Modeling Mechanical Properties of 25Cr-20Ni-0.4C Steels over a Wide Range of Temperatures by Neural Networks
Abstract
1. Introduction
2. Materials and Methods
3. Model Establishment: Defining and Developing the ANN Model
4. Results and Discussion
4.1. Optimization of Model Parameters
4.2. Weights Distribution during Training
4.3. Performance of the Optimum Model
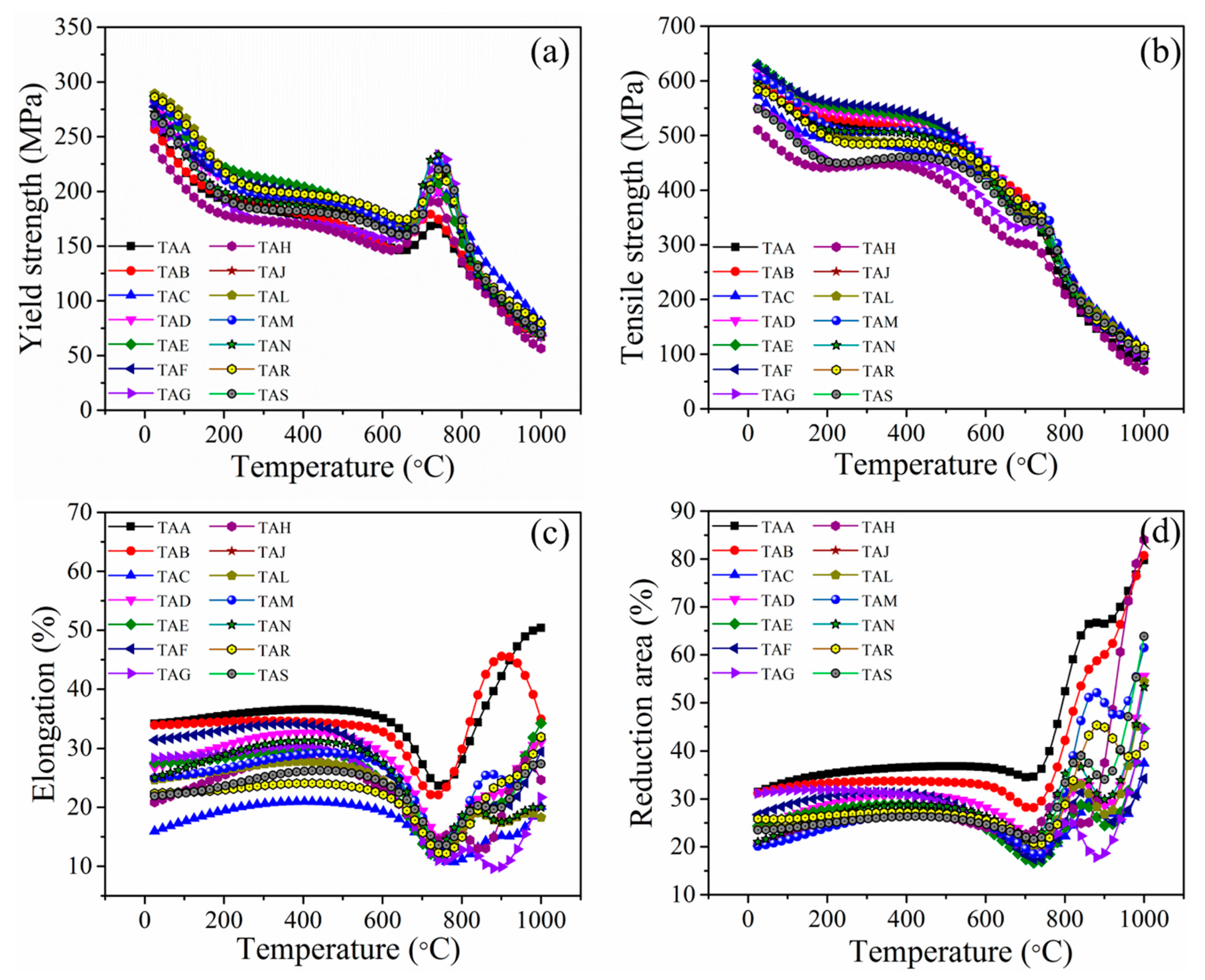
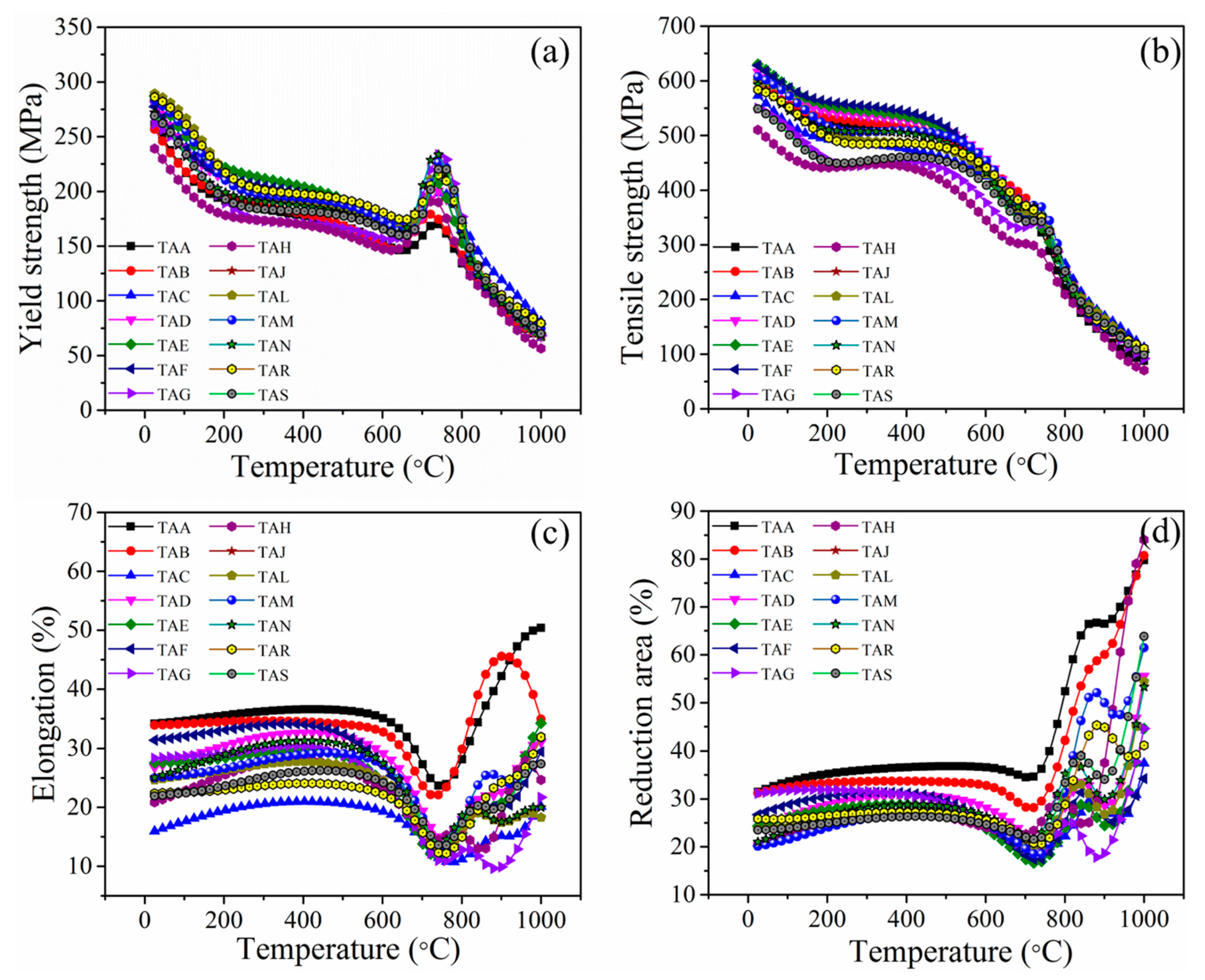
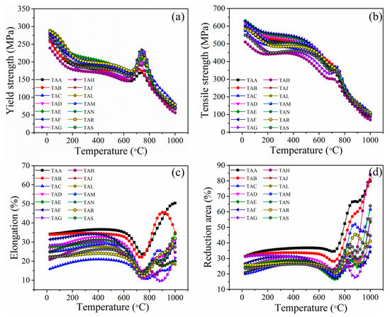
4.4. Model Predictions: Effect of Service Temperature on Mechanical Properties
4.5. Model Predictions: Relative Importance Index of Composition on Properties at Various Service Temperatures
4.6. Design of User-Friendly Graphical User Interface
5. Conclusions
Supplementary Materials
Author Contributions
Acknowledgments
Conflicts of Interest
References
- Sucre, Y.R.; Vogt, J.B.; Iost, A.; Najjar, D.; Chumlyakov, Y.I. Mechanical properties of austenitic stainless steel single crystals: Influence of nitrogen and hydrogen content. Metall. Mater. Trans. A 2000, 31, 153–161. [Google Scholar] [CrossRef]
- McGuire, M.F. Austenitic stainless steels. In Encyclopedia of Materials: Science and Technology; Buschow, K.H.J., Cahn, R.W., Flemings, M.C., Ilschner, B., Kramer, E.J., Mahajan, S., Veyssière, P., Eds.; Elsevier: Oxford, UK, 2001; Volume 4, pp. 406–410. [Google Scholar]
- Zhou, Y.; Liu, Y.; Zhou, X.; Liu, C.; Yu, J.; Huang, Y.; Li, H.; Li, W. Precipitation and hot deformation behavior of austenitic heat-resistant steels: A review. J. Mater. Sci. Technol. 2017, 33, 1448–1456. [Google Scholar] [CrossRef]
