Hot Deformation Behaviour of Mn–Cr–Mo Low-Alloy Steel in Various Phase Regions
Abstract
1. Introduction
2. Experimental Material and Procedures
3. Results
3.1. Phase Regions
3.2. Initial Microstructures after Heating
3.3. Hot Flow Curves
4. Mathematical Processing of Experimental Data and Discussion
4.1. Hot Deformation Activation Energy
- for a temperature range of 770–1280 °C (Q = 364 kJ·mol−1):
 
- for a temperature range of 650–770 °C (Q = 648 kJ·mol−1):
 
4.2. Peak Stress
4.3. Peak Strain
4.4. Austenite Grains after Dynamic Recrystallization
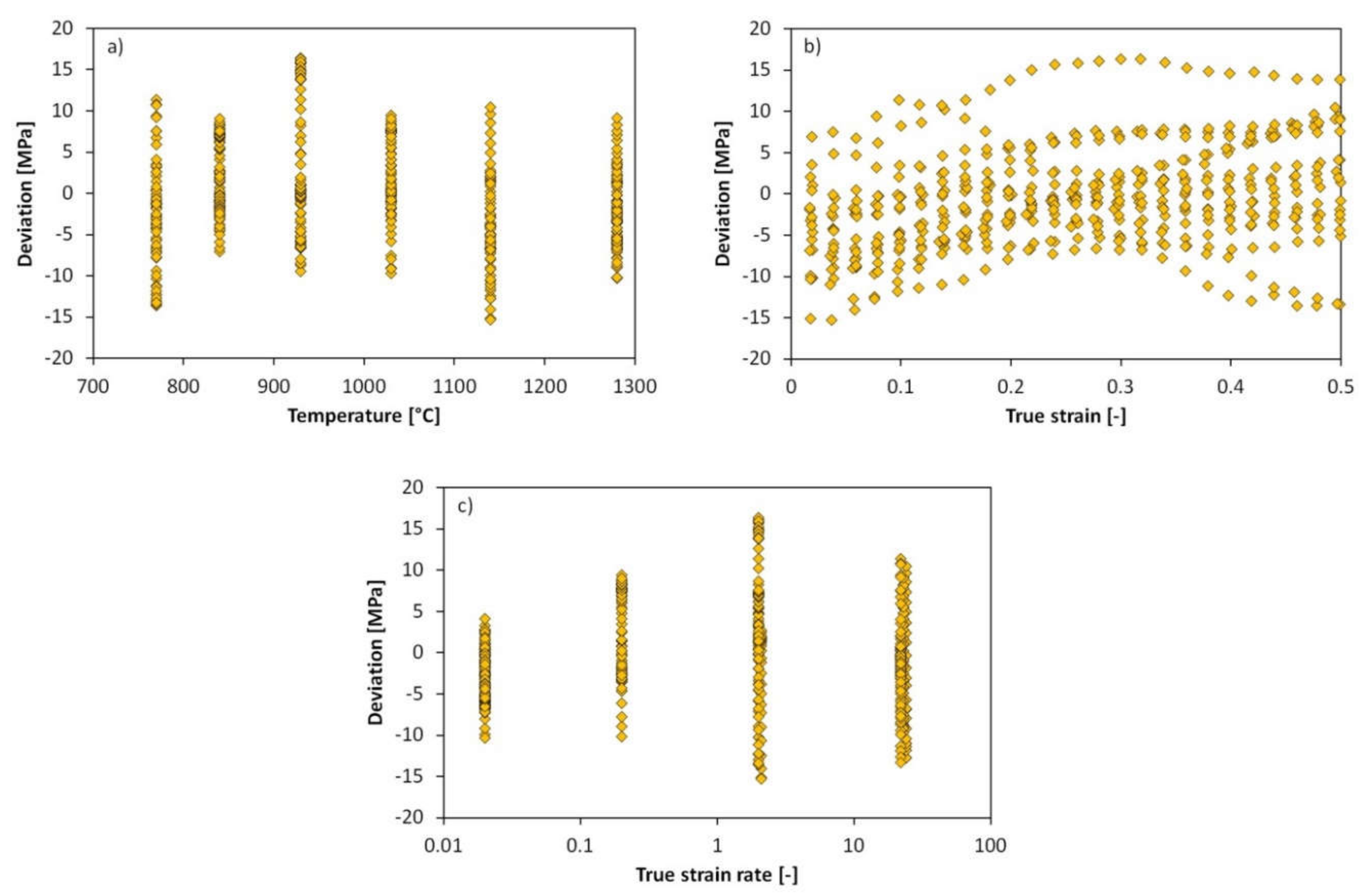
4.5. Hot Flow Stress Model
5. Conclusions
Author Contributions
Funding
Acknowledgments
Conflicts of Interest
References
- Yan, T.; Yu, E.L.; Zhao, Y.Q. Constitutive modeling for flow stress of 55SiMnMo bainite steel at hot working conditions. Mater. Des. 2013, 50, 574–580. [Google Scholar] [CrossRef]
 - Li, L.X.; Ye, B.; Liu, S.; Hu, S.D.; Liao, H.Q. A Unified Constitutive Equation of a Bainite Steel During Hot Deformation. J. Mater. Eng. Perform. 2016, 25, 4581–4586. [Google Scholar] [CrossRef]
 - Chen, G.H.; Xu, G.; Hu, H.J.; Yuan, Q.; Zhang, Q.X. Effect of Strain Rate on Deformation Resistance during Ausforming in Fe–C–Mn–Si High-Strength Bainite Steels. Steel Res. Int. 2018, 89, 1800201. [Google Scholar] [CrossRef]
 - Tang, C.J.; Shang, C.J.; Liu, S.L.; Guan, H.L.; Misra, R.D.K.; Chen, Y.B. Effect of volume fraction of bainite on strain hardening behavior and deformation mechanism of F/B multi-phase steel. Mater. Sci. Eng. A 2018, 731, 173–183. [Google Scholar] [CrossRef]
 - Samuel, F.H. Tensile stress-strain analysis of dual-phase structures in an MnCrSi steel. Mater. Sci. Eng. 1987, 92, L1–L4. [Google Scholar] [CrossRef]
 - Schindler, I.; Kawulok, R.; Kulveitová, H.; Kratochvíl, P.; Šíma, V.; Knapiński, M. Activation Energy in Hot Forming of Selected Fe-40at.%Al Type Intermetallic Compounds. Acta Phys. Pol. A. 2012, 122, 610–613. [Google Scholar] [CrossRef]
