Effect of Proton Irradiation on the Defect Evolution of Zr/Nb Nanoscale Multilayers
Abstract
1. Introduction
2. Materials and Research Methods
3. Results and Discussion
3.1. SEM of As-Deposited Zr/Nb Multilayer Coatings
3.2. SRIM Calculations
3.3. XRD Structure Analysis
3.4. Resistivity Measurements
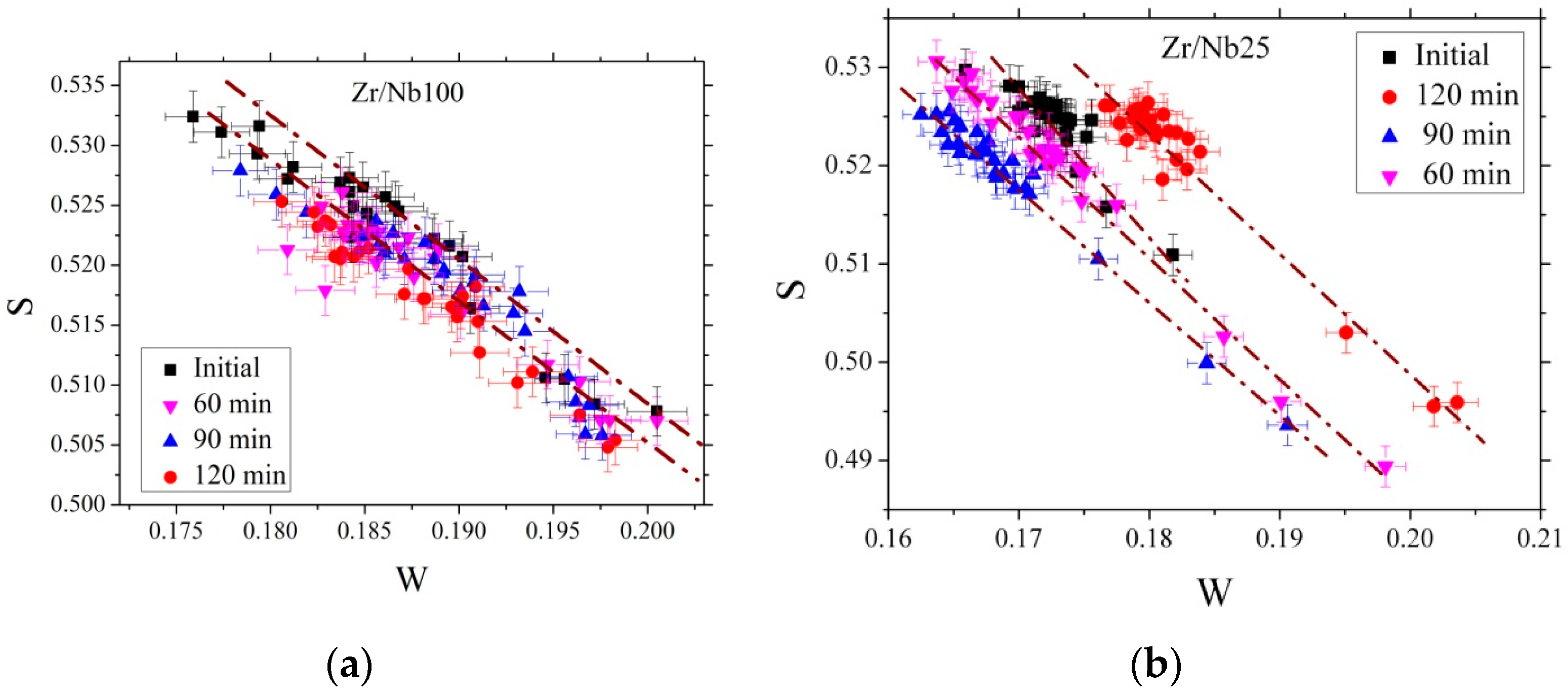
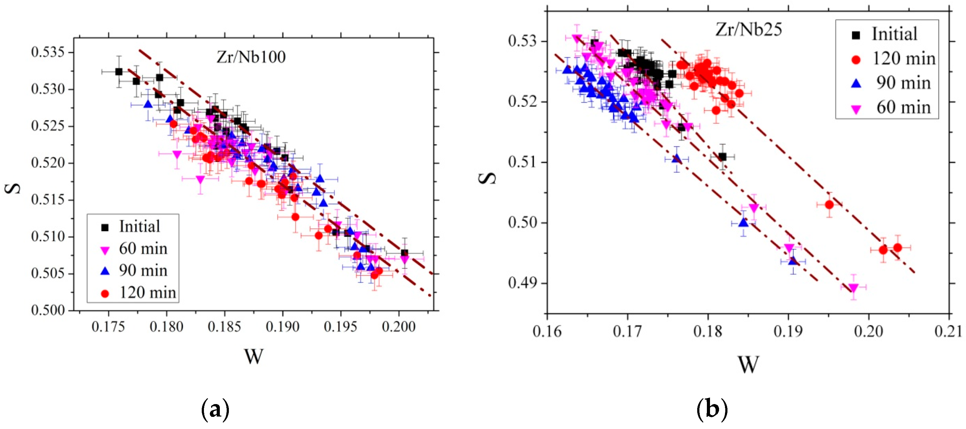
3.5. Variable Energy Positron Beam Spectroscopy
3.6. Investigation of NMCs Zr/Nb by Beam Positron Spectroscopy and GD–OES
4. Conclusions
- (1)
- The study of the distribution of layers and chemical elements of Zr/Nb NMCs using GD–OES before and after irradiation with 900 keV photons with different irradiation duration times from 60 min to 120 min showed that the structure of the NMCs did not change as a result of irradiation, and the layers did not mix;
- (2)
- A study of the distribution of defects in Zr/Nb NMCs before and after irradiation with protons using positron beams with variable energy by Doppler broadening spectroscopy method showed that the defect structure of the samples before and after irradiation was approximately on the same level; in some cases at a depth around 800 nm corresponding to Bragg peak there was a slight decrease in defectiveness in irradiated samples;
- (3)
- Microstructure evolution of Zr/Nb NMCs after irradiation examined by XRD study showed good radiation tolerance against 900 keV H+ irradiation. However, detected some minor changes were detected in diffraction peak positions and full width on half maxima values. Zr/Nb25 showed higher sensitivity to doses at 60 min and 90 min of irradiation, and Zr/Nb100 was more sensitive to doses at 120 min;
- (4)
- Investigation of electrical resistance showed nearly zero changes of resistivity after irradiation for most regimes. For Zr/Nb100 irradiated during 60 min and 90 min decreases in resistivity of 10% and 26%, respectively, were observed;
- (5)
- Studies showed that irradiation of Zr/Nb NMCs with H+ did not lead to any severe damage and in some cases the structure of the coatings became more ordered than in the native ones. This phenomenon can be attributed to the fact that at such doses, the defect formation rate is suppressed by the high volume density of defect sinks and is not sufficient for the formation of a stable defective structure. Moreover, the macrostresses on the interfaces occurring during irradiation stimulate the diffusion mobility of defects, leading to the reduction of the overall defect level.
Author Contributions
Funding
Acknowledgments
Conflicts of Interest
References