- Vujic, S.; Sandström, R.; Sommitsch, C. Precipitation evolution and creep strength modelling of 25Cr20NiNbN austenitic steel. Mater. High Temp. 2015, 32, 607–618. [Google Scholar] [CrossRef]
- Wachter, O.; Brümmer, G. Experiences with austenitic steels in boiling water reactors. Nucl. Eng. Des. 1997, 168, 35–52. [Google Scholar] [CrossRef]
- Moteshakker, A.; Danaee, I. Microstructure and Corrosion Resistance of Dissimilar Weld-Joints between Duplex Stainless Steel 2205 and Austenitic Stainless Steel 316L. J. Mater. Sci. Technol. 2016, 32, 282–290. [Google Scholar] [CrossRef]
- Sun, H.; Sun, Y.; Zhang, R.; Wang, M.; Tang, R.; Zhou, Z. Hot deformation behavior and microstructural evolution of a modified 310 austenitic steel. Mater. Des. 2014, 64, 374–380. [Google Scholar] [CrossRef]
- Steinhauser, M.O.; Hiermaier, S. A review of computational methods in materials science: examples from shock-wave and polymer physics. Int. J. Mol. Sci. 2009, 10, 5135–5216. [Google Scholar] [CrossRef] [PubMed]
- Sourmail, T.; Bhadeshia, H.K.D.H.; MacKay, D.J.C. Neural network model of creep strength of austenitic stainless steels. Mater. Sci. Tech. 2002, 18, 655–663. [Google Scholar] [CrossRef]
- Cui, Y.; Sauzay, M.; Caes, C.; Bonnaillie, P.; Arnal, B.; Cabet, C.; Blat-Yrieix, M.; Dubiez-Legoff, S. Modeling and experimental study of long term creep damage in austenitic stainless steels. Eng. Fail. Anal. 2015, 58, 452–464. [Google Scholar] [CrossRef]
- Feng, W.; Yang, S. Thermomechanical processing optimization for 304 austenitic stainless steel using artificial neural network and genetic algorithm. Appl. Phys. A 2016, 122, 1018. [Google Scholar] [CrossRef]