 - Kawulok, P.; Schindler, I.; Kawulok, R.; Opěla, P.; Sedláček, R. Influence of heating parameters on flow stress curves of low-alloy Mn-Ti-B steel. Arch. Metall. Mater. 2018, 63, 1785–1792. [Google Scholar] [CrossRef]
 - Mirzadeh, H.; Najafizadeh, A. Flow stress prediction at hot working conditions. Mater. Sci. Eng. A 2010, 527, 1160–1164. [Google Scholar] [CrossRef]
 - Shafaat, M.A.; Omidvar, H.; Fallah, B. Prediction of hot compression flow curves of Ti–6Al–4V alloy in α + β phase region. Mater. Des. 2011, 32, 4689–4695. [Google Scholar] [CrossRef]
 - Li, H.Y.; Wei, D.D.; Hu, J.D.; Li, Y.H.; Chen, S.L. Constitutive modeling for hot deformation behavior of T24 ferritic steel. Comput. Mater. Sci. 2012, 53, 425–430. [Google Scholar] [CrossRef]
 - Changizian, P.; Zarei-Hanzaki, A.; Roostaei, A.A. The high temperature flow behavior modeling of AZ81 magnesium alloy considering strain effects. Mater. Des. 2012, 39, 384–389. [Google Scholar] [CrossRef]
 - Schindler, I.; Kawulok, P.; Očenášek, V.; Opěla, P.; Kawulok, R.; Rusz, S. Flow Stress and Hot Deformation Activation Energy of 6082 Aluminium Alloy Influenced by Initial Structural State. Metals 2019, 19, 1248. [Google Scholar] [CrossRef]
 - Li, K.; Pan, Q.; Li, R.; Liu, S.; Huang, Z.; He, X. Constitutive Modeling of the Hot Deformation Behavior in 6082 Aluminum Alloy. J. Mater. Eng. Perform. 2019, 28, 981–994. [Google Scholar] [CrossRef]
 - Zu, G.; Lu, Y.; Yan, Y.; Zhang, X.; Zhao, J.; Du, W.; Ran, X.; Jiang, Z. Effect of Temperature and Strain Rate on the Hot Deformation Behaviour of Ferritic Stainless Steel. Met. Mater. Int. 2020, 26, 248–259. [Google Scholar] [CrossRef]
 - Mozumder, Y.H.; Babu, K.A.; Saha, R.; Mandal, S. Flow characteristics and hot workability studies of a Ni-containing Fe-Mn-Al-C lightweight duplex steel. Mater. Charact. 2018, 146, 1–14. [Google Scholar] [CrossRef]
 - Cingara, A.; McQueen, H.J. New Formula for Calculating Flow Curves from High Temperature Constitutive Data for 300 Austenitic Steels. J. Mater. Process. Technol. 1992, 36, 31–42. [Google Scholar] [CrossRef]