- Uglov, V.V.; Abadias, G.; Zlotski, S.V.; Kvasov, N.T.; Saladukhin, I.A.; Malashevih, A.A. Blister formation in ZrN/SiN multilayers after He irradiation. Surf. Coat. Technol. 2018, 344, 170–176. [Google Scholar] [CrossRef]
- Abadias, G.; Uglov, V.V.; Saladukhin, I.A.; Zlotski, S.V.; Tolmachova, G.; Dub, S.N.; van Vuuren, A.J. Growth, structural and mechanical properties of magnetron-sputtered ZrN/SiNx nanolaminated coatings. Surf. Coat. Technol. 2016, 308, 158–167. [Google Scholar] [CrossRef]
- Callisti, M.; Karlik, M.; Polcar, T. Competing mechanisms on the strength of ion-irradiated Zr/Nb nanoscale multilayers: Interface strength versus radiation hardening. Scr. Mater. 2018, 152, 31–35. [Google Scholar] [CrossRef]
- Ryskulov, A.E.; Kozlovskiy, A.L.; Ivanov, I.A.; Uglov, V.V.; Kislitsin, S.B.; Zdorovets, M.V. The effect of Ni12+ heavy ion irradiation on the optical and structural properties of BeO ceramics. Ceram. Int. 2020, 46, 4065–4070. [Google Scholar] [CrossRef]
- Uglov, V.V.; Abadias, G.; Zlotski, S.V.; Saladukhin, I.A.; Safronov, I.V.; Shymanski, V.I.; Janse van Vuuren, A.; O’Connell, J.; Skuratov, V.; Neethling, J.H. Features of microstructure of ZrN, Si3N4 and ZrN/SiNx nanoscale films irradiated by Xe ions. Vacuum 2017, 143, 491–494. [Google Scholar] [CrossRef]
- Sen, H.S.; Polcar, T. Vacancy-interface-helium interaction in Zr-Nb multi-layer system: A first-principles study. J. Nucl. Mater. 2019, 518, 11–20. [Google Scholar] [CrossRef]
- Callisti, M.; Lozano-Perez, S.; Polcar, T. Structural and mechanical properties of γ-irradiated Zr/Nb multilayer nanocomposites. Mater. Lett. 2016, 163, 138–141. [Google Scholar] [CrossRef]
- Ham, B.; Zhang, X. High strength Mg/Nb nanolayer composites. Mater. Sci. Eng. A 2011, 528, 2028–2033. [Google Scholar] [CrossRef]
- Yang, G.H.; Zhao, B.; Gao, Y.; Pan, F. Investigation of nanoindentation on Co/Mo multilayers by the continuous stiffness measurement technique. Surf. Coat. Technol. 2005, 191, 127–133. [Google Scholar] [CrossRef]
- Lu, Y.Y.; Kotoka, R.; Ligda, J.P.; Cao, B.B.; Yarmolenko, S.N.; Schuster, B.E.; Wei, Q. The microstructure and mechanical behavior of Mg/Ti multilayers as a function of individual layer thickness. Acta Mater. 2014, 63, 216–231. [Google Scholar] [CrossRef]
- Zhang, J.Y.; Lei, S.; Liu, Y.; Niu, J.J.; Chen, Y.; Liu, G.; Zhang, X.; Sun, J. Length scale-dependent deformation behavior of nanolayered Cu/Zr micropillars. Acta Mater. 2012, 60, 1610–1622. [Google Scholar] [CrossRef]
- Demkowicz, M.J.; Wang, Y.Q.; Hoagland, R.G.; Anderoglu, O. Mechanisms of he escape during implantation in CuNb multilayer composites. Nucl. Instrum. Methods Phys. Res. Sect. B Beam Interact. Mater. Atoms 2007, 261, 524–528. [Google Scholar] [CrossRef]
