Cutting Edge of High-Entropy Alloy Superconductors from the Perspective of Materials Research
Abstract
1. Introduction
2. bcc HEA Superconductors
2.1. Ta-Nb-Hf-Zr-Ti
2.2. The Other Systems
2.3. Comparision of Properties between bcc HEA and Binary Alloy Superconductors
3. hcp and hcp-Related HEA Superconductors
4. Simple Material Design of bcc and hcp HEA Superconductors
5. Multisite HEA Superconductors
5.1. CsCl
5.2. α-Mn
5.3. A15
5.4. NaCl
5.5. σ-phase
5.6. Layered Superconductors
5.7. Materials Research Based on δ, VEC and e/a
6. Perspectives
6.1. fcc HEA Superconductor
6.2. Multisite HEA Superconductor
6.3. HEA Superconductor Containing Magnetic Element
6.4. Eutectic HEA Superconductor
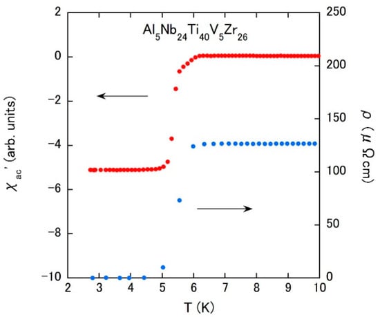
6.5. Gum metal HEA Superconductor
7. Summary
Author Contributions
Funding
Acknowledgments
Conflicts of Interest
References
- Gao, M.C.; Yeh, J.-W.; Liaw, P.K.; Zhang, Y. High-Entropy Alloys: Fundamentals and Applications; Springer: Cham, Switzerland, 2015. [Google Scholar]
- Ye, Y.F.; Wang, Q.; Lu, J.; Liu, C.T.; Yang, Y. High-entropy alloy: Challenges and prospects. Mater. Today 2016, 19, 349–362. [Google Scholar] [CrossRef]
- Miracle, D.B.; Senkov, O.N. A critical review of high entropy alloys and related concepts. Acta Mater. 2017, 122, 448–511. [Google Scholar] [CrossRef]
- Senkov, O.N.; Miracle, D.B.; Chaput, K.J.; Couzinie, J.-P. Development and exploration of refractory high entropy alloys—A review. J. Mater. Res. 2018, 33, 3092–3128. [Google Scholar] [CrossRef]
- Yeh, J.-W.; Chen, S.-K.; Lin, S.-J.; Gan, J.-Y.; Chin, T.-S.; Shun, T.-T.; Tsau, C.-H.; Chang, S.-Y. Nanostructured high-entropy alloys with multiple principal elements: Novel alloy design concepts and outcomes. Adv. Eng. Mater. 2004, 6, 299–303. [Google Scholar] [CrossRef]
- Otto, F.; Yang, Y.; Bei, H.; George, E.P. Relative effects of enthalpy and entropy on the phase stability of equiatomic high-entropy alloys. Acta Mater. 2013, 61, 2628–2638. [Google Scholar] [CrossRef]
- Zhou, Y.J.; Zhang, Y.; Wang, Y.L.; Chen, G.L. Microstructure and compressive properties of multicomponent Alx(TiVCrMnFeCoNiCu)100−x high-entropy alloys. Mater. Sci. Eng. A 2007, 454–455, 260–265. [Google Scholar] [CrossRef]
- Zou, Y.; Ma, H.; Spolenak, R. Ultrastrong ductile and stable high-entropy alloys at small scales. Nat. Commun. 2015, 6, 7748. [Google Scholar] [CrossRef]
- Shi, Y.; Yang, B.; Liaw, P.K. Corrosion-resistant high-entropy alloys: A review. Metals 2017, 7, 43. [Google Scholar] [CrossRef]
- Sun, L.; Luo, Y.; Ren, X.; Gao, Z.; Du, T.; Wu, Z.; Wang, J. A multicomponent γ-type (Gd1/6Tb1/6Dy1/6Tm1/6Yb1/6Lu1/6)2Si2O7 disilicate with outstanding thermal stability. Mater. Res. Lett. 2020, 8, 424–430. [Google Scholar] [CrossRef]
- Koželj, P.; Vrtnik, S.; Jelen, A.; Jazbec, S.; Jagličić, Z.; Maiti, S.; Feuerbacher, M.; Steurer, W.; Dolinšek, J. Discovery of a superconducting high-entropy alloy. Phys. Rev. Lett. 2014, 113, 107001. [Google Scholar] [CrossRef]
- Matthias, B.T. Empirical relation between superconductivity and the number of valence electrons per atom. Phys. Rev. 1955, 97, 74–76. [Google Scholar] [CrossRef]
- Collver, M.M.; Hammond, R.H. Superconductivity in “amorphous” transition-metal alloy films. Phys. Rev. Lett. 1973, 30, 92–95. [Google Scholar] [CrossRef]
- von Rohr, F.; Winiarski, M.J.; Tao, J.; Klimczuk, T.; Cava, R.J. Effect of electron count and chemical complexity in the Ta-Nb-Hf-Zr-Ti high-entropy alloy superconductor. Proc. Natl. Acad. Sci. USA 2016, 113, E7144–E7150. [Google Scholar] [CrossRef] [PubMed]