 - Solhjoo, S. Analysis of Flow Stress up to the Peak at Hot Deformation. Mater. Des. 2009, 30, 3036–3040. [Google Scholar] [CrossRef]
 - Solhjoo, S. Determination of Flow Stress under Hot Deformation Conditions. Mater. Sci. Eng. A 2012, 552, 566–568. [Google Scholar] [CrossRef]
 - Solhjoo, S. Determination of Flow Stress and the Critical Strain for the Onset of Dynamic Recrystallization Using a Hyperbolic Tangent Function. Mater. Des. 2014, 54, 390–393. [Google Scholar] [CrossRef]
 - Solhjoo, S.; Vakis, A.I.; Pei, Y.T. Two Phenomenological Models to Predict the Single Peak Flow Stress Curves up to the Peak during Hot Deformation. Mech. Mater. 2017, 105, 61–66. [Google Scholar] [CrossRef]
 - Ebrahimi, R.; Zahiri, S.H.; Najafizadeh, A. Mathematical Modelling of the Stress–Strain Curves of Ti-IF Steel at High Temperature. J. Mater. Process. Technol. 2006, 171, 301–305. [Google Scholar] [CrossRef]
 - Momeni, A.; Dehghani, K.; Ebrahimi, G.R.; Keshmiri, H. Modeling the Flow Curve Characteristics of 410 Martensitic Stainless Steel under Hot Working Condition. Metall. Mater. Trans. A 2010, 41, 2898–2904. [Google Scholar] [CrossRef]
 - Lin, Y.C.; Chen, M.-S.; Zhong, J. Constitutive Modeling for Elevated Temperature Flow Behavior of 42CrMo Steel. Comput. Mater. Sci. 2008, 42, 470–477. [Google Scholar] [CrossRef]
 - Mohamadizadeh, A.; Zarei-Hanzaki, A.; Abedi, H.R. Modified Constitutive Analysis and Activation Energy Evolution of a Low-Density Steel Considering the Effects of Deformation Parameters. Mech. Mater. 2016, 95, 60–70. [Google Scholar] [CrossRef]
 - Johnson, G.R.; Cook, W.H. A Constitutive Model and Data for Metals Subjected to Large Strains, High Strain Rates and High Temperatures. In Proceedings of the 7th International Symposium on Ballistics, The Hague, The Netherlands, 19–21 April 1983; American Defense Preparedness Association: Arlington, VA, USA, 1983; pp. 541–547. Available online: https://pdfs.semanticscholar.org/40b2/4ee656f8f82a1927338117cd1999c96517a7.pdf (accessed on 18 August 2020).
