Calibration of Advanced Yield Criteria Using Uniaxial and Heterogeneous Tensile Test Data
Abstract
1. Introduction
2. Materials and Methods
2.1. The YLD2000-2d Model
2.2. Conversion Between the Normalized Flow Stresses, R-Values and Parameters
2.3. Proposed Identification Methodology
- The standard uniaxial tensile tests [3] are first carried out in three directions, i.e., one parallel (0°), one transverse (90°) and one in a diagonal (45°) direction to the rolling direction. The hardening behaviour, normalized yield stresses and R-values are calculated directly from these tests.
- The developed heterogeneous strain field specimen is tested by using a uniaxial tensile testing machine. The tensile force and the strain field at the centre of the test specimen are measured during the test. The test specimen is presented in Section 2.4.
- The parameters are identified using a FEMU procedure, where the simulated heterogeneous test response is compared to the measured one. More specifically, the calculated test response depends on the values, determined by and . This means that and can be considered as optimization input parameters, and parameters related to the uniaxial tensile test data can be directly set equal to their experimental values from uniaxial tests, i.e., , and excluded from optimization. This means that only two parameters, and , are sought by an inverse identification algorithm utilizing a heterogeneous strain field tensile test response. In other words, with the supplementary values and , an arbitrary set of parameters can be converted to parameters, which are used in the YLD2000-2d model simulations. We can also interpret this procedure as a constrained optimization problem, where the parameters are constrained by six experimental values from the uniaxial tensile tests. This means that the dimensionality of the parametric space reduces from eight to two.
2.4. Development of the Heterogeneous Strain Field Specimen
2.5. Sensitivity Analysis
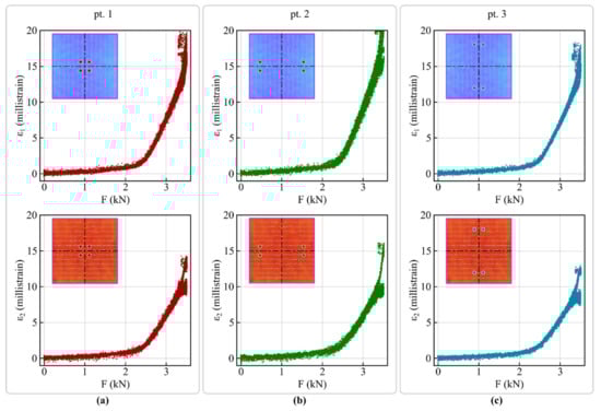
2.6. Experimental Procedure and Measurement of the Heterogeneous Test Response
3. Results
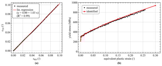
3.1. Standard Uniaxial Tensile Tests Results
3.2. Heterogeneous Strain Field Tensile Tests Results
3.3. Identification Procedure Results
3.4. Experimental Verification of Identified Anisotropy
4. Discussion and Conclusions
Author Contributions
Funding
Acknowledgments
Conflicts of Interest
References
- Banabic, D. Sheet Metal Forming Processes: Constitutive Modelling and Numerical Simulation; Springer: Berlin/Heidelberg, Germany, 2010; ISBN 978-3-540-88112-4. [Google Scholar]
- Banabic, D.; Aretz, H.; Comsa, D.S.; Paraianu, L. An improved analytical description of orthotropy in metallic sheets. Int. J. Plast. 2005, 21, 493–512. [Google Scholar] [CrossRef]
- International Organization for Standardization. ISO 6892-1—Metallic Materials—Tensile Testing—Part 1: Method of Test at Room Temperature; International Organization for Standardization: Geneva, Switzerland, 2019. [Google Scholar]
- International Organization for Standardization. ISO 10113—Metallic Materials—Sheet and Strip—Determination of Plastic Strain Ratio; International Organization for Standardization: Geneva, Switzerland, 2006. [Google Scholar]
- International Organization for Standardization. ISO 16808—Determination of Biaxial Stress-Strain Curve by Means of Bulge Test with Optical Measuring System; International Organization for Standardization: Geneva, Switzerland, 2013. [Google Scholar]
- Barlat, F.; Brem, J.C.; Yoon, J.W.; Chung, K.; Dick, R.E.; Lege, D.J.; Pourboghrat, F.; Choi, S.-H.; Chu, E. Plane stress yield function for aluminum alloy sheets—Part 1: Theory. Int. J. Plast. 2003, 19, 1297–1319. [Google Scholar] [CrossRef]
- Merklein, M.; Kuppert, A. A method for the layer compression test considering the anisotropic material behavior. Int. J. Mater. Form. 2009, 2, 483. [Google Scholar] [CrossRef]