- Wei, Q.M.; Li, N.; Mara, N.; Nastasi, M.; Misra, A. Suppression of irradiation hardening in nanoscale V/Ag multilayers. Acta Mater. 2011, 59, 6331–6340. [Google Scholar] [CrossRef]
- Gao, Y.; Yang, T.; Xue, J.; Yan, S.; Zhou, S.; Wang, Y.; Kwok, D.T.K.; Chu, P.K.; Zhang, Y. Radiation tolerance of Cu/W multilayered nanocomposites. J. Nucl. Mater. 2011, 413, 11–15. [Google Scholar] [CrossRef]
- Chen, F.; Tang, X.; Yang, Y.; Huang, H.; Chen, D. Investigation of structural stability and magnetic properties of Fe/Ni multilayers irradiated by 300 keV Fe10+. J. Nucl. Mater. 2014, 452, 31–36. [Google Scholar] [CrossRef]
- Mastorakos, I.N.; Zbib, H.M.; Bahr, D.F. Deformation mechanisms and strength in nanoscale multilayer metallic composites with coherent and incoherent interfaces. Appl. Phys. Lett. 2009, 94, 173114. [Google Scholar] [CrossRef]
- Frutos, E.; Callisti, M.; Karlik, M.; Polcar, T. Length-scale-dependent mechanical behaviour of Zr/Nb multilayers as a function of individual layer thickness. Mater. Sci. Eng. A 2015, 632, 137–146. [Google Scholar] [CrossRef]
- Monclús, M.A.; Callisti, M.; Polcar, T.; Yang, L.W.; Llorca, J.; Molina-Aldareguía, J.M. Selective oxidation-induced strengthening of Zr/Nb nanoscale multilayers. Acta Mater. 2017, 122, 1–10. [Google Scholar] [CrossRef]
- Callisti, M.; Polcar, T. Combined size and texture-dependent deformation and strengthening mechanisms in Zr/Nb nano-multilayers. Acta Mater. 2017, 124, 247–260. [Google Scholar] [CrossRef]
- Lei, S.; Zhang, J.Y.; Niu, J.J.; Liu, G.; Zhang, X.; Sun, J. Intrinsic size-controlled strain hardening behavior of nanolayered Cu/Zr micropillars. Scr. Mater. 2012, 66, 706–709. [Google Scholar] [CrossRef]
- Yang, W.; Pang, J.; Zheng, S.; Wang, J.; Zhang, X.; Ma, X. Interface Effects on He Ion Irradiation in Nanostructured Materials. Materials 2019, 12, 2639. [Google Scholar] [CrossRef] [PubMed]
- Čížek, J. Characterization of lattice defects in metallic materials by positron annihilation spectroscopy: A review. J. Mater. Sci. Technol. 2018, 34, 577–598. [Google Scholar] [CrossRef]
- Triftshäuser, W.; Kögel, G.; Sperr, P. Characterization of Radiation-Induced Defects in ZnO Probed by Positron Annihilation Spectroscopy. Mater. Sci. Forum 2001, 363–365, 141–143. [Google Scholar]
- Ogorodnikova, O.V.; Dubov, L.Y.; Stepanov, S.V.; Terentyev, D.; Funtikov, Y.V.; Shtotsky, Y.V.; Stolbunov, V.S.; Efimov, V.; Gutorov, K. Annealing of radiation-induced defects in tungsten: Positron annihilation spectroscopy study. J. Nucl. Mater. 2019, 517, 148–151. [Google Scholar] [CrossRef]