 - Zener, C.; Hollomon, J.H. Effect of Strain Rate upon Plastic Flow of Steel. J. Appl. Phys. 1944, 15, 22–32. [Google Scholar] [CrossRef]
 - Solhjoo, S. Determination of Critical Strain for Initiation of Dynamic Recrystallization. Mater. Des. 2010, 31, 1360–1364. [Google Scholar] [CrossRef]
 - Mirzadeh, H.; Najafizadeh, A. Extrapolation of Flow Curves at Hot Working Conditions. Mater. Sci. Eng. A 2010, 527, 1856–1860. [Google Scholar] [CrossRef]
 - Fereshteh-Saniee, F.; Barati, F.; Badnava, H.; Nejad, K.F. An Exponential Material Model for Prediction of the Flow Curves of Several AZ Series Magnesium Alloys in Tension and Compression. Mater. Des. 2012, 35, 1–11. [Google Scholar] [CrossRef]
 - Saadatkia, S.; Mirzadeh, H.; Cabrera, J.M. Hot deformation behavior, dynamic recrystallization, and physically-based constitutive modeling of plain carbon steels. Mater. Sci. Eng. A 2015, 636, 196–202. [Google Scholar] [CrossRef]
 - Sun, X.Y.; Zhang, M.; Wang, Y.; Sun, Y.Y.; Wang, Y.H. Kinetics and Numerical Simulation of Dynamic Recrystallization Behavior of Medium Mn Steel in Hot Working. Steel Res. Int. 2020, 91, 1900675. [Google Scholar] [CrossRef]
 - Ghosh, S.; Somani, M.C.; Setman, D.; Mula, S. Hot Deformation Characteristic and Strain Dependent Constitutive Flow Stress Modelling of Ti plus Nb Stabilized Interstitial Free Steel. Met. Mater. Int. 2020. [Google Scholar] [CrossRef]
 - Sellars, C.M.; Tegart, W.J.M. Hot Workability. Int. Metall. Rev. 1972, 17, 1–24. [Google Scholar] [CrossRef]
 - McQueen, H.J.; Yue, S.; Ryan, N.D.; Fry, E. Hot working characteristics of steels in austenitic state. J. Mater. Process. Technol. 1995, 53, 293–310. [Google Scholar] [CrossRef]
 - Schindler, I.; Kawulok, P.; Kawulok, R.; Hadasik, E.; Kuc, D. Influence of Calculation Method on Value of Activation Energy in Hot Forming. High Temp. Mater. Process. 2013, 32, 149–155. [Google Scholar] [CrossRef]
 - Zheng, S.; Yuan, X.; Gong, X.; Le, T.; Ravindra, A.V. Hot Deformation Behavior and Microstructural Evolution of an Fe-Cr-W-Mo-V-C Steel. Metall. Mater. Trans. A 2019, 50, 2342–2355. [Google Scholar] [CrossRef]
 - Zhou, N.B.; Zhao, F.; Wu, M.; Jiang, B.; Zhang, C.L.; Liu, Y.Z. Hot workability of V-Ti microalloyed steel for forging. Metall. Res. Technol. 2019, 116, 216. [Google Scholar] [CrossRef]
 - Liu, D.G.; Ding, H.; Hu, X.; Han, D.; Cai, M.H. Dynamic recrystallization and precipitation behaviors during hot deformation of a κ-carbide-bearing multiphase Fe–11Mn–10Al–0.9C lightweight steel. Mater. Sci. Eng. A 2020, 772, 138682. [Google Scholar] [CrossRef]
 - Hu, Z.Q.; Wang, K.K. Evolution of Dynamic Recrystallization in 5CrNiMoV Steel during Hot Forming. Adv. Mater. Sci. Eng. 2020, 2020, 4732683. [Google Scholar] [CrossRef]
 - Liu, B.; Liu, Y.; Zhang, W.; Huang, J.S. Hot deformation behavior of TiAl alloys prepared by blended elemental powders. Intermetallics 2011, 19, 154–159. [Google Scholar] [CrossRef]
 - Rao, K.P.; Prasad, Y.V.R.K.; Suresh, K. Hot working behavior and processing map of a γ-TiAl alloy synthesized by powder metallurgy. Mater. Des. 2011, 32, 4874–4881. [Google Scholar] [CrossRef]