- Reddy, N.S.; Krishnaiah, J.; Hong, S.-G.; Lee, J.S. Modeling medium carbon steels by using artificial neural networks. Mater. Sci. Eng. A 2009, 508, 93–105. [Google Scholar] [CrossRef]
- Narayana, P.L.; Kim, S.-W.; Hong, J.-K.; Reddy, N.S.; Yeom, J.-T. Estimation of Transformation Temperatures in Ti–Ni–Pd Shape Memory Alloys. Met. Mater. Int. 2018, 24, 919–925. [Google Scholar] [CrossRef]
- Reddy, N.S.; Rao, A.K.P.; Chakraborty, M.; Murty, B.S. Prediction of grain size of Al–7Si Alloy by neural networks. Mater. Sci. Eng. A 2005, 391, 131–140. [Google Scholar] [CrossRef]
- Lippman, R. An introduction to computing with neural nets. IEEE ASSP Mag. 1987, 4, 4–22. [Google Scholar] [CrossRef]
- Hassoun, M.H. Fundamentals of artificial neural networks. In Proceedings of the IEEE; MIT Press: New York, NY, USA, 1995. [Google Scholar]
- Reddy, N.S.; Panigrahi, B.B.; Ho, C.M.; Kim, J.H.; Lee, C.S. Artificial neural network modeling on the relative importance of alloying elements and heat treatment temperature to the stability of α and β phase in titanium alloys. Comput. Mater. Sci. 2015, 107, 175–183. [Google Scholar] [CrossRef]
- Reddy, N.S.; Lee, C.S.; Kim, J.H.; Semiatin, S.L. Determination of the beta-approach curve and beta-transus temperature for titanium alloys using sensitivity analysis of a trained neural network. Mater. Sci. Eng. A 2006, 434, 218–226. [Google Scholar] [CrossRef]
- Gardner, L.; Insausti, A.; Ng, K.; Ashraf, M. Elevated temperature material properties of stainless steel alloys. J. Constr. Steel Res. 2010, 66, 634–647. [Google Scholar] [CrossRef]
- Horak, J.; Sikka, V.; Raske, D. Review of mechanical properties and microstructures of Types 304 and 316 stainless steel after long-term aging. In Proceedings of the IAEA Specialists on Mechanical Properties of Structural Materials, Chester, UK, 10 October 1983. [Google Scholar]