- Guo, J.; Wang, H.; von Rohr, F.; Wang, Z.; Cai, S.; Zhou, Y.; Yang, K.; Li, A.; Jiang, S.; Wu, Q.; et al. Robust zero resistance in a superconducting high-entropy alloy at pressures up to 190 GPa. Proc. Natl. Acad. Sci. USA 2017, 114, 13144–13147. [Google Scholar] [CrossRef] [PubMed]
- Sun, L.; Cava, R.J. High-entropy alloy superconductors: Status, opportunities, and challenges. Phys. Rev. Mater. 2019, 3, 090301. [Google Scholar] [CrossRef]
- von Rohr, F.O.; Cava, R.J. Isoelectronic substitutions and aluminium alloying in the Ta-Nb-Hf-Zr-Ti high-entropy alloy superconductor. Phys. Rev. Mater. 2018, 2, 034801. [Google Scholar] [CrossRef]
- Kim, G.; Lee, M.-H.; Yun, J.H.; Rawat, P.; Jung, S.-G.; Choi, W.; You, T.-S.; Kim, S.J.; Rhyee, J.-S. Strongly correlated and strongly coupled s-wave superconductivity of the high entropy alloy Ta1/6Nb2/6Hf1/6Zr1/6Ti1/6 compound. Acta Mater. 2020, 186, 250–256. [Google Scholar] [CrossRef]
- Nelson, W.L.; Chemey, A.T.; Hertz, M.; Choi, E.; Graf, D.E.; Latturner, S.; Albrecht-Schmitt, T.E.; Wei, K.; Baumbach, R.E. Superconductivity in a uranium containing high entropy alloy. Sci. Rep. 2020, 10, 4717. [Google Scholar] [CrossRef]
- Wu, K.-Y.; Chen, S.-K.; Wu, J.-M. Superconducting in equal molar NbTaTiZr-based high-entropy alloys. Nat. Sci. 2018, 10, 110–124. [Google Scholar] [CrossRef]
- Marik, S.; Varghese, M.; Sajilesh, K.P.; Singh, D.; Singh, R.P. Superconductivity in equimolar Nb-Re-Hf-Zr-Ti high entropy alloy. J. Alloys Compd. 2018, 769, 1059–1063. [Google Scholar] [CrossRef]
- Ishizu, N.; Kitagawa, J. New high-entropy alloy superconductor Hf21Nb25Ti15V15Zr24. Res. Phys. 2019, 13, 102275. [Google Scholar] [CrossRef]
- Zhang, X.; Winter, N.; Witteveen, C.; Moehl, T.; Xiao, Y.; Krogh, F.; Schilling, A.; von Rohr, F.O. Preparation and characterization of high-entropy alloy (TaNb)1−x(ZrHfTi)x superconducting films. Phys. Rev. Res. 2020, 2, 013375. [Google Scholar] [CrossRef]
- Vrtnik, S.; Koželj, P.; Meden, A.; Maiti, S.; Steurer, W.; Feuerbacher, M.; Dolinšek, J. Superconductivity in thermally annealed Ta-Nb-Hf-Zr-Ti high-entropy alloys. J. Alloys Compd. 2017, 695, 3530–3540. [Google Scholar] [CrossRef]
- Matsumoto, K.; Takewaki, H.; Tanaka, Y.; Miura, O.; Yamafuji, K.; Funaki, K.; Iwakuma, M.; Matsushita, T. Enhanced Jc properties in superconducting NbTi composites by introducing Nb artificial pins with a layered structure. Appl. Phys. Lett. 1994, 64, 115–117. [Google Scholar] [CrossRef]
- Yamafuji, K.; Fujiyoshi, T.; Toko, K.; Matsuno, T.; Kobayashi, T.; Kishio, K. On the magnetic field dependence of critical current density in single crystals of high-Tc superconductors. Phys. C 1994, 226, 133–142. [Google Scholar] [CrossRef]
- Pacheco, V.; Lindwall, G.; Karlsson, D.; Cedervall, J.; Fritze, S.; Ek, G.; Berastegui, P.; Sahlberg, M.; Jansson, U. Thermal stability of the HfNbTiVZr high-entropy alloy. Inorg. Chem. 2019, 58, 811–820. [Google Scholar] [CrossRef]
- Roberts, B.W. Survey of superconductive materials and critical evaluation of selected properties. J. Phys. Chem. Ref. Data 1976, 5, 581–821. [Google Scholar] [CrossRef]
- Guo, S.; Liu, C.T. Phase stability in high entropy alloys: Formation of solid-solution phase or amorphous phase. Prog. Nat. Sci. 2011, 21, 433–446. [Google Scholar] [CrossRef]
- Lee, Y.-S.; Cava, R.J. Superconductivity in high and medium entropy alloys based on MoReRu. Phys. C 2019, 566, 1353520. [Google Scholar] [CrossRef]
- Marik, S.; Motla, K.; Varghese, M.; Sajilesh, K.P.; Singh, D.; Breard, Y.; Boullay, P.; Singh, R.P. Superconductivity in a new hexagonal high-entropy alloy. Phys. Rev. Mater. 2019, 3, 060602(R). [Google Scholar] [CrossRef]
- Liu, B.; Wu, J.; Cui, Y.; Zhu, Q.; Xiao, G.; Wu, S.; Cao, G.; Ren, Z. Superconductivity in hexagonal Nb-Mo-Ru-Rh-Pd high-entropy alloys. Scr. Mater. 2020, 182, 109–113. [Google Scholar] [CrossRef]