 - Jiang, H.T.; Zeng, S.W.; Zhao, A.M.; Ding, X.N.; Dong, P. Hot deformation behavior of β phase containing γ-TiAl alloy. Mater. Sci. Eng. A 2016, 661, 160–167. [Google Scholar] [CrossRef]
 - Singh, V.; Mondal, C.; Kumar, A.; Bhattacharjee, P.P.; Ghosal, P. High temperature compressive flow behavior and associated microstructural development in a β-stabilized high Nb-containing γ-TiAl based alloy. J. Alloys Compd. 2019, 788, 573–585. [Google Scholar] [CrossRef]
 - Banerjee, S.; Robi, P.S.; Srinivasan, A. Prediction of hot deformation behavior of Al–5.9%Cu–0.5%Mg alloys with trace additions of Sn. J. Mater. Sci. 2012, 47, 929–948. [Google Scholar] [CrossRef]
 - Zhang, X.; Ma, F.; Zhang, W.; Li, X. Kinetics of Dynamic Recrystallization in AA2024 Aluminum Alloy. Mod. Appl. Sci. 2014, 8, 47–52. [Google Scholar] [CrossRef]
 - Sang, D.L.; Fu, R.D.; Li, Y.J. The Hot Deformation Activation Energy of 7050 Aluminum Alloy under Three Different Deformation Modes. Metals 2016, 6, 49. [Google Scholar] [CrossRef]
 - Schindler, I.; Sauer, M.; Kawulok, P.; Rodak, K.; Hadasik, E.; Jabłońska, M.B.; Rusz, S.; Ševčák, V. Study of hot deformation behavior of CuFe2 alloy. Arch. Metall. Mater. 2019, 64, 701–706. [Google Scholar] [CrossRef]
 - Rusz, S.; Schindler, I.; Navrátil, H.; Kawulok, P.; Rodak, K.; Kawulok, R.; Opěla, P.; Ševčák, V. High-temperature deformation properties of CuCr0.6 alloy. Met. Mater. 2019, 57, 407–414. [Google Scholar] [CrossRef]
 - Wang, M.; Zhou, J.; Yin, Y.; Nan, H.; Xue, P.; Tu, Z. Hot deformation behavior of the Ti6Al4V alloy prepared by powder hot isostatic pressing. J. Alloys Compd. 2017, 721, 320–332. [Google Scholar] [CrossRef]
 - Zhao, Q.; Yang, F.; Torrens, R.; Bolzoni, L. Comparison of hot deformation behaviour and microstructural evolution for Ti-5Al-5V-5Mo-3Cr alloys prepared by powder metallurgy and ingot metallurgy approaches. Mater. Des. 2019, 169, 107682. [Google Scholar] [CrossRef]
 - Schindler, I.; Kawulok, P.; Hadasik, E.; Kuc, D. Activation Energy in Hot Forming and Recrystallization Models for Magnesium Alloy AZ31. J. Mater. Eng. Perform. 2013, 22, 890–897. [Google Scholar] [CrossRef]
 - Guo, Y.; Xuanyuan, Y.; Lia, C.; Yang, S. Characterization of Hot Deformation Behavior and Processing Maps of Mg-3Sn-2Al-1Zn-5Li Magnesium Alloy. Metals 2019, 9, 1262. [Google Scholar] [CrossRef]
 - Yamanaka, K.; Mori, M.; Chiba, A. Dynamic recrystallization of a biomedical Co–Cr–W-based alloy under hot deformation. Mater. Sci. Eng. A 2014, 592, 173–181. [Google Scholar] [CrossRef]
 - Eleti, R.R.; Bhattacharjee, T.; Zhao, L.J.; Bhattacharjee, P.P.; Tsuji, N. Hot deformation behavior of CoCrFeMnNi FCC high entropy alloy. Mater. Chem. Phys. 2018, 210, 176–186. [Google Scholar] [CrossRef]
 - Marinelli, M.C.; El Bartali, A.; Signorelli, J.W.; Evrard, P.; Aubin, V.; Alvarez-Armas, I.; Degallaix-Moreuil, S. Activated slip systems and microcrack path in LCF of a duplex stainless steel. Mater. Sci. Eng. A 2009, 509, 81–88. [Google Scholar] [CrossRef]
