Leaching of Silver and Gold Contained in a Sedimentary Ore, Using Sodium Thiosulfate; A Preliminary Kinetic Study
Abstract
1. Introduction
2. Materials and Methods
2.1. Materials
2.2. Experimental Procedure
3. Results
3.1. Mineral Characterization
3.2. Kinetic Study of Gold and Silver Leaching
3.2.1. Nature and Stoichiometry of Reactions
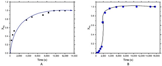
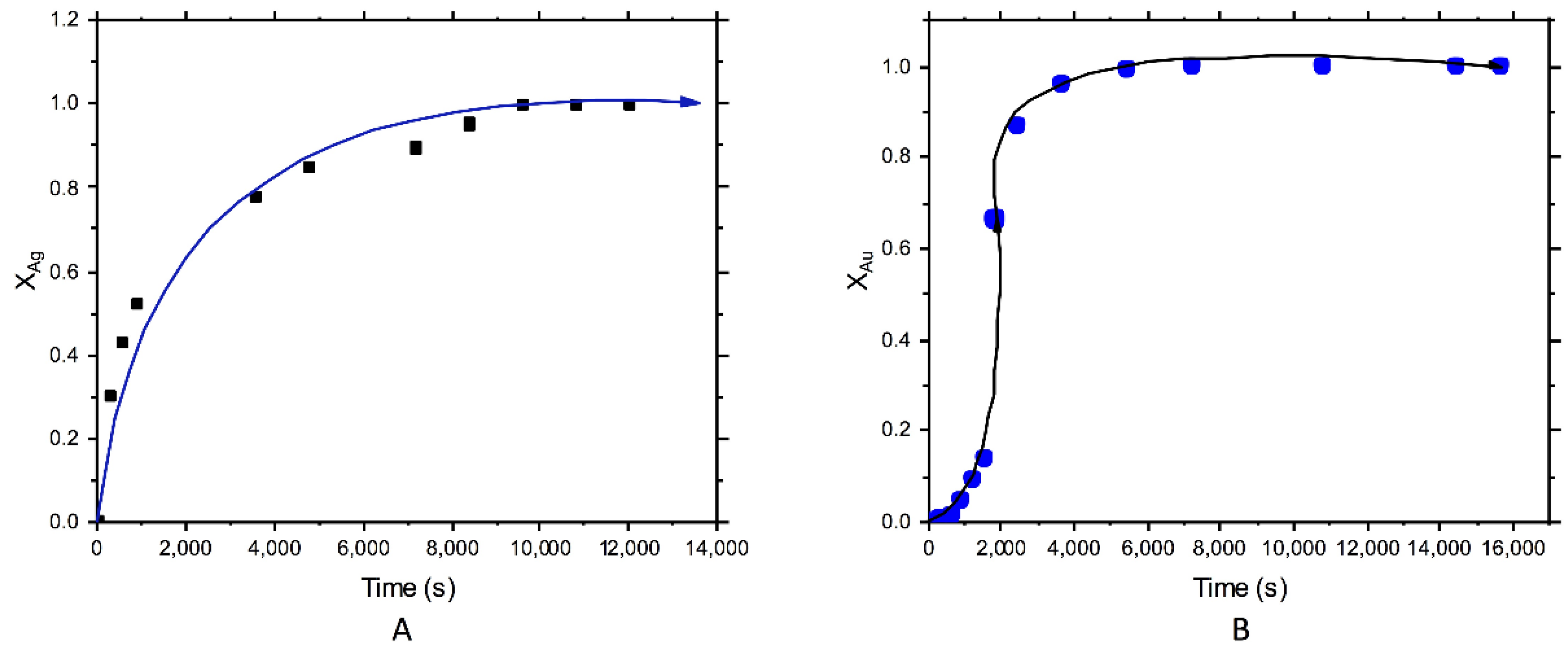