- Mizutani, U.; Sato, H.; Inukai, M.; Nishino, Y.; Zijlstra, E.S. Electrons per atom ratio determination and Hume-Rothery electron concentration rule for P-based polar compounds studied by FLAPW–Fourier calculations. Inorg. Chem. 2015, 54, 930–946. [Google Scholar] [CrossRef] [PubMed]
- Mizutani, U.; Sato, H. The physics of the Hume-Rothery electron concentration rule. Crystals 2017, 7, 9. [Google Scholar] [CrossRef]
- Stolze, K.; Tao, J.; von Rohr, F.O.; Kong, T.; Cava, R.J. Sc−Zr−Nb−Rh−Pd and Sc−Zr−Nb−Ta−Rh−Pd high-entropy alloy superconductors on a CsCl-type lattice. Chem. Mater. 2018, 30, 906–914. [Google Scholar] [CrossRef]
- Stolze, K.; Cevallos, F.A.; Kong, T.; Cava, R.J. High-entropy alloy superconductors on an α-Mn lattice. J. Mater. Chem. C 2018, 6, 10441–10449. [Google Scholar] [CrossRef]
- Wu, J.; Liu, B.; Cui, Y.; Zhu, Q.; Xiao, G.; Wang, H.; Wu, S.; Cao, G.; Ren, Z. Polymorphism and superconductivity in the V-Nb-Mo-Al-Ga high-entropy alloys. Sci. China Mater. 2020, 63, 823–831. [Google Scholar] [CrossRef]
- Izumi, F.; Momma, K. Three-dimensional visualization in powder diffraction. Solid State Phenom. 2007, 130, 15–20. [Google Scholar] [CrossRef]
- Tsubota, M.; Kitagawa, J. A necessary criterion for obtaining accurate lattice parameters by Rietveld method. Sci. Rep. 2017, 7, 15381. [Google Scholar] [CrossRef]
- Mizuguchi, Y. Superconductivity in high-entropy-alloy telluride AgInSnPbBiTe5. J. Phys. Soc. Jpn. 2019, 88, 124708. [Google Scholar] [CrossRef]
- Kasem, M.R.; Hoshi, K.; Jha, R.; Katsuno, M.; Yamashita, A.; Goto, Y.; Matsuda, T.D.; Aoki, Y.; Mizuguchi, Y. Superconducting properties of high-entropy-alloy tellurides M-Te (M: Ag, In, Cd, Sn, Sb, Pb, Bi) with a NaCl-type structure. Appl. Phys. Express 2020, 13, 033001. [Google Scholar] [CrossRef]
- Yamashita, A.; Jha, R.; Goto, Y.; Matsuda, T.D.; Aoki, Y.; Mizuguchi, Y. An Efficient way of increasing the total entropy of mixing in high-entropy-alloy compounds: A case of NaCl-type (Ag,In,Pb,Bi)Te1-xSex (x = 0.0, 0.25, 0.5) superconductors. Dalton Trans. 2020, 49, 9118–9122. [Google Scholar] [CrossRef]
- Liu, B.; Wu, J.; Cui, Y.; Zhu, Q.; Xiao, G.; Wang, H.; Wu, S.; Cao, G.; Ren, Z. Formation and superconductivity of single-phase high-entropy alloys with a tetragonal structure. ACS Appl. Electron. Mater. 2020, 2, 1130–1137. [Google Scholar] [CrossRef]
- Sogabe, R.; Goto, Y.; Mizuguchi, Y. Superconductivity in REO0.5F0.5BiS2 with high entropy-alloy-type blocking layers. Appl. Phys. Express 2018, 11, 053102. [Google Scholar] [CrossRef]
- Sogabe, R.; Goto, Y.; Abe, T.; Moriyoshi, C.; Kuroiwa, Y.; Miura, A.; Tadanaga, K.; Mizuguchi, Y. Improvement of superconducting properties by high mixing entropy at blocking layers in BiS2-based superconductor REO0.5F0.5BiS2. Solid State Commun. 2019, 295, 43–49. [Google Scholar] [CrossRef]
- Shukunami, Y.; Yamashita, A.; Goto, Y.; Mizuguchi, Y. Synthesis of RE123 high-Tc superconductors with a high-entropy-alloy-type RE site. Phys. C 2020, 572, 1353623. [Google Scholar] [CrossRef]
- Islam, N.; Huang, W.; Zhuang, H.L. Machine learning for phase selection in multi-principal element alloys. Comput. Mater. Sci. 2018, 150, 230–235. [Google Scholar] [CrossRef]
- Li, Y.; Guo, W. Machine-learning model for predicting phase formations of high-entropy alloys. Phys. Rev. Mater. 2019, 3, 095005. [Google Scholar] [CrossRef]
- Ishizu, N.; Kitagawa, J. Trial of a search for a face-centered-cubic high-entropy alloy superconductor. arXiv 2020, arXiv:2007.00788. Available online: https://arxiv.org/abs/2007.00788 (accessed on 22 June 2020).
