Caliche and Seawater, Sources of Nitrate and Chloride Ions to Chalcopyrite Leaching in Acid Media
Abstract
1. Introduction
2. Materials and Methods
2.1. Ore Samples
2.2. Leaching Solutions
2.3. Experimental Procedure
2.3.1. Leaching Tests
2.3.2. Pretreatment Tests
3. Results and Discussions
3.1. Effect of Different Variables
3.1.1. Effect of Temperature
3.1.2. Effect of Solid/Liquid Ratio
3.1.3. Effect of Dissolvent (Process Water)
3.1.4. Effect of Particle Size
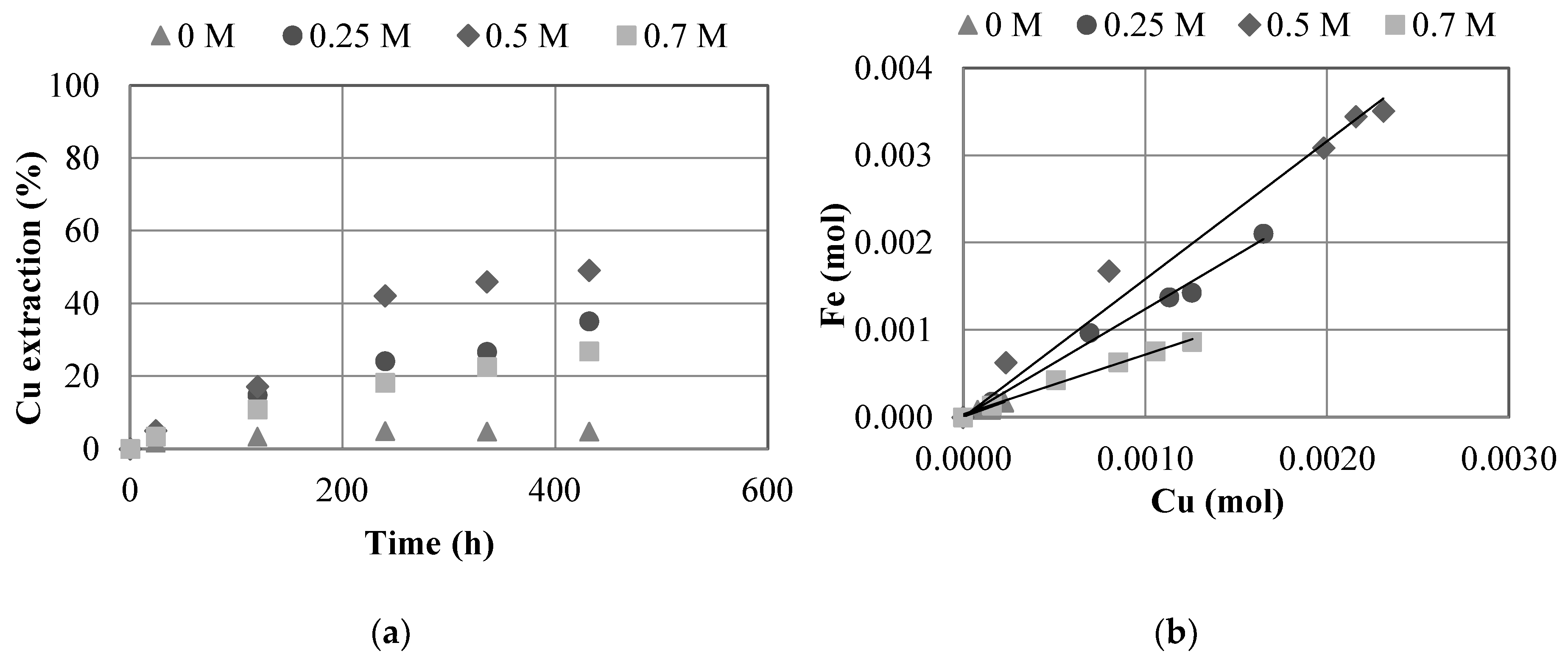
3.1.5. Effect of Nitrate Concentration
3.1.6. Effect of Sulfuric Acid Concentration
3.1.7. Effect of Chloride Concentration
3.1.8. Effect of Variation of Nitrate and Acid Concentration
3.1.9. Effect of Chalcopyrite Grade
3.1.10. Effect of Pretreatment
3.2. Leaching Kinetic
4. Conclusions
- The presence of sodium nitrate in chalcopyrite leaching using seawater produces higher recoveries of copper and iron with an ideal concentration between 0.25 and 0.5 M when 0.7 M of sulfuric acid was used at 45 °C.