- International Organization for Standardization. ISO 16842—Metallic Materials—Sheet and Strip—Biaxial Tensile Testing Method Using a Cruciform Test Piece; International Organization for Standardization: Geneva, Switzerland, 2014. [Google Scholar]
- Kuwabara, T. Advances in experiments on metal sheets and tubes in support of constitutive modeling and forming simulations. Int. J. Plast. 2007, 23, 385–419. [Google Scholar] [CrossRef]
- Merklein, M.; Biasutti, M. Development of a biaxial tensile machine for characterization of sheet metals. J. Mater. Process. Technol. 2013, 213, 939–946. [Google Scholar] [CrossRef]
- Fu, J.; Barlat, F.; Kim, J.-H. Parameter identification of the homogeneous anisotropic hardening model using the virtual fields method. Int. J. Mater. Form. 2016, 9, 691–696. [Google Scholar] [CrossRef]
- Pottier, T.; Vacher, P.; Toussaint, F.; Louche, H.; Coudert, T. Out-of-plane Testing Procedure for Inverse Identification Purpose: Application in Sheet Metal Plasticity. Exp. Mech. 2012, 52, 951–963. [Google Scholar] [CrossRef]
- Mathieu, F.; Leclerc, H.; Hild, F.; Roux, S. Estimation of Elastoplastic Parameters via Weighted FEMU and Integrated-DIC. Exp. Mech. 2015, 55, 105–119. [Google Scholar] [CrossRef]
- Kajberg, J.; Lindkvist, G. Characterisation of materials subjected to large strains by inverse modelling based on in-plane displacement fields. Int. J. Solids Struct. 2004, 41, 3439–3459. [Google Scholar] [CrossRef]
- Latourte, F.; Chrysochoos, A.; Pagano, S.; Wattrisse, B. Elastoplastic Behavior Identification for Heterogeneous Loadings and Materials. Exp. Mech. 2008, 48, 435–449. [Google Scholar] [CrossRef]
- Grédiac, M.; Pierron, F. Applying the Virtual Fields Method to the identification of elasto-plastic constitutive parameters. Int. J. Plast. 2006, 22, 602–627. [Google Scholar] [CrossRef]
- Pierron, F.; Avril, S.; Tran, V.T. Extension of the virtual fields method to elasto-plastic material identification with cyclic loads and kinematic hardening. Int. J. Solids Struct. 2010, 47, 2993–3010. [Google Scholar] [CrossRef]
- Claire, D.; Hild, F.; Roux, S. A finite element formulation to identify damage fields: The equilibrium gap method. Int. J. Numer. Methods Eng. 2004, 61, 189–208. [Google Scholar] [CrossRef]
- Rossi, M.; Broggiato, G.B.; Papalini, S. Application of digital image correlation to the study of planar anisotropy of sheet metals at large strains. Meccanica 2008, 43, 185–199. [Google Scholar] [CrossRef]
- Rossi, M.; Lattanzi, A.; Barlat, F. A general linear method to evaluate the hardening behaviour of metals at large strain with full-field measurements. Strain 2018, 54, e12265. [Google Scholar] [CrossRef]
- Avril, S.; Bonnet, M.; Bretelle, A.S.; Grediac, M.; Hild, F.; Ienny, P.; Latourte, F.; Lemosse, D.; Pagano, S.; Pagnacco, E.; et al. Overview of identification methods of mechanical parameters based on full-field measurements. Exp. Mech. 2008. to appear. [Google Scholar] [CrossRef]
- Meuwissen, M.H.H.; Oomens, C.W.J.; Baaijens, F.P.T.; Petterson, R.; Janssen, J.D. Determination of the elasto-plastic properties of aluminium using a mixed numerical–experimental method. J. Mater. Process. Technol. 1998, 75, 204–211. [Google Scholar] [CrossRef]
- Haddadi, H.; Belhabib, S. Improving the characterization of a hardening law using digital image correlation over an enhanced heterogeneous tensile test. Int. J. Mech. Sci. 2012, 62, 47–56. [Google Scholar] [CrossRef]
- Robert, L.; Velay, V.; Decultot, N.; Ramde, S. Identification of hardening parameters using finite element models and full-field measurements: Some case studies. J. Strain Anal. Eng. Des. 2012, 47, 3–17. [Google Scholar] [CrossRef]
- Güner, A.; Soyarslan, C.; Brosius, A.; Tekkaya, A.E. Characterization of anisotropy of sheet metals employing inhomogeneous strain fields for Yld2000-2D yield function. Int. J. Solids Struct. 2012, 49, 3517–3527. [Google Scholar] [CrossRef]