- Cort, B.; Giorgi, A.L.; Stewart, G.R. Low temperature specific heats of H(NbIrO) and R(NbPtO). J. Low Temp. Phys. 1982, 47, 179–185. [Google Scholar] [CrossRef]
- Waterstrat, R.M.; Kuentzler, R.; Muller, J. Structural instabilities and superconductivity in quasi-binary Mn5Si3-type compounds. J. Less Common Met. 1990, 167, 169–178. [Google Scholar] [CrossRef]
- Lv, B.; Zhu, X.Y.; Lorenz, B.; Wei, F.Y.; Xue, Y.Y.; Yin, Z.P.; Kotliar, G.; Chu, C.W. Superconductivity in the Mn5Si3-type Zr5Sb3 system. Phys. Rev. B 2013, 88, 134520. [Google Scholar] [CrossRef]
- Zhang, Y.; Wang, B.; Xiao, Z.; Lu, Y.; Kamiya, T.; Uwatoko, Y.; Kageyama, H.; Hosono, H. Electride and superconductivity behaviors in Mn5Si3-type intermetallics. npj Quantum Mater. 2017, 2, 45. [Google Scholar] [CrossRef]
- Li, S.; Liu, X.; Anand, V.; Lv, B. Superconductivity from site-selective Ru doping studies in Zr5Ge3 compound. New J. Phys. 2018, 20, 013009. [Google Scholar] [CrossRef]
- Hamamoto, S.; Kitagawa, J. Superconductivity in oxygen-added Zr5Pt3. Mater. Res. Express 2018, 5, 106001. [Google Scholar] [CrossRef]
- Xu, Y.; Jöhr, S.; Das, L.; Kitagawa, J.; Medarde, M.; Shiroka, T.; Chang, J.; Shang, T. Crossover from multiple- to single-gap superconductivity in Nb5Ir3−xPtxO alloys. Phys. Rev. B 2020, 101, 134513. [Google Scholar] [CrossRef]
- Corbett, J.D.; Garcia, E.; Guloy, A.M.; Hurng, W.-M.; Kwon, Y.-U.; Leon-Escamilla, E.A. Widespread interstitial chemistry of Mn5Si3-type and related phases. Hidden impurities and opportunities. Chem. Mater. 1998, 10, 2824–2836. [Google Scholar] [CrossRef]
- Kitagawa, J.; Hamamoto, S. Superconductivity in Nb5Ir3−xPtxO. JPS Conf. Proc. 2020, 30, 011055. [Google Scholar]
- Ishikawa, M. Can magnetism and superconductivity coexist? Contemp. Phys. 1982, 23, 443–468. [Google Scholar] [CrossRef]
- Rogacki, K.; Batlogg, B.; Karpinski, J.; Zhigadlo, N.D.; Schuck, G.; Kazakov, S.M.; Wägli, P.; Puźniak, R.; Wiśniewski, A.; Carbone, F.; et al. Strong magnetic pair breaking in Mn-substituted MgB2 single crystals. Phys. Rev. B 2006, 73, 174520. [Google Scholar] [CrossRef]
- Lu, Y.; Dong, Y.; Guo, S.; Jiang, L.; Kang, H.; Wang, T.; Wen, B.; Wang, Z.; Jie, J.; Cao, Z.; et al. A promising new class of high-temperature alloys: Eutectic high-entropy alloys. Sci. Rep. 2015, 4, 6200. [Google Scholar] [CrossRef]
- Maeno, Y.; Ando, T.; Mori, Y.; Ohmichi, E.; Ikeda, S.; Nishizaki, S.; Nakatsuji, S. Enhancement of Superconductivity of Sr2RuO4 to 3 K by Embedded Metallic Microdomains. Phys. Rev. Lett. 1998, 81, 3765–3768. [Google Scholar] [CrossRef]
- Matthias, B.T.; Stewart, G.R.; Giorgi, A.L.; Smith, J.L.; Fisk, Z.; Barz, H. Enhancement of superconductivity through lattice softening. Science 1980, 208, 401–402. [Google Scholar] [CrossRef]
- Cline, H.E.; Rose, R.M.; Wulff, J. Niobium-thorium eutectic alloy as a high-field, high-current superconductor. J. Appl. Phys. 1963, 34, 1771–1774. [Google Scholar] [CrossRef]
- Xu, Q.; Chen, D.; Tan, C.; Bi, X.; Wang, Q.; Cui, H.; Zhang, S.; Chen, R. NbMoTiVSix refractory high entropy alloys strengthened by forming BCC phase and silicide eutectic structure. J. Mater. Sci. Technol. 2021, 60, 1–7. [Google Scholar] [CrossRef]
