acceleration response caused by the train vibration is small. Therefore, this test has a certain guiding significance for the selection of the through speed and load of trains on open-pit mines with inclined shafts and also provides some reference for the stability of the slopes of open-pit mines under the action of train loads.
Author Contributions
Funding
Data Availability Statement
Acknowledgments
Conflicts of Interest
References
- Valero, A.; Valero, A. Physical geonomics: Combining the exergy and Hubbert peak analysis for predicting mineral resources depletion. Resour. Conserv. Recycl. 2010, 54, 1074–1083. [Google Scholar] [CrossRef]
- Haque, N.; Hughes, A.; Lim, S.; Vernon, C. Rare earth elements: Overview of mining, mineralogy, uses, sustainability and environmental impact. Resources 2014, 3, 614–635. [Google Scholar] [CrossRef] [Green Version]
- Cheskidov, V.I.; Norri, V.K. Stripping with direct dumping in Kuzbass open pit mines: The current state and prospects. J. Min. Sci. 2016, 52, 725–731. [Google Scholar] [CrossRef]
- Cheskidov, V.I.; Bobyl’sky, A.S. Technology and Ecology of Dumping at Open Pit Mines in Kuzbass. J. Min. Sci. 2017, 53, 882–889. [Google Scholar] [CrossRef]
- Zaitseva, A.A.; Cheskidov, V.I.; Zaitsev, G.D. Effect of the mining sequence on the internal dump capacity in an open pit. J. Min. Sci. 2007, 47, 317–323. [Google Scholar] [CrossRef]
- Meng, X.T.; Yu, S.Z.; Li, Z.F.; Wen, H.X. The slope monitoring method research. Appl. Mech. Mater. 2014, 501–504, 834–838. [Google Scholar] [CrossRef]
- Selyukov, A.V. Technological significance of internal dumping in open pit coal mining in the Kemerovo Region. J. Min. Sci. 2015, 51, 879–887. [Google Scholar] [CrossRef]
- Bakhaeva, S.P.; Gogolin, V.A.; Ermakova, I.A. Calculating stability of overburden dumps on weak bases. J. Min. Sci. 2016, 52, 454–460. [Google Scholar] [CrossRef]
- Wajs, J. First experience with Remote Sensing methods and selected sensors in the monitoring of mining areas—A case study of the Belchatow open cast mine. E3S Web Conf. 2018, 29, 23. [Google Scholar] [CrossRef] [Green Version]
- Selyukov, A.; Gerasimov, A.; Grishin, V. The Results of Mining and Geometric Analysis in Open Pit Mining of Promising Kuzbass Coal Deposits with Block System. E3S Web Conf. 2020, 174, 1020. [Google Scholar] [CrossRef]
- Cao, C.; Feng, J.; Tao, Z. Start-up mechanism and dynamic process of landslides in the full highwaste dump. Water 2020, 12, 2543. [Google Scholar] [CrossRef]
- Ye, H.; Wu, K.; Wang, J. Stability analysis about slope of Open pit Mine based on fuzzy synthetic evaluation. Adv. Mater. Res. 2012, 396–398, 2370–2374. [Google Scholar] [CrossRef]
- Zhu, M.; Ma, C.; Tang, R.; Zhang, R.; Li, T.; Wang, Y.; Liu, J. Slope stability analysis of open pit mine based on finite difference method. In Proceedings of the 2nd International Conference on Information and Computing Science, Manchester, UK, 21–22 May 2009; pp. 208–211. [Google Scholar] [CrossRef]
- Sun, S.; Yang, H.; Li, C.; Zhang, B.; Miao, A.; Wang, M. The study on key issues of slope instability during turning open-pit into underground mining. Adv. Mater. Res. 2012, 594–597, 70–75. [Google Scholar] [CrossRef]
- Azhari, A.; Ozbay, U. Investigating the effect of earthquakes on open pit mine slopes. Int. J. Rock Mech. Min. Sci. 2017, 100, 218–228. [Google Scholar] [CrossRef]
- Plotnikov, E.; Kolesnikov, V.; Šimková, Z.; Demirel, N. Features of new sites designing on quarry fields of the existing open pit mines of Kuzbass. E3S Web Conf. 2020, 174, 1003. [Google Scholar] [CrossRef]
- Nunoo, S. Lessons Learnt from Open Pit Wall Instabilities: Case Studies of BC Open Pit Hard Rock Mines. J. Min. Sci. 2018, 54, 804–812. [Google Scholar] [CrossRef]
- Petrović, B.; Vujić, S.; Čebašek, V.; Gajić, G.; Ignjatović, D. Predictive analysis of slope stability of internal dumps in Tamnava–West field mine after flooding. J. Min. Sci. 2016, 52, 110–114. [Google Scholar] [CrossRef]
- Vyazmensky, A.; Stead, D.; Elmo, D.; Moss, A. Numerical analysis of block caving-induced instability in large open pit slopes: A finite element/discrete element approach. Rock Mech. Rock Eng. 2010, 43, 21–39. [Google Scholar] [CrossRef]