 - Du, C.; Maresca, F.; Geers, M.G.D.; Hoefnagels, J.P.M. Ferrite slip system activation investigated by uniaxial micro-tensile tests and simulations. Acta Mater. 2018, 146, 314–327. [Google Scholar] [CrossRef]
 - Schindler, I.; Kawalla, R.; Plura, J.; Kubina, T.; Rusz, S.; Hadasik, E.; Jurko, V. Model of Mean Flow Stress of Ti-IF Steel Considering Effect of Phase Transformations. Steel Res. Int. 2008, 79, 758–764. [Google Scholar] [CrossRef]
 - Cai, D.Y.; Shi, D.R.; Zhang, C.L.; Dong, H.F.; Liao, B. Deformation behaviour of low carbon steel deformed in the ferrite range. In Nanostructured Metals: Fundamentals to Applications, Proceedings of the 30th Risø International Symposium on Materials Science, Roskilde, Denmark, 7–11 September 2009; Grivel, J.-C., Hansen, N., Huang, X., Jensen, D.J., Mishin, P., Nielsen, S.F., Pantleon, W., Toftegaard, H.L., Winther, G., Yu, T., Eds.; Risø National Laboratory for Sustainable Energy, Technical University of Denmark: Roskilde, Denmark, 2009; pp. 197–204. [Google Scholar]
 - Xu, L.; Wu, H.; Wang, X. Influence of Microstructural Evolution on the Hot Deformation Behavior of an Fe–Mn–Al Duplex Lightweight Steel. Acta Metall. Sin. 2018, 31, 389–400. [Google Scholar] [CrossRef]
 - Sheikhali, A.H.; Morakkabati, M. Hot working of SP-700 titanium alloy with lamellar alpha plus beta starting structure using a processing map. Int. J. Mater. Res. 2020, 111, 297–306. [Google Scholar] [CrossRef]
 - Ma, Z.; Ren, L.; Shahzad, M.B.; Liu, R.; Zhao, Y.; Yang, K. Hot deformation behavior of Cu-bearing antibacterial titanium alloy. J. Mater. Sci. Technol. 2018, 34, 1867–1875. [Google Scholar] [CrossRef]
 - Wu, F.Y.; Xu, W.C.; Jin, X.Z.; Zhong, X.M.; Wan, X.J.; Shan, D.B.; Guo, B. Study on Hot Deformation Behavior and Microstructure Evolution of Ti-55 High-Temperature Titanium Alloy. Metals 2017, 7, 319. [Google Scholar] [CrossRef]
 - Yue, K.; Chen, Z.Y.; Liu, J.R.; Wang, Q.J.; Fang, B.; Dou, L.J. Hot Compression of TC8M-1: Constitutive Equations, Processing Map, and Microstructure Evolution. Mater. Sci. Eng. A 2016, 47A, 3178–3192. [Google Scholar] [CrossRef]
 - Luo, Y.M.; Heng, Y.Q.; Wang, Y.Q.; Yan, X.C. Dynamic Recrystallization Behavior of TA15 Titanium Alloy under Isothermal Compression during Hot Deformation. Adv. Mater. Sci. Eng. 2014, 2014, 413143. [Google Scholar] [CrossRef]
 - Liu, S.F.; Li, M.Q.; Luo, J.; Yang, Z. Deformation behavior in the isothermal compression of Ti-5Al-5Mo-5V-1Cr-1Fe alloy. Mater. Sci. Eng. A 2014, 589, 15–22. [Google Scholar] [CrossRef]
 - Warchomicka, F.; Poletti, C.; Stockinger, M. Study of the hot deformation behaviour in Ti-5Al-5Mo-5V-3Cr-1Zr. Mater. Sci. Eng. A 2011, 528, 8277–8285. [Google Scholar] [CrossRef]
 - Legerski, M.; Plura, J.; Schindler, I.; Rusz, S.; Kawulok, P.; Kulveitova, H.; Hadasik, E.; Kuc, D.; Niewielski, G. Complex Flow Stress Model for a Magnesium Alloy AZ31 at Hot Forming. High Temp. Mater. Process. 2011, 30, 63–69. [Google Scholar] [CrossRef]
 - Kuc, D.; Hadasik, E.; Schindler, I.; Kawulok, P.; Śliwa, R. Characteristics of plasticity and microstructure of hot forming magnesium alloys Mg-Al-Zn type. Arch. Metall. Mater. 2013, 58, 151–156. [Google Scholar] [CrossRef]