- Hafstrom, J.W. Metallurgy, fabrication, and superconducting properties of multifilamentary Nb3Al composites. IEEE Trans. Magn. 1977, 13, 480–482. [Google Scholar] [CrossRef]
- Saito, T.; Furuta, T.; Hwang, J.-H.; Kuramoto, S.; Nishino, K.; Suzuki, N.; Chen, R.; Yamada, A.; Ito, K.; Seno, Y.; et al. Multifunctional alloys obtained via a dislocation free plastic deformation mechanism. Science 2003, 300, 464–467. [Google Scholar] [CrossRef]
- Zherebtsov, S.; Yurchenko, N.; Panina, E.; Tikhonovsky, M.; Stepanov, N. Gum-like mechanical behavior of a partially ordered Al5Nb24Ti40V5Zr26 high entropy alloy. Intermetallics 2020, 116, 106652. [Google Scholar] [CrossRef]












| No. | HEA | Tc (K) | Hc2(0) (kOe) | δ | VEC | e/a | Ref. |
|---|---|---|---|---|---|---|---|
| 1 | Ta34Nb33Hf8Zr14Ti11 | 7.3 | 82 | 4.56 | 4.67 | 1.44 | [11] |
| 2 | (TaNb)1−x(HfZrTi)x (0.2 ≤ x ≤ 0.84) | - | - | - | - | - | [14] |
| - | x = 0.3 | 8.0 | 67 | 4.34 | 4.7 | 1.45 | - |
| - | x = 0.33 | 7.8 | 78 | 4.47 | 4.67 | 1.45 | - |
| - | x = 0.4 | 7.6 | 84 | 4.71 | 4.6 | 1.45 | - |
| - | x = 0.5 | 6.5 | 117 | 4.91 | 4.5 | 1.45 | - |
| - | x = 0.84 | 4.5 | 90 | 4.64 | 4.16 | 1.46 | - |
| 3 | (TaNbV)0.67(HfZrTi)0.33 | 4.3 | - | 6.39 | 4.67 | 1.33 | [14] |
| 4 | (NbV)0.67(HfZrTi)0.33 | 7.2 | - | 7.04 | 4.67 | 1.23 | [14] |
| 5 | (TaV)0.67(HfZrTi)0.33 | 4.0 | - | 7.04 | 4.67 | 1.31 | [14] |
| 6 | (TaNb)0.67(HfZrTi)0.33 substituted by {Sc-Cr} | - | - | - | - | - | [17] |
| - | (Sc0.33Cr0.67Nb)0.67(HfZrTi)0.33 | 5.6 | - | 9.14 | 4.67 | 1.28 | - |
| - | (TaSc0.33Cr0.67)0.67(HfZrTi)0.33 | 4.4 | - | 9.13 | 4.67 | 1.36 | - |
| - | (TaNb)0.67(Sc0.67Cr0.33ZrTi)0.33 | 7.5 | - | 5.68 | 4.67 | 1.39 | - |
| - | (TaNb)0.67(HfSc0.67Cr0.33Ti)0.33 | 7.4 | - | 5.39 | 4.67 | 1.42 | - |
| - | (TaNb)0.67(HfZrSc0.67Cr0.33)0.33 | 7.6 | - | 6.15 | 4.67 | 1.46 | - |
| 7 | (TaNb)0.67(HfZrTi)0.33 substituted by {Y-Mo} | - | - | - | - | - | [17] |
| - | (Y0.33Mo0.67Nb)0.67(HfZrTi)0.33 | 4.7 | - | 8.98 | 4.67 | 1.44 | - |
| - | (TaY0.33Mo0.67)0.67(HfZrTi)0.33 | 3.5 | - | 8.96 | 4.67 | 1.53 | - |
| - | (TaNb)0.67(Y0.67Mo0.33ZrTi)0.33 | 7.6 | - | 7.25 | 4.67 | 1.45 | - |
| - | (TaNb)0.67(HfY0.67Mo0.33Ti)0.33 | 6.7 | - | 7.06 | 4.67 | 1.48 | - |
| - | (TaNb)0.67(HfZrY0.67Mo0.33)0.33 | 7.5 | - | 7.47 | 4.67 | 1.51 | - |
| 8 | (TaNb)0.67(HfZrTi)0.33 substituted by {Sc-Mo} | - | - | - | - | - | [17] |
| - | (Sc0.33Mo0.67Nb)0.67(HfZrTi)0.33 | 4.4 | - | 6.62 | 4.67 | 1.38 | - |
| - | (TaSc0.33Mo0.67)0.67(HfZrTi)0.33 | 2.9 | - | 6.61 | 4.67 | 1.47 | - |
| - | (TaNb)0.67(Sc0.67Mo0.33ZrTi)0.33 | 7.5 | - | 5.10 | 4.67 | 1.41 | - |
| - | (TaNb)0.67(HfSc0.67Mo0.33Ti)0.33 | 6.6 | - | 4.78 | 4.67 | 1.44 | - |
| - | (TaNb)0.67(HfZrSc0.67Mo0.33)0.33 | 7.5 | - | 5.58 | 4.67 | 1.47 | - |
| 9 | (TaNb)0.67(HfZrTi)0.33Alx | - | - | - | - | - | [17] |
| - | x = 0.15 | 6.6 | - | 4.27 | 4.45 | 1.65 | - |
| - | x = 0.3 | 3.0 | - | 4.08 | 4.29 | 1.81 | - |
| 10 | Ta1/6Nb2/6Hf1/6Zr1/6Ti1/6 | 7.9 | 120 | 4.92 | 4.5 | 1.43 | [18] |
| 11 | (TaNb)0.31(HfUTi)0.69 | 3.2 | 64 | 4.17 | 4.31 | - | [19] |
| 12 | Nb22.1Ta26.3Ti16.6Zr15.5Hf19.5 | 7.1 | 20 | 4.91 | 4.48 | 1.47 | [20] |
| 13 | Nb21.5Ta18.1Ti15.9Zr14.4Hf16.6V13.5 | 5.1 | 20 | 6.21 | 4.53 | 1.38 | [20] |