- Increasing the concentration of sulfuric acid did not show a significant effect on chalcopyrite leaching using seawater between 0.25 and 0.7 M. A concentration between 0.25 and 0.5 M should be enough to provide acid and oxidative media for copper dissolution when 0.7 M of sodium nitrate was used at 45 °C.
- The solid-liquid ratio and temperature variables both showed positive effects when increased using equivalent experimental conditions. The decrease in particle size produced a greater contact surface allowing greater dissolutions of copper and iron.
- The increase of chloride concentration from 0 to 60 g/L, produced an increase in the dissolution of Cu and Fe, reaching 64% Cu at 60 g/L Cl− when 0.7 M sodium nitrate and 0.7 M sulfuric acid were used at 45 °C.
- The use of seawater and waste brine were beneficial for chalcopyrite leaching when compared to deionized water.
- Leaching of different chalcopyrite samples showed two different dissolution behaviors, 27 and 64% copper extractions. This could be attributed to the particle size distribution and degree of release of the mineral in the particle.
- The use of a pretreatment had positive effects in terms of the processing time and the copper and iron extractions. This is due to the acceleration of the dissolution of the mineral during the curing time. Copper extraction of 64.7% was obtained when a pretreated mineral was leached in comparison to when pretreatment was not performed with only 26.8% Cu extraction obtained under the same leaching conditions.
- The kinetic model used showed that the chemical reaction controls the dissolution of copper and iron and this highly influenced by temperature. The activation energy obtained was 82.6 kJ/mol.
- SEM/EDS confirmed elemental sulfur formation. This is related to the formation of a layer of elemental sulfur in the chalcopyrite particles.
Author Contributions
Funding
Acknowledgments
Conflicts of Interest
References
- Sernageomin. Anuario de la Minería de Chile 2018. Servicio Nacional de Geología y Minería; Sernageomin: Santiago, Chile, 2019; p. 269.
- Pradhan, N.; Nathsarma, K.; Rao, K.S.; Sukla, L.; Mishra, B. Heap bioleaching of chalcopyrite: A review. Miner. Eng. 2008, 21, 355–365. [Google Scholar] [CrossRef]
- Aroca, F.; Backit, A.; Jacob, J. CuproChlor®, a hydrometallurgical technology for mineral sulphides leaching. In Proceedings of the 4th International Seminar on Process Hydrometallurgy, Hydroprocess 2012, Santiago, Chile, 11–12 July 2012; pp. 96–180. [Google Scholar]
- Watling, H. Chalcopyrite hydrometallurgy at atmospheric pressure: 1. Review of acidic sulfate, sulfate–chloride and sulfate–nitrate process options. Hydrometallurgy 2013, 140, 163–180. [Google Scholar] [CrossRef]
- Ballester, A.; Córdoba, E. Hidrometalurgia de la calcopirita. In Proceedings of the Hydrocopper 2005, Santiago, Chile, 23–25 November 2005; Gecamin Digital Publications: Santiago, Chile; pp. 19–41. [Google Scholar]
- Wang, S. Copper leaching from chalcopyrite concentrates. JOM J. Miner. Met. Mater. Soc. 2005, 57, 48–51. [Google Scholar] [CrossRef]
- Córdoba, E.M.; Muñoz, J.A.; Blázquez, M.L.; González, F.; Ballester, A. Leaching of chalcopyrite with ferric ion. Part I: General aspects. Hydrometallurgy 2008, 93, 81–87. [Google Scholar] [CrossRef]