- Shpotyuk, O.; Filipecki, J. Radiation-induced defects in vitreous chalcogenide semiconductors studied by positron annihilation method. Mater. Sci. Eng. B Solid-State Mater. Adv. Technol. 2002, 91–92, 537–540. [Google Scholar] [CrossRef]
- Cao, G.R.; Guo, S.K.; Wang, Z.C.; Teng, M.K.; Chen, C.; Liu, Y.C. Induced defects in a-Si:H/a-SiNx:H multilayers by use of a positron annihilation technique. Mod. Phys. Lett. B 1996, 10, 1–10. [Google Scholar] [CrossRef]
- Parente, P.; Ortega, Y.; Savoini, B.; Monge, M.A.; Tucci, A.; Esposito, L.; Ferrari, B.; Sanchez-Herencia, A.J. Characterization of residual compressive stresses in layered ceramics by positron annihilation spectroscopy. J. Eur. Ceram. Soc. 2012, 32, 3989–3993. [Google Scholar] [CrossRef][Green Version]
- Duarte Naia, M.; Gordo, P.M.; Teodoro, O.M.N.D.; De Lima, A.P.; Moutinho, A.M.C. Characterisation of Ti/Al Multilayered Structures with Slow Positron Beams Applying a Simplified Positron Depth Distribution Model. Mater. Sci. Forum 2010, 636–637, 1097–1101. [Google Scholar] [CrossRef]
- Gregory, R.B.; Su, W. Monte Carlo calculation of positron implantation in multilayered materials. Nucl. Inst. Methods Phys. Res. B 1991, 62, 1–7. [Google Scholar] [CrossRef]
- Sidelev, D.V.; Yurjev, Y.N.; Krivobokov, V.P.; Erofeev, E.V.; Penkova, O.V.; Novikov, V.A. The oxygen-deficient TiO2 films deposited by a dual magnetron sputtering. Vacuum 2016, 134, 29–32. [Google Scholar] [CrossRef]
- Zaitcev, D.; Sidelev, D.; Tupikova, O. Effect of magnetic field configuration of dual magnetron on carbon based films properties. Adv. Mater. Res. 2014, 1040, 721–725. [Google Scholar]
- Syrtanov, M.; Garanin, G.; Kashkarov, E.; Pushilina, N.; Kudiiarov, V.; Murashkina, T. Laboratory X-ray Diffraction Complex for In Situ Investigations of Structural Phase Evolution of Materials under Gaseous Atmosphere. Metals 2020, 10, 447. [Google Scholar] [CrossRef]
- Priamushko, T.; Mikhaylov, A.; Babikhina, M.; Kudiiarov, V.; Laptev, R. Glow Discharge Optical Emission Spectrometer Calibration Using Hydrogenated Zr-2.5Nb Alloy Standard Samples. Metals 2018, 8, 372. [Google Scholar] [CrossRef]
- Mikhaylov, A.A.; Priamushko, T.S.; Babikhina, M.N.; Kudiiarov, V.N.; Heller, R.; Laptev, R.S.; Lider, A.M. Hydrogen calibration of GD-spectrometer using Zr-1Nb alloy. Appl. Surf. Sci. 2018, 432, 85–89. [Google Scholar] [CrossRef]
- Bordulev, Y.S.; Laptev, R.S.; Kudiiarov, V.N.; Lider, A.M. Investigation of commercially pure titanium structure during accumulation and release of hydrogen by means of positron lifetime and electrical resistivity measurements. Adv. Mater. Res. 2014, 880, 93–100. [Google Scholar] [CrossRef]