| 14 | NbTaTiZrFe | 6.9 | - | 8.04 | 5.2 | 1.31 | [20] |
| 15 | NbTaTiZrGe | 8.5 | - | 8.07 | 4.4 | 1.91 | [20] |
| 16 | NbTaTiZrGeV | 8.4 | - | 8.07 | 4.5 | 1.75 | [20] |
| 17 | NbTaTiZrSiV | 4.3 | - | 9.88 | 4.5 | 1.74 | [20] |
| 18 | NbTaTiZrSiGe | 7.4 | - | 10.7 | 4.33 | 2.26 | [20] |
| 19 | Nb20Re20Zr20Hf20Ti20 | 5.3 | 89 | 5.86 | 4.8 | 1.42 | [21] |
| 20 | Hf21Nb25Ti15V15Zr24 | 5.3 | - | 6.80 | 4.4 | 1.36 | [22] |
| 21 | (TaNb)1-x(HfZrTi)x Thin film (0.04 ≤ x ≤ 0.88) | - | - | - | - | - | [23] |
| - | x = 0.21 | 6.2 | 58 | 3.82 | 4.79 | 1.45 | - |
| - | x = 0.33 | 6.4 | 71 | 4.47 | 4.67 | 1.45 | - |
| - | x = 0.43 | 6.8 | 88 | 4.79 | 4.57 | 1.45 | - |
| - | x = 0.54 | 6.1 | 99 | 4.96 | 4.46 | 1.45 | - |
| - | x = 0.65 | 5.6 | 110 | 4.97 | 4.35 | 1.46 | - |
| - | x = 0.76 | 4.6 | 104 | 4.84 | 4.24 | 1.46 | - |
| - | x = 0.88 | 2.8 | 62 | 4.51 | 4.12 | 1.46 | - |
| No. | HEA/binary alloy | ΔSmix/R | Tcobs (K) | Tcbase (K) | Tcobs/Tcbase |
|---|---|---|---|---|---|
| 1 | Ta34Nb33Hf8Zr14Ti11 | 1.453 | 7.3 | 4.72 | 1.55 |
| 2 | (TaNb)1−x(HfZrTi)x (0.2 ≤ x ≤ 0.84) | - | - | - | - |
| - | x = 0.3 | 1.426 | 8.0 | 4.93 | 1.62 |
| - | x = 0.33 | 1.461 | 7.8 | 4.73 | 1.65 |
| - | x = 0.4 | 1.528 | 7.6 | 4.28 | 1.77 |
| - | x = 0.5 | 1.589 | 6.5 | 3.63 | 1.78 |
| - | x = 0.84 | 1.473 | 4.5 | 1.41 | 3.21 |
| 3 | (TaNbV)0.67(HfZrTi)0.33 | 1.733 | 4.3 | 4.38 | 0.982 |
| 4 | (NbV)0.67(HfZrTi)0.33 | 1.461 | 7.2 | 5.00 | 1.44 |
| 5 | (TaV)0.67(HfZrTi)0.33 | 1.461 | 4.0 | 3.40 | 1.18 |
| 6 | (TaNb)0.67(HfZrTi)0.33 substituted by {Sc-Cr} | - | - | - | - |
| - | (Sc0.33Cr0.67Nb)0.67(HfZrTi)0.33 | 1.674 | 5.6 | 3.23 | 1.73 |
| (TaSc0.33Cr0.67)0.67(HfZrTi)0.33 | 1.674 | 4.4 | 1.62 | 2.71 | |
| (TaNb)0.67(Sc0.67Cr0.33ZrTi)0.33 | 1.531 | 7.5 | 4.72 | 1.59 | |
| (TaNb)0.67(HfSc0.67Cr0.33Ti)0.33 | 1.531 | 7.4 | 4.67 | 1.58 | |
| (TaNb)0.67(HfZrSc0.67Cr0.33)0.33 | 1.531 | 7.6 | 4.69 | 1.62 | |
| 7 | (TaNb)0.67(HfZrTi)0.33 substituted by {Y-Mo} | - | - | - | - |
| - | (Y0.33Mo0.67Nb)0.67(HfZrTi)0.33 | 1.674 | 4.7 | 3.44 | 1.37 |
| - | (TaY0.33Mo0.67)0.67(HfZrTi)0.33 | 1.674 | 3.5 | 1.83 | 1.91 |
| - | (TaNb)0.67(Y0.67Mo0.33ZrTi)0.33 | 1.531 | 7.6 | 4.75 | 1.60 |
| - | (TaNb)0.67(HfY0.67Mo0.33Ti)0.33 | 1.531 | 6.7 | 4.70 | 1.43 |
| - | (TaNb)0.67(HfZrY0.67Mo0.33)0.33 | 1.531 | 7.5 | 4.73 | 1.59 |
| 8 | (TaNb)0.67(HfZrTi)0.33 substituted by {Sc-Mo} | - | - | - | - |
| - | (Sc0.33Mo0.67Nb)0.67(HfZrTi)0.33 | 1.674 | 4.4 | 3.44 | 1.28 |
| - | (TaSc0.33Mo0.67)0.67(HfZrTi)0.33 | 1.674 | 2.9 | 1.83 | 1.58 |
| - | (TaNb)0.67(Sc0.67Mo0.33ZrTi)0.33 | 1.531 | 7.5 | 4.75 | 1.58 |
| - | (TaNb)0.67(HfSc0.67Mo0.33Ti)0.33 | 1.531 | 6.6 | 4.71 | 1.40 |
| - | (TaNb)0.67(HfZrSc0.67Mo0.33)0.33 | 1.531 | 7.5 | 4.73 | 1.59 |
| 9 | (TaNb)0.67(HfZrTi)0.33Alx | - | - | - | - |
| - | x = 0.15 | 1.658 | 6.6 | 4.27 | 1.55 |
| - | x = 0.3 | 1.664 | 3.0 | 3.92 | 0.765 |
| 10 | Ta1/6Nb2/6Hf1/6Zr1/6Ti1/6 | 1.561 | 7.9 | 4.03 | 1.96 |
| 11 | (TaNb)0.31(HfUTi)0.69 | 1.592 | 3.2 | 2.42 | 1.32 |
| 12 | Nb22.1Ta26.3Ti16.6Zr15.5Hf19.5 | 1.591 | 7.1 | 3.41 | 2.08 |
| 13 | Nb21.5Ta18.1Ti15.9Zr14.4Hf16.6V13.5 | 1.780 | 5.1 | 3.69 | 1.38 |
| 14 | NbTaTiZrFe | 1.609 | 6.9 | 2.94 | 2.34 |
| 15 | NbTaTiZrGe | 1.609 | 8.5 | 2.94 | 2.89 |