- Sadan, M.K.; Ahn, H.-J.; Chauhan, G.S.; Reddy, N.S. Quantitative estimation of poly(methyl methacrylate) nano-fiber membrane diameter by artificial neural networks. Eur. Polym. J. 2016, 74, 91–100. [Google Scholar] [CrossRef]







© 2020 by the authors. Licensee MDPI, Basel, Switzerland. This article is an open access article distributed under the terms and conditions of the Creative Commons Attribution (CC BY) license (http://creativecommons.org/licenses/by/4.0/).
Share and Cite
Narayana, P.L.; Kim, J.H.; Maurya, A.K.; Park, C.H.; Hong, J.-K.; Yeom, J.-T.; Reddy, N.S. Modeling Mechanical Properties of 25Cr-20Ni-0.4C Steels over a Wide Range of Temperatures by Neural Networks. Metals 2020, 10, 256. https://doi.org/10.3390/met10020256
Narayana PL, Kim JH, Maurya AK, Park CH, Hong J-K, Yeom J-T, Reddy NS. Modeling Mechanical Properties of 25Cr-20Ni-0.4C Steels over a Wide Range of Temperatures by Neural Networks. Metals. 2020; 10(2):256. https://doi.org/10.3390/met10020256
Chicago/Turabian StyleNarayana, P. L., Jae H. Kim, A. K. Maurya, Chan Hee Park, Jae-Keun Hong, Jong-Taek Yeom, and N. S. Reddy. 2020. "Modeling Mechanical Properties of 25Cr-20Ni-0.4C Steels over a Wide Range of Temperatures by Neural Networks" Metals 10, no. 2: 256. https://doi.org/10.3390/met10020256
APA StyleNarayana, P. L., Kim, J. H., Maurya, A. K., Park, C. H., Hong, J.-K., Yeom, J.-T., & Reddy, N. S. (2020). Modeling Mechanical Properties of 25Cr-20Ni-0.4C Steels over a Wide Range of Temperatures by Neural Networks. Metals, 10(2), 256. https://doi.org/10.3390/met10020256