- Kim, J.-H.; Barlat, F.; Pierron, F.; Lee, M.-G. Determination of Anisotropic Plastic Constitutive Parameters Using the Virtual Fields Method. Exp. Mech. 2014, 54, 1189–1204. [Google Scholar] [CrossRef]
- Kowalewski, Ł.; Gajewski, M. Assessment of Optimization Methods Used to Determine Plasticity Parameters Based on DIC and back Calculation Methods. Exp. Tech. 2019, 43, 385–396. [Google Scholar] [CrossRef]
- Cooreman, S.; Lecompte, D.; Sol, H.; Vantomme, J.; Debruyne, D. Identification of Mechanical Material Behavior Through Inverse Modeling and DIC. Exp. Mech. 2008, 48, 421–433. [Google Scholar] [CrossRef]
- Denys, K.; Coppieters, S.; Seefeldt, M.; Debruyne, D. Multi-DIC setup for the identification of a 3D anisotropic yield surface of thick high strength steel using a double perforated specimen. Mech. Mater. 2016, 100, 96–108. [Google Scholar] [CrossRef]
- Martins, J.M.P.; Andrade-Campos, A.; Thuillier, S. Comparison of inverse identification strategies for constitutive mechanical models using full-field measurements. Int. J. Mech. Sci. 2018, 145, 330–345. [Google Scholar] [CrossRef]
- Rossi, M.; Pierron, F. Identification of plastic constitutive parameters at large deformations from three dimensional displacement fields. Comput. Mech. 2012, 49, 53–71. [Google Scholar] [CrossRef]
- Rossi, M.; Pierron, F.; Štamborská, M. Application of the virtual fields method to large strain anisotropic plasticity. Int. J. Solids Struct. 2016, 97–98, 322–335. [Google Scholar] [CrossRef]
- Lattanzi, A.; Barlat, F.; Pierron, F.; Marek, A.; Rossi, M. Inverse identification strategies for the characterization of transformation-based anisotropic plasticity models with the non-linear VFM. Int. J. Mech. Sci. 2020, 105422. [Google Scholar] [CrossRef]
- Barlat, F.; Yoon, J.W.; Cazacu, O. On linear transformations of stress tensors for the description of plastic anisotropy. Int. J. Plast. 2007, 23, 876–896. [Google Scholar] [CrossRef]
- Barlat, F.; Aretz, H.; Yoon, J.W.; Karabin, M.E.; Brem, J.C.; Dick, R.E. Linear transformation-based anisotropic yield functions. Int. J. Plast. 2005, 21, 1009–1039. [Google Scholar] [CrossRef]
- Marek, A.; Davis, F.M.; Rossi, M.; Pierron, F. Extension of the sensitivity-based virtual fields to large deformation anisotropic plasticity. Int. J. Mater. Form. 2019, 12, 457–476. [Google Scholar] [CrossRef]
- Marek, A.; Davis, F.M.; Pierron, F. Sensitivity-based virtual fields for the non-linear virtual fields method. Comput. Mech. 2017, 60, 409–431. [Google Scholar] [CrossRef] [PubMed]
- Badaloni, M.; Rossi, M.; Chiappini, G.; Lava, P.; Debruyne, D. Impact of Experimental Uncertainties on the Identification of Mechanical Material Properties using DIC. Exp. Mech. 2015, 55, 1411–1426. [Google Scholar] [CrossRef]
- Martins, J.M.P.; Andrade-Campos, A.; Thuillier, S. Calibration of anisotropic plasticity models using a biaxial test and the virtual fields method. Int. J. Solids Struct. 2019, 172–173, 21–37. [Google Scholar] [CrossRef]
- Zhang, S.; Leotoing, L.; Guines, D.; Thuillier, S.; Zang, S. Calibration of anisotropic yield criterion with conventional tests or biaxial test. Int. J. Mech. Sci. 2014, 85, 142–151. [Google Scholar] [CrossRef]
- Zhang, S.Y.; Leotoing, L.; Guines, D.; Thuillier, S. Identification of Anisotropic Yield Criterion Parameters from a Single Biaxial Tensile Test. Key Eng. Mater. 2014, 611–612, 1710–1717. [Google Scholar] [CrossRef]
- Schmaltz, S.; Willner, K. Comparison of Different Biaxial Tests for the Inverse Identification of Sheet Steel Material Parameters. Strain 2014, 50, 389–403. [Google Scholar] [CrossRef]
- Souto, N.; Thuillier, S.; Andrade-Campos, A. Design of an indicator to characterize and classify mechanical tests for sheet metals. Int. J. Mech. Sci. 2015, 101–102, 252–271. [Google Scholar] [CrossRef]