| 16 | NbTaTiZrGeV | 1.792 | 8.4 | 3.34 | 2.51 |
| 17 | NbTaTiZrSiV | 1.792 | 4.3 | 3.34 | 1.29 |
| 18 | NbTaTiZrSiGe | 1.792 | 7.4 | 3.24 | 2.28 |
| 19 | Nb20Re20Zr20Hf20Ti20 | 1.609 | 5.3 | 2.42 | 2.2 |
| 20 | Hf21Nb25Ti15V15Zr24 | 1.586 | 5.3 | 3.30 | 1.61 |
| 21 | (TaNb)1-x(HfZrTi)x Thin film (0.04 ≤ x ≤ 0.88) | - | - | - | - |
| - | x = 0.21 | 1.292 | 6.2 | 5.52 | 1.12 |
| - | x = 0.33 | 1.461 | 6.4 | 4.73 | 1.35 |
| - | x = 0.43 | 1.551 | 6.8 | 4.08 | 1.67 |
| - | x = 0.54 | 1.602 | 6.1 | 3.37 | 1.81 |
| - | x = 0.65 | 1.604 | 5.6 | 2.65 | 2.11 |
| - | x = 0.76 | 1.552 | 4.6 | 1.93 | 2.70 |
| - | x = 0.88 | 1.417 | 2.8 | 1.15 | 2.43 |
| 22 | Nb66Ti33 (VEC = 4.67) | 0.6365 | 9.2 | 6.34 | 1.45 |
| 23 | Ta50V50 (VEC = 5) | 0.6932 | 2.35 | 4.89 | 0.48 |
| 24 | Ti20V80 (VEC = 4.8) | 0.5004 | 7.5 | 4.32 | 1.74 |
| No. | HEA | Tc (K) | Hc2(0) (kOe) | δ | VEC | e/a | Ref. |
|---|---|---|---|---|---|---|---|
| 1 | Mo-Re-Ru-Rh-Ti | - | - | - | - | - | [30] |
| - | Mo0.2375Re0.2375Ru0.2375Rh0.2375Ti0.05 | 3.6 | - | 1.99 | 7.33 | 1.20 | - |
| - | Mo0.225Re0.225Ru0.225Rh0.225Ti0.1 | 4.7 | - | 2.54 | 7.15 | 1.20 | - |
| - | Mo0.1Re0.1Ru0.55Rh0.1Ti0.15 | 2.1 | - | 3.14 | 7.2 | 1.12 | - |
| - | Mo0.105Re0.105Ru0.527Rh0.105Ti0.158 | 2.2 | - | 3.19 | 7.16 | 1.13 | - |
| - | Mo0.118Re0.118Ru0.47Rh0.118Ti0.176 | 2.5 | - | 3.29 | 7.06 | 1.14 | |
| 2 | Re0.56Nb0.11Ti0.11Zr0.11Hf0.11 | 4.4 | 36 | 6.00 | 5.79 | 1.41 | [31] |
| 3 | Nb10+2xMo35-xRu35-xRh10Pd10 (0 ≤ x ≤ 5) | - | - | - | - | - | [32] |
| - | x = 0 | 5.6 | 69 | 1.93 | 7.3 | 1.18 | - |
| - | x = 2.5 | 6.2 | 81 | 2.19 | 7.2 | 1.18 | - |
| - | x = 5 | 6.1 | 83 | 2.40 | 7.1 | 1.19 | - |
| No. | HEA | Tc (K) | Hc2(0) (kOe) | δ | VEC | e/a | Ref. |
|---|---|---|---|---|---|---|---|
| 1 | CsCl-type | - | - | - | - | - | [35] |
| - | (ScZrNbTa)0.67(RhPd)0.33 | 4.0 | 21 | 7.58 | 5.98 | 1.28 | - |
| - | (ScZrNbTa)0.685(RhPd)0.315 | 6.3 | 88 | 7.57 | 5.90 | 1.29 | - |
| - | (ScZrNb)0.60(RhPd)0.40 | 4.7 | 21 | 8.15 | 6.2 | 1.22 | - |
| - | (ScZrNb)0.62(RhPd)0.38 | 7.9 | 89 | 8.13 | 6.09 | 1.23 | - |
| - | (ScZrNb)0.63(RhPd)0.37 | 8.7 | 96 | 8.12 | 6.04 | 1.23 | - |
| - | (ScZrNb)0.65(RhPd)0.35 | 9.5 | 107 | 8.08 | 5.93 | 1.24 | - |
| 2 | α-Mn-type | - | - | - | - | - | |
| 2-1 | (ZrNb)1−x(MoReRu)x (0.8 ≤ x ≤ 0.9) | - | - | - | - | - | [36] |
| - | x = 0.8 | 4.2 | - | 5.40 | 6.5 | 1.30 | - |
| - | x = 0.9 | 5.3 | 79 | 4.10 | 6.75 | 1.29 | - |
| 2-2 | (HfTaWIr)1−xRex (0.6 ≤ x ≤ 0.75) | - | - | - | - | - | [36] |
| - | x = 0.6 | 4.0 | 47 | 4.47 | 6.6 | 1.48 | - |
| - | x = 0.7 | 4.5 | - | 3.95 | 6.7 | 1.46 | - |
| - | x = 0.75 | 5.6 | - | 3.65 | 6.75 | 1.45 | - |
| 2-3 | (HfTaWPt)1−xRex (0.6 ≤ x ≤ 0.7) | - | - | - | - | - | [36] |
| - | x = 0.6 | 4.4 | 59 | 4.36 | 6.7 | 1.48 | - |
| - | x = 0.7 | 5.7 | - | 3.88 | 6.78 | 1.46 | - |
| 3 | A15 | - | - | - | - | - | [37] |
| - | (V0.5Nb0.5)3−xMoxAl0.5Ga0.5 (0.2 ≤ x ≤ 1.4) | - | - | - | - | - | - |
| - | x = 0.2 | 10.2 | 201 | 3.72 | 4.55 | 1.60 | - |
| - | x = 0.4 | 9.2 | 177 | 3.61 | 4.6 | 1.61 | - |
| - | x = 0.6 | 8.9 | 170 | 3.51 | 4.65 | 1.63 | - |
| - | x = 0.8 | 7.9 | 142 | 3.40 | 4.7 | 1.64 | - |
| - | x = 1.0 | 6.1 | 99 | 3.28 | 4.75 | 1.65 | - |
| - | x = 1.2 | 4.8 | 76 | 3.16 | 4.8 | 1.67 | - |