- COCHILCO. Consumo de Agua en la Minería del Cobre al 2018; Comisión Chilena del Cobre: Santiago, Chile, 2019; p. 41. [Google Scholar]
- Skrobian, M.; Havlik, T.; Ukasik, M. Effect of NaCl concentration and particle size on chalcopyrite leaching in cupric chloride solution. Hydrometallurgy 2005, 77, 109–114. [Google Scholar] [CrossRef]
- Lundström, M.; Aromaa, J.; Forsén, O. Redox potential characteristics of cupric chloride solutions. Hydrometallurgy 2009, 95, 285–289. [Google Scholar] [CrossRef]
- Ibáñez, T.; Velásquez, L. Lixiviación de la calcopirita en medios clorurados. Rev. Metal. 2013, 49, 131–144. [Google Scholar] [CrossRef]
- Velásquez, L.; Miki, H.; Nicol, M. The dissolution of chalcopyrite in chloride solutions: Part 2: Effect of various parameters on the rate. Hydrometallurgy 2010, 103, 80–85. [Google Scholar] [CrossRef]
- Velásquez-Yévenes, L.; Torres, D.; Toro, N. Leaching of chalcopyrite ore agglomerated with high chloride concentration and high curing periods. Hydrometallurgy 2018, 181, 215–220. [Google Scholar] [CrossRef]
- Watling, H. Chalcopyrite hydrometallurgy at atmospheric pressure: 2. Review of acidic chloride process options. Hydrometallurgy 2014, 146, 96–110. [Google Scholar] [CrossRef]
- Cerda, C.P.; Taboada, M.E.; Jamett, N.E.; Ghorbani, Y.; Hernández, P.C. Effect of Pretreatment on Leaching Primary Copper Sulfide in Acid-Chloride Media. Minerals 2017, 8, 1. [Google Scholar] [CrossRef]
- Lu, Z.Y.; Jeffrey, M.I.; Lawson, F. The effect of chloride ions on the dissolution of chalcopyrite in acidic solutions. Hydrometallurgy 2000, 56, 189–202. [Google Scholar] [CrossRef]
- Carneiro, M.F.C.; Leão, V.A. The role of sodium chloride on surface properties of chalcopyrite leached with ferric sulphate. Hydrometallurgy 2007, 87, 73–82. [Google Scholar] [CrossRef]
- Dutrizac, J. Elemental sulphur formation during the ferric chloride leaching of chalcopyrite. Hydrometallurgy 1990, 23, 153–176. [Google Scholar] [CrossRef]
- Havlík, T.; Škrobian, M.; Baláž, P.; Kammel, R. Leaching of chalcopyrite concentrate with ferric chloride. Int. J. Miner. Process. 1995, 43, 61–72. [Google Scholar] [CrossRef]
- Hernández, P.C.; Taboada, M.E.; Herreros, O.O.; Graber, T.A.; Ghorbani, Y. Leaching of Chalcopyrite in Acidified Nitrate Using Seawater-Based Media. Minerals 2018, 8, 238. [Google Scholar] [CrossRef]
- Sokić, M.D.; Marković, B.; Živković, D. Kinetics of chalcopyrite leaching by sodium nitrate in sulphuric acid. Hydrometallurgy 2009, 95, 273–279. [Google Scholar] [CrossRef]
- Gok, O.; Anderson, C.G. Dissolution of low-grade chalcopyrite concentrate in acidified nitrite electrolyte. Hydrometallurgy 2013, 134–135, 40–46. [Google Scholar] [CrossRef]
- Kadιoğlu, Y.Y.; Karaca, S.; Bayrakceken, S. Kinetics of pyrite oxidation in aqueous suspension by nitric acid. Fuel Process. Technol. 1995, 41, 273–287. [Google Scholar] [CrossRef]
- Pashkov, G.L.; Mikhlina, E.V.; Kholmogorov, A.G.; Mikhlin, Y.L. Effect of potential and ferric ions on lead sulfide dissolution in nitric acid. Hydrometallurgy 2002, 63, 171–179. [Google Scholar] [CrossRef]
- Valencia, J.A.; Méndez, D.A.; Cueto, J.Y.; Cisternas, L.A. Saltpeter extraction and modelling of caliche mineral heap leaching. Hydrometallurgy 2008, 90, 103–114. [Google Scholar] [CrossRef]