 - Mirzadeh, H.; Cabrera, J.M.; Prado, J.M.; Najafizadeh, A. Hot deformation behavior of a medium carbon microalloyed steel. Mater. Sci. Eng. A 2011, 528, 3876–3882. [Google Scholar] [CrossRef]
 - Li, C.; Liu, Y.; Tan, Y.; Zhao, F. Hot Deformation Behavior and Constitutive Modeling of H13-Mod Steel. Metals 2018, 8, 846. [Google Scholar] [CrossRef]
 - Bao, X.R.; Wang, J.A.; Wang, X.D.; Guo, F.; Liu, Y.Z. Effects of lanthanum on hot deformation behaviour of Mn-Cr-Mo bainitic rail steel. J. Rare Earth 2018, 36, 772–780. [Google Scholar] [CrossRef]
 - Chen, L.; Sun, W.; Lin, J.; Zhao, G.; Wang, G. Modelling of constitutive relationship, dynamic recrystallization and grain size of 40Cr steel during hot deformation process. Results Phys. 2019, 12, 784–792. [Google Scholar] [CrossRef]
 - Xu, Y.; Birnbaum, P.; Pilz, S.; Zhuang, X.; Zhao, Z.; Kräusel, V. Investigation of constitutive relationship and dynamic recrystallization behavior of 22MnB5 during hot deformation. Results Phys. 2019, 14, 102426. [Google Scholar] [CrossRef]
 - Wang, S.; Zhang, M.; Wu, H.; Yang, B. Study on the dynamic recrystallization model and mechanism of nuclear grade 316LN austenitic stainless steel. Mater. Charact. 2016, 118, 92–101. [Google Scholar] [CrossRef]
 - Ji, G.; Qin, F.; Zhu, L.; Li, Q.; Li, L. Dynamic Recrystallization Kinetics of Cu-0.36Cr-0.03Zr Alloy During Hot Compression. J. Mater. Eng. Perform. 2017, 26, 2698–2707. [Google Scholar] [CrossRef]
 - Han, Y.; Yan, S.; Yin, B.; Li, H.; Ran, X. Effects of temperature and strain rate on the dynamic recrystallization of a medium-high-carbon high-silicon bainitic steel during hot deformation. Vacuum 2018, 148, 78–87. [Google Scholar] [CrossRef]
 - Schindler, I.; Kliber, J.; Bořuta, J. Predikce deformačních odporů při vysokoredukčním tváření [Prediction of deformation resistances at high-reduction forming]. In Proceedings of the 3rd International Metallurgical Symposium Metal ´94, Ostrava, Czech Republic, 10–12 May 1994; TANGER and ČSNMT: Ostrava, Czech Republic, 1994; pp. 132–142. [Google Scholar]
 - Opěla, P.; Schindler, I.; Kawulok, P.; Vančura, F.; Kawulok, R.; Rusz, S.; Petrek, T. Hot flow stress models of the steel C45. Metalurgija 2015, 54, 469–472. [Google Scholar]
 - Hensel, A.; Spittel, T. Kraft- und Arbeitsbedarf Bildsamer Formgebungsverfahren. [Power and Work Requirements of Plastic Deformation Processes], 1st ed.; Deutscher Verlag für Grundstoffindustrie: Leipzig, Germany, 1978. [Google Scholar]
 - Yin, B.G.; Han, Y.; Wang, W.; Li, H.J.; Liu, Y.C.; Ran, X. Flow Characteristics of a Medium-High Carbon Mn-Si-Cr Alloyed Steel at High Temperatures. J. Mater. Eng. Perform. 2019, 28, 5104–5115. [Google Scholar] [CrossRef]
 



























| T | ė | Z | σp [MPa] | |
|---|---|---|---|---|
| [°C] | [s−1] | [s−1] | Experimental | Calculated | 
| 1280 | 0.02 | 3.8 × 10+29 | 20 | 22 | 
| 1280 | 0.20 | 3.8 × 10+30 | 35 | 35 | 
| 1280 | 2.0 | 3.8 × 10+31 | 56 | 55 | 
| 1280 | 23 | 4.4 × 10+32 | 84 | 84 | 
| 1140 | 0.02 | 4.8 × 10+32 | 39 | 39 | 
| 1140 | 2.1 | 5.0 × 10+34 | 86 | 90 | 