- Segalini, A.; Giani, G.P. Numerical model for the analysis of the evolution mechanisms of the Grossgufer rock slide. Rock Mech. Rock Eng. 2004, 37, 151–168. [Google Scholar] [CrossRef]
- Qian, Z.-W.; Jiang, Z.-Q.; Guan, Y.-Z.; Yue, N. Mechanism and Remediation of Water and Sand Inrush Induced in an Inclined Shaft by Large-Tonnage Vehicles. Mine Water Environ. 2018, 37, 849–855. [Google Scholar] [CrossRef]
- Yan, Q.; Li, B.; Zhang, Y.; He, C. In situ automatic monitoring and working state assessment of inclined shafts in coal mines. Proc. Inst. Civ. Eng. Geotech. Eng. 2021, 174, 390–405. [Google Scholar] [CrossRef]
- Voloshin, V.A.; Rib, S.V.; Petrova, O.A.; Belyaev, A.V. The choice of the site for inclined shaft and parameters of its stage-by-stage construction in the conditions of the Tersinsky coal region. IOP Conf. Ser. Earth Environ. Sci. 2018, 206, 012009. [Google Scholar] [CrossRef]
- Zevgolis, I.E. Geotechnical characterization of mining rock waste dumps in central Evia, Greece. Environ. Earth Sci. 2018, 77, 566. [Google Scholar] [CrossRef]
- Liu, C.; Gao, Y. Numerical simulation of slope stability analysis of open pit coal mine based on MIDAS/GTS. Appl. Mech. Mater. 2013, 256–259, 193–197. [Google Scholar] [CrossRef]
- Huang, J.; Duan, T.; Lei, Y.; Hasanipanah, M. Finite Element Modeling for the Antivibration Pavement Used to Improve the Slope Stability of the Open-Pit Mine. Shock Vib. 2020, 2020, 6650780. [Google Scholar] [CrossRef]
- Nie, L.; Li, Z.; Zhang, M.; Xu, L. Deformation characteristics and mechanism of the landslide in West Open-Pit Mine, Fushun, China. Arab. J. Geosci. 2015, 8, 4457–4468. [Google Scholar] [CrossRef]
- Sakantsev, G.G.; Cheskidov, V.I.; Zyryanov, I.V.; Akishev, A.N. Validation of Slopes of Access Roads in Deep Open Pit Mining. J. Min. Sci. 2018, 54, 77–84. [Google Scholar] [CrossRef]
- Abdellah, W.R.; Hussein, M.Y.; Imbabi, S.S. Rock slope stability analysis using shear strength reduction technique (SSRT)—Case histories. Min. Miner. Depos. 2020, 14, 16–24. [Google Scholar] [CrossRef]
- Abdellah, W.; Beblawy, M.; Mohamed, M. Evaluation of open pit slope stability using various slope angles and element types. Min. Miner. Depos. 2018, 12, 47–57. [Google Scholar] [CrossRef]
- Zairov, S.; Ravshanova, M.; Karimov, S. Intensification of technological processes in drilling and blasting operations during open-cut mining in Kyzylkum region. Min. Miner. Depos. 2018, 12, 54–60. [Google Scholar] [CrossRef] [Green Version]




















| Category | Φ (°) | |||||
|---|---|---|---|---|---|---|
| Mixed fill | 19 | 22 | 0.3 | 8 | 26 | |
| Gravelly soil | 20 | 23 | 0.2 | 10 | 23 | |
| Sandstone | 29 | 30 | 0.2 | 38 | 38 | |
| Epidote | 20 | 22 | 0.3 | 12 | 7 |
| Point | ||
|---|---|---|
| 1 | ||
| 2 | ||
| 3 | ||
| 4 | ||
| 5 | ||
| 6 | ||
| 7 | ||
| 8 | ||
| 9 |
| Point | ||
|---|---|---|
| 1 | ||
| 2 | ||
| 3 | ||
| 4 | ||
| 5 | ||
| 6 | ||
| 7 | ||
| 8 | ||
| 9 |
Publisher’s Note: MDPI stays neutral with regard to jurisdictional claims in published maps and institutional affiliations. |
© 2021 by the authors. Licensee MDPI, Basel, Switzerland. This article is an open access article distributed under the terms and conditions of the Creative Commons Attribution (CC BY) license (https://creativecommons.org/licenses/by/4.0/).
Share and Cite
Wang, Y.; Ni, S.-T.; Yang, F.-W.; Wang, Z.-X.; Zhang, H.; Ma, K.; Li, X.-J. Monitoring and Analysis of Dynamic Response for Open-Pit Mine with Inside Inclined Shafts under Train Loading. Metals 2021, 11, 1681. https://doi.org/10.3390/met11111681
Wang Y, Ni S-T, Yang F-W, Wang Z-X, Zhang H, Ma K, Li X-J. Monitoring and Analysis of Dynamic Response for Open-Pit Mine with Inside Inclined Shafts under Train Loading. Metals. 2021; 11(11):1681. https://doi.org/10.3390/met11111681
Chicago/Turabian StyleWang, Yong, Song-Tao Ni, Fa-Wu Yang, Zhong-Xin Wang, Hong Zhang, Ke Ma, and Xiao-Jun Li. 2021. "Monitoring and Analysis of Dynamic Response for Open-Pit Mine with Inside Inclined Shafts under Train Loading" Metals 11, no. 11: 1681. https://doi.org/10.3390/met11111681
APA StyleWang, Y., Ni, S.-T., Yang, F.-W., Wang, Z.-X., Zhang, H., Ma, K., & Li, X.-J. (2021). Monitoring and Analysis of Dynamic Response for Open-Pit Mine with Inside Inclined Shafts under Train Loading. Metals, 11(11), 1681. https://doi.org/10.3390/met11111681