- Horodek, P.; Kobets, A.G.; Meshkov, I.N.; Sidorin, A.A.; Orlov, O.S. Slow positron beam at the JINR, Dubna. Nukleonika 2015, 60, 725–728. [Google Scholar] [CrossRef]
- Horodek, P.; Bugdol, M.; Kobets, A.G.; Meshkov, I.N.; Orlov, O.S.; Rudakov, A.Y.; Sidorin, A.A.; Yakovenko, S.L. Development of positron annihilation spectroscopy at LEPTA facility. Phys. Part. Nucl. Lett. 2014, 11, 708–712. [Google Scholar] [CrossRef][Green Version]
- Dryzek, J.; Horodek, P. Positron implantation profiles in layered samples. Nucl. Instrum. Methods Phys. Res. Sect. B Beam Interact. Mater. Atoms 2009, 267, 3580–3589. [Google Scholar] [CrossRef]
- Ziegler, J.F.; Ziegler, M.D.; Biersack, J.P. SRIM—The stopping and range of ions in matter (2010). Nucl. Instrum. Methods Phys. Res. Sect. B Beam Interact. Mater. Atoms 2010, 268, 1818–1823. [Google Scholar] [CrossRef]
- Zbib, H.M.; Overman, C.T.; Akasheh, F.; Bahr, D. Analysis of plastic deformation in nanoscale metallic multilayers with coherent and incoherent interfaces. Int. J. Plast. 2011, 27, 1618–1639. [Google Scholar] [CrossRef]
- Dryzek, J.; Horodek, P. GEANT4 simulation of slow positron beam implantation profiles. Nucl. Instrum. Methods Phys. Res. Sect. B Beam Interact. Mater. Atoms 2008, 266, 4000–4009. [Google Scholar] [CrossRef]










© 2020 by the authors. Licensee MDPI, Basel, Switzerland. This article is an open access article distributed under the terms and conditions of the Creative Commons Attribution (CC BY) license (http://creativecommons.org/licenses/by/4.0/).
Share and Cite
Laptev, R.; Lomygin, A.; Krotkevich, D.; Syrtanov, M.; Kashkarov, E.; Bordulev, Y.; Siemek, K.; Kobets, A. Effect of Proton Irradiation on the Defect Evolution of Zr/Nb Nanoscale Multilayers. Metals 2020, 10, 535. https://doi.org/10.3390/met10040535
Laptev R, Lomygin A, Krotkevich D, Syrtanov M, Kashkarov E, Bordulev Y, Siemek K, Kobets A. Effect of Proton Irradiation on the Defect Evolution of Zr/Nb Nanoscale Multilayers. Metals. 2020; 10(4):535. https://doi.org/10.3390/met10040535
Chicago/Turabian StyleLaptev, Roman, Anton Lomygin, Dmitriy Krotkevich, Maxim Syrtanov, Egor Kashkarov, Yuriy Bordulev, Krzysztof Siemek, and Andrey Kobets. 2020. "Effect of Proton Irradiation on the Defect Evolution of Zr/Nb Nanoscale Multilayers" Metals 10, no. 4: 535. https://doi.org/10.3390/met10040535
APA StyleLaptev, R., Lomygin, A., Krotkevich, D., Syrtanov, M., Kashkarov, E., Bordulev, Y., Siemek, K., & Kobets, A. (2020). Effect of Proton Irradiation on the Defect Evolution of Zr/Nb Nanoscale Multilayers. Metals, 10(4), 535. https://doi.org/10.3390/met10040535