- Taboada, M.E.; Hernández, P.C.; Galleguillos, H.R.; Flores, E.K.; Graber, T.A. Behavior of sodium nitrate and caliche mineral in seawater: Solubility and physicochemical properties at different temperatures and concentrations. Hydrometallurgy 2012, 113–114, 160–166. [Google Scholar] [CrossRef]
- Ordóñez, J.I.; Moreno, L.; Gálvez, E.D.; Cisternas, L.A. Seawater leaching of caliche mineral in column experiments. Hydrometallurgy 2013, 139, 79–87. [Google Scholar] [CrossRef]
- Torres, M.A.; Meruane, G.E.; Graber, T.A.; Gutiérrez, P.C.; Taboada, M.E. Recovery of nitrates from leaching solutions using seawater. Hydrometallurgy 2013, 133, 100–105. [Google Scholar] [CrossRef]
- Shiers, D.; Collinson, D.; Kelly, N.; Watling, H. Copper extraction from chalcopyrite: Comparison of three non-sulfate oxidants, hypochlorous acid, sodium chlorate and potassium nitrate, with ferric sulfate. Miner. Eng. 2016, 85, 55–65. [Google Scholar] [CrossRef]
- Vračar, R.Ž.; Vučković, N.; Kamberović, Ž. Leaching of copper (I) sulphide by sulphuric acid solution with addition of sodium nitrate. Hydrometallurgy 2003, 70, 143–151. [Google Scholar] [CrossRef]
- Narangarav, T.; Nyamdelger, S.; Ariunaa, G.; Azzaya, T.; Burmaa, G. Dissolution behavior of copper concentrate in acidic media using nitrate ions. Mong. J. Chem. 2014, 15, 79–84. [Google Scholar] [CrossRef]
- Tsogtkhangai, D.; Mamyachenkov, S.V.; Anisimova, O.S.; Naboichenko, S.S. Kinetics of leaching of copper concentrates by nitric acid. Russ. J. Non. Ferrous Met. 2011, 52, 469–472. [Google Scholar] [CrossRef]
- Arias, J.A. Heap Leaching Copper Ore Using Sodium Nitrate. U.S. Patent 6.569.391 B1, 27 May 2003. [Google Scholar]
- Hernández, P.C.; Dupont, J.; Herreros, O.O.; Jimenez, Y.P.; Torres, C.M. Accelerating copper leaching from sulfide ores in acid-nitrate-chloride media using agglomeration and curing as pretreatment. Minerals 2019, 9, 250. [Google Scholar] [CrossRef]
- Kanari, N.; Gaballah, I.; Allain, E.; Menad, N. Chlorination of chalcopyrite concentrates. Metall. Mater. Trans. B 1999, 30, 567–576. [Google Scholar] [CrossRef]
- Hernández, P.; Taboada, M.; Herreros, O.; Torres, C.; Ghorbani, Y. Chalcopyrite dissolution using seawater-based acidic media in the presence of oxidants. Hydrometallurgy 2015, 157, 325–332. [Google Scholar] [CrossRef]
- Torres, C.M.; Ghorbani, Y.; Hernández, P.C.; Justel, F.J.; Aravena, M.I.; Herreros, O.O. Cupric and Chloride Ions: Leaching of Chalcopyrite Concentrate with Low Chloride Concentration Media. Minerals 2019, 9, 639. [Google Scholar] [CrossRef]
- Lundström, M.; Liipo, J.; Aromaa, J. Dissolution of copper and iron from sulfide concentrates in cupric chloride solution. Int. J. Miner. Process. 2012, 102, 13–18. [Google Scholar] [CrossRef]
- Senanayake, G. A review of chloride assisted copper sulfide leaching by oxygenated sulfuric acid and mechanistic considerations. Hydrometallurgy 2009, 98, 21–32. [Google Scholar] [CrossRef]
- Tchoumou, M.; Roynette, M. Leaching of complex sulphide concentrate in acidic cupric chloride solutions. Trans. Nonferrous Met. Soc. China 2007, 17, 423–428. [Google Scholar] [CrossRef]
- Velásquez-Yévenes, L.; Quezada-Reyes, V. Influence of seawater and discard brine on the dissolution of copper ore and copper concentrate. Hydrometallurgy 2018, 180, 88–95. [Google Scholar] [CrossRef]
- Yoo, K.; Kim, S.-K.; Lee, J.-C.; Ito, M.; Tsunekawa, M.; Hiroyoshi, N. Effect of chloride ions on leaching rate of chalcopyrite. Miner. Eng. 2010, 23, 471–477. [Google Scholar] [CrossRef]