| 1140 | 24 | 5.7 × 10+35 | 126 | 127 | 
| 1030 | 0.02 | 3.8 × 10+35 | 66 | 64 | 
| 1030 | 0.20 | 3.8 × 10+36 | 97 | 93 | 
| 1030 | 23 | 4.4 × 10+38 | 172 | 173 | 
| 930 | 0.02 | 4.8 × 10+38 | 99 | 101 | 
| 930 | 2.0 | 4.8 × 10+40 | 185 | 179 | 
| 930 | 22 | 5.2 × 10+41 | 222 | 223 | 
| 840 | 0.02 | 8.8 × 10+41 | 149 | 149 | 
| 840 | 0.20 | 8.8 × 10+42 | 190 | 191 | 
| 840 | 2.0 | 8.8 × 10+43 | 231 | 234 | 
| 840 | 22 | 9.6 × 10+44 | 280 | 279 | 
| 770 | 0.02 | 7.4 × 10+44 | 198 | 197 | 
| 770 | 2.0 | 7.4 × 10+46 | 277 | 283 | 
| 770 | 22 | 8.2 × 10+47 | 333 | 329 | 
| 770 | 0.02 | 7.4 × 10+44 | 198 | 202 | 
| 770 | 2.0 | 7.4 × 10+46 | 277 | 283 | 
| 770 | 22 | 8.2 × 10+47 | 333 | 334 | 
| 710 | 0.02 | 5.2 × 10+47 | 296 | 282 | 
| 710 | 0.21 | 5.4 × 10+48 | 329 | 332 | 
| 710 | 21 | 5.4 × 10+50 | 447 | 441 | 
| 650 | 0.02 | 8.4 × 10+50 | 397 | 396 | 
| 650 | 0.20 | 8.4 × 10+51 | 451 | 453 | 
| 650 | 2.1 | 8.8 × 10+52 | 502 | 515 | 
| 650 | 19 | 8.0 × 10+53 | 582 | 575 | 
| T | ė | σp [MPa] | |
|---|---|---|---|
| [°C] | [s−1] | Mn–Si–Cr–Mo Steel—Experimental [71] | Mn–Cr–Mo Steel—Calculated, Equation (5) | 
| 900 | 0.1 | 117 | 143 | 
| 1000 | 0.1 | 70 | 95 | 
| 1100 | 0.1 | 53 | 62 | 
| 1200 | 0.1 | 42 | 42 | 
| 1000 | 0.01 | 44 | 65 | 
| 1000 | 1.0 | 130 | 132 | 
| 1000 | 10 | 157 | 172 | 
| Temperature [°C] | Mean Grain Size [μm] | Confidence Interval [μm] | 
|---|---|---|
| After heating | ||
| 840 | 15.4 | ±1.6 | 
| 1030 | 18.7 | ±1.9 | 
| 1140 | 23.4 | ±2.5 | 
| 1280 | 94.5 | ±8.4 | 
| After deformation (a strain rate of 0.02 s−1) | ||
| 770 | 3.0 | ±0.2 | 
| 930 | 29.2 | ±3.0 | 
| 1280 | 116.1 | ±5.2 | 
| After deformation (a strain rate of 20 s−1) | ||
| 770 | 2.4 | ±0.1 | 
| 930 | 5.4 | ±0.3 | 
| 1280 | 15.4 | ±2.0 | 
© 2020 by the authors. Licensee MDPI, Basel, Switzerland. This article is an open access article distributed under the terms and conditions of the Creative Commons Attribution (CC BY) license (http://creativecommons.org/licenses/by/4.0/).
Share and Cite
Schindler, I.; Opěla, P.; Kawulok, P.; Sojka, J.; Konečná, K.; Rusz, S.; Kawulok, R.; Sauer, M.; Turoňová, P. Hot Deformation Behaviour of Mn–Cr–Mo Low-Alloy Steel in Various Phase Regions. Metals 2020, 10, 1255. https://doi.org/10.3390/met10091255
Schindler I, Opěla P, Kawulok P, Sojka J, Konečná K, Rusz S, Kawulok R, Sauer M, Turoňová P. Hot Deformation Behaviour of Mn–Cr–Mo Low-Alloy Steel in Various Phase Regions. Metals. 2020; 10(9):1255. https://doi.org/10.3390/met10091255
Chicago/Turabian StyleSchindler, Ivo, Petr Opěla, Petr Kawulok, Jaroslav Sojka, Kateřina Konečná, Stanislav Rusz, Rostislav Kawulok, Michal Sauer, and Petra Turoňová. 2020. "Hot Deformation Behaviour of Mn–Cr–Mo Low-Alloy Steel in Various Phase Regions" Metals 10, no. 9: 1255. https://doi.org/10.3390/met10091255
APA StyleSchindler, I., Opěla, P., Kawulok, P., Sojka, J., Konečná, K., Rusz, S., Kawulok, R., Sauer, M., & Turoňová, P. (2020). Hot Deformation Behaviour of Mn–Cr–Mo Low-Alloy Steel in Various Phase Regions. Metals, 10(9), 1255. https://doi.org/10.3390/met10091255
        