| - | x = 1.4 | 3.2 | 48 | 3.04 | 4.85 | 1.68 | - |
| 4 | NaCl | - | - | - | - | - | - |
| 4-1 | AgInSnPbBiTe5 | 2.6 | 19 | 7.01 | 5.7 | - | [40] |
| 4-2 | Ag0.20Cd0.20Sn0.20Sb0.15Pb0.20Te1.05 | 1.2 | - | 6.54 | 6.63 | - | [41] |
| - | Ag0.24In0.22Sn0.18Sb0.14Pb0.19Te1.03 | 1.4 | - | 7.05 | 5.83 | - | - |
| - | Ag0.22Cd0.22In0.23Sn0.17Sb0.14Te1.02 | 0.7 | - | 5.30 | 6.63 | - | - |
| - | Ag0.19Cd0.19Sn0.20Pb0.18Bi0.21Te1.03 | 1.0 | - | 6.43 | 6.56 | - | - |
| - | Ag0.21Cd0.19In0.25Pb0.16Bi0.18Te1.00 | 1.0 | - | 6.71 | 6.44 | - | - |
| - | Ag0.21Cd0.21In0.24Sn0.19Bi0.19Te0.97 | 1.0 | - | 5.49 | 6.54 | - | - |
| 4-3 | Ag0.24In0.22Pb0.27Bi0.26Te1.02 | 2.7 | 18 | 7.40 | 5.9 | - | [42] |
| - | Ag0.29In0.26Pb0.22Bi0.24Te0.78Se0.20 | 2.5 | 19 | 7.58 | 5.97 | - | - |
| - | Ag0.34In0.15Pb0.24Bi0.29Te0.65Se0.34 | 2.0 | - | 7.68 | 6.27 | - | - |
| 5 | σ-phase | - | - | - | - | - | - |
| 5-1 | Ta5(Mo35−xW5+x)Re35Ru20 (0 ≤ x ≤ 30) | - | - | - | - | - | [43] |
| - | x = 0 | 6.3 | - | 1.45 | 6.7 | 1.33 | - |
| - | x = 5 | 6.2 | - | 1.44 | 6.7 | 1.34 | - |
| - | x = 10 | 6.1 | - | 1.44 | 6.7 | 1.34 | - |
| - | x = 15 | 5.7 | - | 1.44 | 6.7 | 1.34 | - |
| - | x = 20 | 5.5 | - | 1.44 | 6.7 | 1.34 | - |
| - | x = 25 | 5.5 | - | 1.44 | 6.7 | 1.34 | - |
| - | x = 30 | 4.8 | - | 1.44 | 6.7 | 1.35 | - |
| 5-2 | (Ta5+yMo35−y)W5Re35Ru20 (0 ≤ y ≤ 8) | - | - | - | - | - | [43] |
| - | y = 2 | 6.1 | - | 1.59 | 6.68 | 1.34 | - |
| - | y = 4 | 5.7 | - | 1.71 | 6.66 | 1.34 | - |
| - | y = 6 | 5.3 | - | 1.82 | 6.64 | 1.35 | - |
| - | y = 8 | 5.3 | - | 1.92 | 6.62 | 1.35 | - |
| 6 | Layered superconductor | - | - | - | - | - | - |
| 6-1 | (La0.2Ce0.2Pr0.2Nd0.2Sm0.2) O0.5F0.5BiS2 | 4.3 | - | - | 5.3 | - | [44,45] |
| - | (La0.3Ce0.3Pr0.2Nd0.1Sm0.1) O0.5F0.5BiS2 | 3.4 | - | - | 5.3 | - | - |
| - | (La0.1Ce0.1Pr0.3Nd0.3Sm0.2) O0.5F0.5BiS2 | 4.7 | - | - | 5.3 | - | - |
| - | (La0.1Ce0.1Pr0.2Nd0.3Sm0.3) O0.5F0.5BiS2 | 4.9 | - | - | 5.3 | - | - |
| 6-2 | (Y0.28Nd0.16Sm0.18Eu0.18Gd0.20) Ba2Cu3O7−δ | 93 | - | 46.7 | 6.31 | - | [46] |
| - | (Y0.18La0.24Nd0.14Sm0.14Eu0.15Gd0.15) Ba2Cu3O7−δ | 93 | - | 46.8 | 6.31 | - | - |
© 2020 by the authors. Licensee MDPI, Basel, Switzerland. This article is an open access article distributed under the terms and conditions of the Creative Commons Attribution (CC BY) license (http://creativecommons.org/licenses/by/4.0/).
Share and Cite
Kitagawa, J.; Hamamoto, S.; Ishizu, N. Cutting Edge of High-Entropy Alloy Superconductors from the Perspective of Materials Research. Metals 2020, 10, 1078. https://doi.org/10.3390/met10081078
Kitagawa J, Hamamoto S, Ishizu N. Cutting Edge of High-Entropy Alloy Superconductors from the Perspective of Materials Research. Metals. 2020; 10(8):1078. https://doi.org/10.3390/met10081078
Chicago/Turabian StyleKitagawa, Jiro, Shusuke Hamamoto, and Naoki Ishizu. 2020. "Cutting Edge of High-Entropy Alloy Superconductors from the Perspective of Materials Research" Metals 10, no. 8: 1078. https://doi.org/10.3390/met10081078
APA StyleKitagawa, J., Hamamoto, S., & Ishizu, N. (2020). Cutting Edge of High-Entropy Alloy Superconductors from the Perspective of Materials Research. Metals, 10(8), 1078. https://doi.org/10.3390/met10081078