- Souto, N.; Andrade-Campos, A.; Thuillier, S. A numerical methodology to design heterogeneous mechanical tests. Int. J. Mech. Sci. 2016, 107, 264–276. [Google Scholar] [CrossRef]
- Lecompte, D.; Cooreman, S.; Coppieters, S.; Vantomme, J.; Sol, H.; Debruyne, D. Parameter identification for anisotropic plasticity model using digital image correlation. Eur. J. Comput. Mech. 2009, 18, 393–418. [Google Scholar]
- Lecompte, D.; Smits, A.; Sol, H.; Vantomme, J.; Van Hemelrijck, D. Mixed numerical–experimental technique for orthotropic parameter identification using biaxial tensile tests on cruciform specimens. Int. J. Solids Struct. 2007, 44, 1643–1656. [Google Scholar] [CrossRef]
- Bertin, M.; Hild, F.; Roux, S. On the identifiability of Hill-1948 plasticity model with a single biaxial test on very thin sheet. Strain 2017, 53, e12233. [Google Scholar] [CrossRef]
- Bertin, M.; Hild, F.; Roux, S. On the identifiability of the Hill-1948 model with one uniaxial tensile test. Comptes Rendus Mécanique 2017, 345, 363–369. [Google Scholar] [CrossRef]
- Davis, J.R. Tensile Testing, 2nd ed.; ASM International: Materials Park, OH, USA, 2004; ISBN 978-1-61503-095-8. [Google Scholar]
- Starman, B.; Vrh, M.; Koc, P.; Halilovič, M. Shear test-based identification of hardening behaviour of stainless steel sheet after onset of necking. J. Mater. Process. Technol. 2019, 270, 335–344. [Google Scholar] [CrossRef]
- Suttner, S.; Merklein, M. Experimental and numerical investigation of a strain rate controlled hydraulic bulge test of sheet metal. J. Mater. Process. Technol. 2016, 235, 121–133. [Google Scholar] [CrossRef]








| cameras | Manta G-507, Allied Vision, (Exton, PA, USA) (3 pieces) |
| image resolution | 2464 pixel × 2056 pixel |
| objective focal distance | 35 mm |
| field of view | 25 mm × 21 mm |
| stereo angle | 80° (between outermost cameras) |
| patterning technique | matt white spray paint base coat with black speckles |
| pattern feature size (approx.) | 3 pixel |
| DIC technique | multi-cam |
| DIC software | Istra 4D (ver. 4.4.6), Dantec Dynamics GmbH, (Ulm, Germany) |
| facet size | 19 pixel |
| grid spacing | 12 pixel |
| spatial smoothing | local regression (5 × 5 window) |
| temporal smoothing | none |
| logarithmic strain noise-floor | 5 × 10−4 |
| number of acquired data points | 16,000 |
| acquisition frequency | 2 Hz |
| Normalized Flow Stress and R-Value | Isotropic Hardening | ||||
|---|---|---|---|---|---|
| 1.00 | 213 | (2.0e-2) | 368 | ||
| 1.03 | (3.0e-4) | 255 | (5.0e-2) | 446 | |
| 0.98 | (9.0e-4) | 284 | (1.0e-1) | 564 | |
| 0.92 | (3.0e-3) | 300 | (1.5e-1) | 665 | |
| 0.81 | (6.0e-3) | 317 | (2.0e-1) | 760 | |
| 1.21 | (1.0e-2) | 333 | (3.0e-1) | 940 | |
| Identified Parameters | |
|---|---|
| 0.94 | |
| 1.03 | |
© 2020 by the authors. Licensee MDPI, Basel, Switzerland. This article is an open access article distributed under the terms and conditions of the Creative Commons Attribution (CC BY) license (http://creativecommons.org/licenses/by/4.0/).
Share and Cite
Maček, A.; Starman, B.; Mole, N.; Halilovič, M. Calibration of Advanced Yield Criteria Using Uniaxial and Heterogeneous Tensile Test Data. Metals 2020, 10, 542. https://doi.org/10.3390/met10040542
Maček A, Starman B, Mole N, Halilovič M. Calibration of Advanced Yield Criteria Using Uniaxial and Heterogeneous Tensile Test Data. Metals. 2020; 10(4):542. https://doi.org/10.3390/met10040542
Chicago/Turabian StyleMaček, Andraž, Bojan Starman, Nikolaj Mole, and Miroslav Halilovič. 2020. "Calibration of Advanced Yield Criteria Using Uniaxial and Heterogeneous Tensile Test Data" Metals 10, no. 4: 542. https://doi.org/10.3390/met10040542
APA StyleMaček, A., Starman, B., Mole, N., & Halilovič, M. (2020). Calibration of Advanced Yield Criteria Using Uniaxial and Heterogeneous Tensile Test Data. Metals, 10(4), 542. https://doi.org/10.3390/met10040542