- Dreisinger, D.; Abed, N. A fundamental study of the reductive leaching of chalcopyrite using metallic iron part I: Kinetic analysis. Hydrometallurgy 2002, 66, 37–57. [Google Scholar] [CrossRef]
- Sokic, M.D.; Markovic, B.R.; Matkovic, V.L.; Strbac, N.D.; Zivkovic, D.T. Mechanism of chalcopyrite leaching in oxidative sulphuric acid solution. J. Chem. Chem. Eng. 2011, 5, 37–41. [Google Scholar]
- Miki, H.; Nicol, M. The dissolution of chalcopyrite in chloride solutions. IV. The kinetics of the auto-oxidation of copper(I). Hydrometallurgy 2011, 105, 246–250. [Google Scholar] [CrossRef]
- Sokić, M.D.; Matković, V.L.; Marković, B.R.; Štrbac, N.D.; Živković, D.T. Passivation of chalcopyrite during the leaching with sulphuric acid solution in presence of sodium nitrate. Hem. Ind. 2010, 64, 343–350. [Google Scholar]
- Sokić, M.; Marković, B.; Matković, V.; Živković, D.; Štrbac, N.; Stojanović, J. Kinetics and mechanism of sphalerite leaching by sodium nitrate in sulphuric acid solution. J. Min. Metall. Sect. B Metall. 2012, 48, 185–195. [Google Scholar] [CrossRef]
- Bogorodskii, E.; Rybkin, S.; Barankevich, V. Kinetics of the interaction of iron, copper, and nickel sulfides with a sodium nitrate-sodium carbonate mixture. Russ. J. Inorg. Chem. 2011, 56, 831–834. [Google Scholar] [CrossRef]
- Senanayake, G. Review of theory and practice of measuring proton activity and pH in concentrated chloride solutions and application to oxide leaching. Miner. Eng. 2007, 20, 634–645. [Google Scholar] [CrossRef]
- Al-Harahsheh, M.; Kingman, S.; Rutten, F.; Briggs, D. ToF-SIMS and SEM study on the preferential oxidation of chalcopyrite. Int. J. Miner. Process. 2006, 80, 205–214. [Google Scholar] [CrossRef]
- Awatey, B.; Skinner, W.; Zanin, M. Incorporating fluidised-bed flotation into a conventional flotation flowsheet: A focus on energy implications of coarse particle recovery. Powder Technol. 2015, 275, 85–93. [Google Scholar] [CrossRef]
- Fosu, S.; Skinner, W.; Zanin, M. Detachment of coarse composite sphalerite particles from bubbles in flotation: Influence of xanthate collector type and concentration. Miner. Eng. 2015, 71, 73–84. [Google Scholar] [CrossRef]












| Sample | Cu (wt.%) | Fe (wt.%) | 
|---|---|---|
| A | 29.9 | 25.6 | 
| B | 25.6 | 32.7 | 
| C | 18.8 | 28.1 | 
| D | 23.6 | 33.1 | 
| E | 21.2 | 19.6 | 
| Chemical Formula | Mineral | % | ||||
|---|---|---|---|---|---|---|
| A | B | C | D | E | ||
| CuFeS2 | Chalcopyrite | 85 | 90 | 87 | 89 | 45 | 
| FeS2 | Pyrite | 2.1 | 8.1 | 11.3 | 11.2 | - | 
| SiO2 | Quartz | 9.2 | 2.4 | 1.6 | - | 28.9 | 
| K0.4Na0.6Cl | Potassium-halite | 3.5 | - | - | - | - | 
| NaAlSi3O8 | Albite | - | - | - | 0.1 | - | 
| CaSO4 | Anhydrite | - | - | - | - | 14.8 | 
| CaSO4⋅2H2O | Gypsum | - | - | - | - | 7.2 | 
| KAl2(Si3Al)O10(OH)2 | Muscovite | - | - | - | - | 4.1 | 
| Total | 100 | 100 | 100 | 100 | 100 | |
| Dissolvent | Ionic Species | ||||||||
|---|---|---|---|---|---|---|---|---|---|
| Na+ | K+ | Mg2+ | Ca2+ | Cu2+ | Cl− | SO42− | NO3− | HCO3− | |
| Seawater | 11,250 | 401 | 1256 | 427 | <0.1 | 20,289 | 2758 | 2.4 | 149 | 
| Brine | 19,768 | 746 | 2297 | 355 | 0.1 | 36,074 | 5063 | 6.4 | 236 | 
| N° | H2SO4 (M) | NaNO3 (M) | T (°C) | S/L Ratio (g/L) | Size (µm) | Time (h) | Dissolvent | Sample | Other | Cu (%) | Fe (%) | 
|---|---|---|---|---|---|---|---|---|---|---|---|
| 1 | 0.5 | 0.5 | 45 | 2 | −150 + 75 | 168 | seawater | A | - | 10.1 | 6.7 | 
| 2 | 0.1 | 0.1 | 45 | 2 | −150 + 75 | 168 | seawater | A | - | 4.3 | 3.4 | 
| 3 | 1.0 | 1.0 | 45 | 2 | −150 + 75 | 288 | seawater | A | - | 26.3 | 24.3 | 
| 4 | 0.7 | 0.7 | 45 | 2 | −150 + 75 | 432 | distilledwater | A | - | 7.3 | 9.5 | 
| 5 | 0.7 | 0.7 | 45 | 2 | −150 + 75 | 432 | seawater | A | - | 26.8 | 18.8 | 
| 6 | 0.5 | 0.5 | 45 | 2 | −150 + 75 | 432 | seawater | A | - | 16.0 | 11.96 | 
| 7 | 0.7 | 0.7 | 45 | 2 | −250 + 150 | 432 | seawater | A | - | 6.7 | 4.2 | 
| 8 | 0.7 | 0.7 | 45 | 2 | −75 | 432 | seawater | A | - | 55.2 | 43.1 | 
| 9 | 0.7 | 0.7 | 65 | 2 | −150 + 75 | 432 | seawater | A | - | 92.3 | 88.9 | 
| 10 | 0.7 | 0.7 | 55 | 2 | −150 + 75 | 432 | seawater | A | - | 60.0 | 56.4 | 
| 11 | 0.7 | 0.7 | 45 | 5 | −150 + 75 | 432 | seawater | A | - | 55.4 | 49.7 | 
| 12 | 0.7 | 0.7 | 45 | 10 | −150 + 75 | 432 | seawater | A | - | 78.8 | 73.5 | 
| 13 | 0.7 | 0.7 | 45 | 2 | −150 + 75 | 432 | seawater | A | Pretreatment * | 55.9 | 54.9 | 
| 14 | 0.7 | 0.7 | 45 | 2 | −150 + 75 | 432 | seawater | A | Pretreatment ** | 64.7 | 57.0 | 
| 15 | 0.7 | 0.7 | 45 | 2 | −150 + 75 | 432 | seawater | A | [Cl−] = 60 g/L | 64.4 | 73.5 | 
| 16 | 0.7 | 0.7 | 45 | 2 | −150 + 75 | 432 | brine | A | - | 49.9 | 64.8 | 
| 17 | 0.7 | 0.7 | 45 | 2 | −150 + 75 | 432 | seawater | B | - | 46.5 | 42.7 | 
| 18 | 0.7 | 0.7 | 45 | 2 | −150 + 75 | 432 | seawater | C | - | 27.2 | 33.4 | 
| 19 | 0.25 | 0.7 | 45 | 2 | −150 + 75 | 432 | seawater | A | - | 15.7 | 13.4 | 
| 20 | 0.5 | 0.7 | 45 | 2 | −150 + 75 | 432 | seawater | A | - | 17.8 | 14.4 | 
| 21 | 0.7 | 0.7 | 45 | 2 | −150 + 75 | 432 | seawater | D | - | 27.97 | 53.3 | 
| 22 | 0.7 | 0.7 | 45 | 2 | −150 + 75 | 432 | seawater | E | - | 67.4 | 68.5 | 
| 23 | 0.7 | 0.0 | 45 | 2 | −150 + 75 | 432 | seawater | A | - | 4.7 | 4.1 | 
| 24 | 0.7 | 0.25 | 45 | 2 | −150 + 75 | 432 | seawater | A | - | 35.1 | 45.9 | 
| 25 | 0.7 | 0.5 | 45 | 2 | −150 + 75 | 432 | seawater | A | - | 45.9 | 67.2 | 
© 2020 by the authors. Licensee MDPI, Basel, Switzerland. This article is an open access article distributed under the terms and conditions of the Creative Commons Attribution (CC BY) license (http://creativecommons.org/licenses/by/4.0/).
Share and Cite
Hernández, P.; Gahona, G.; Martínez, M.; Toro, N.; Castillo, J. Caliche and Seawater, Sources of Nitrate and Chloride Ions to Chalcopyrite Leaching in Acid Media. Metals 2020, 10, 551. https://doi.org/10.3390/met10040551
Hernández P, Gahona G, Martínez M, Toro N, Castillo J. Caliche and Seawater, Sources of Nitrate and Chloride Ions to Chalcopyrite Leaching in Acid Media. Metals. 2020; 10(4):551. https://doi.org/10.3390/met10040551
Chicago/Turabian StyleHernández, Pía, Giovanni Gahona, Monserrat Martínez, Norman Toro, and Jonathan Castillo. 2020. "Caliche and Seawater, Sources of Nitrate and Chloride Ions to Chalcopyrite Leaching in Acid Media" Metals 10, no. 4: 551. https://doi.org/10.3390/met10040551
APA StyleHernández, P., Gahona, G., Martínez, M., Toro, N., & Castillo, J. (2020). Caliche and Seawater, Sources of Nitrate and Chloride Ions to Chalcopyrite Leaching in Acid Media. Metals, 10(4), 551. https://doi.org/10.3390/met10040551
 
        




 
       