3.2.2. Stoichiometry of Leaching of Gold and Silver
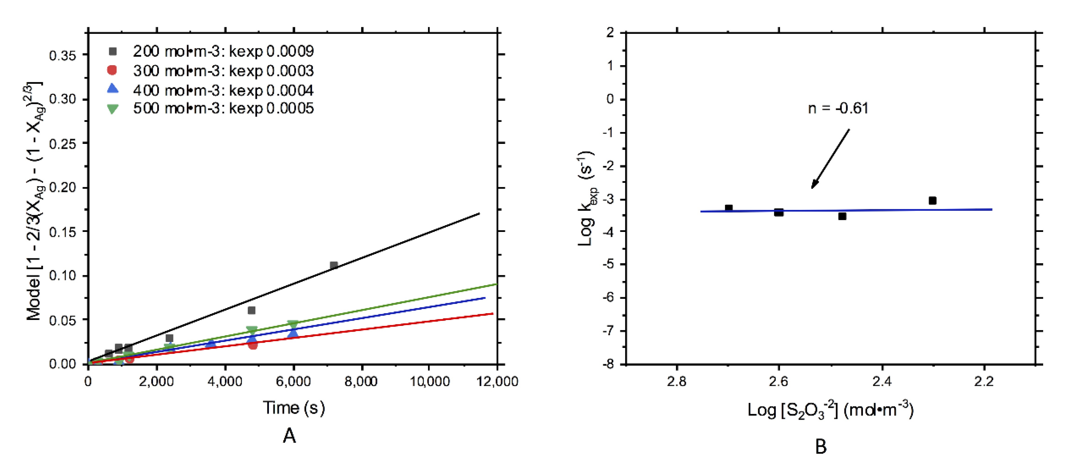
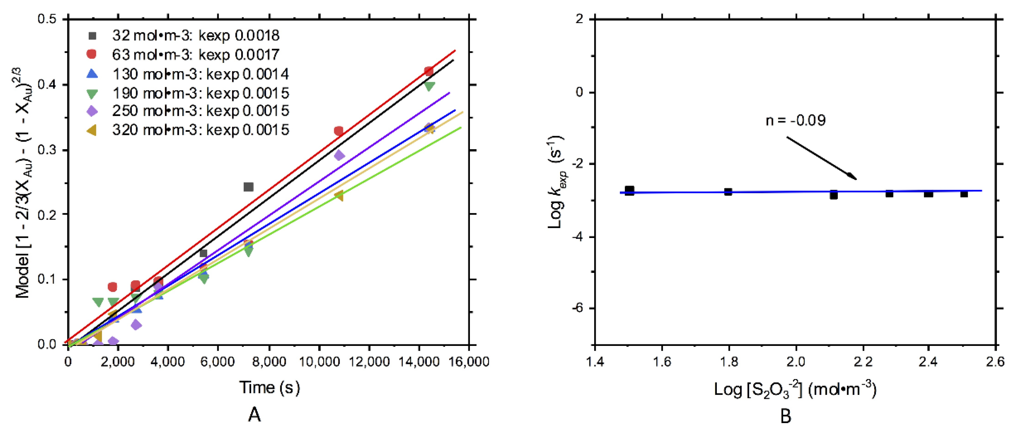
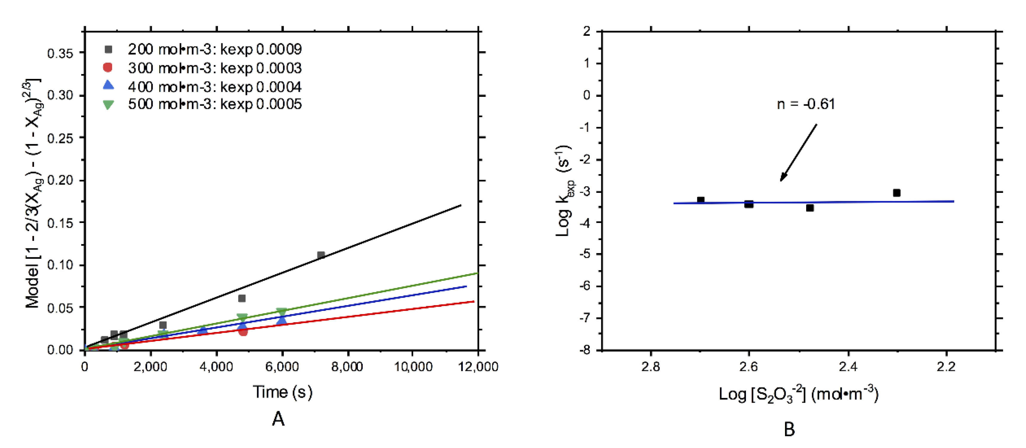
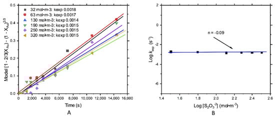
3.2.3. Effect of the Concentration of [Na2S2O3]
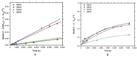
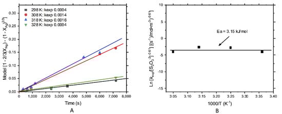
3.2.4. Effect of the Temperature
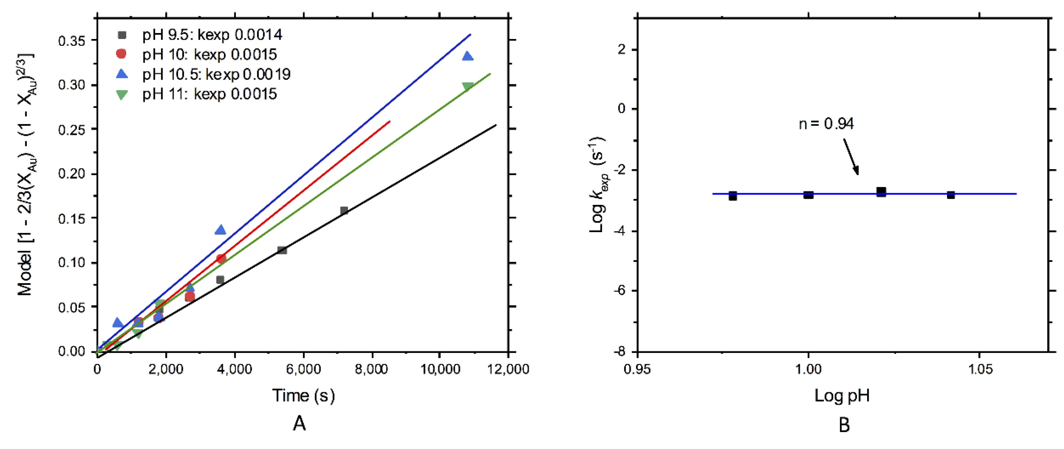
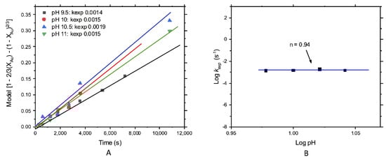
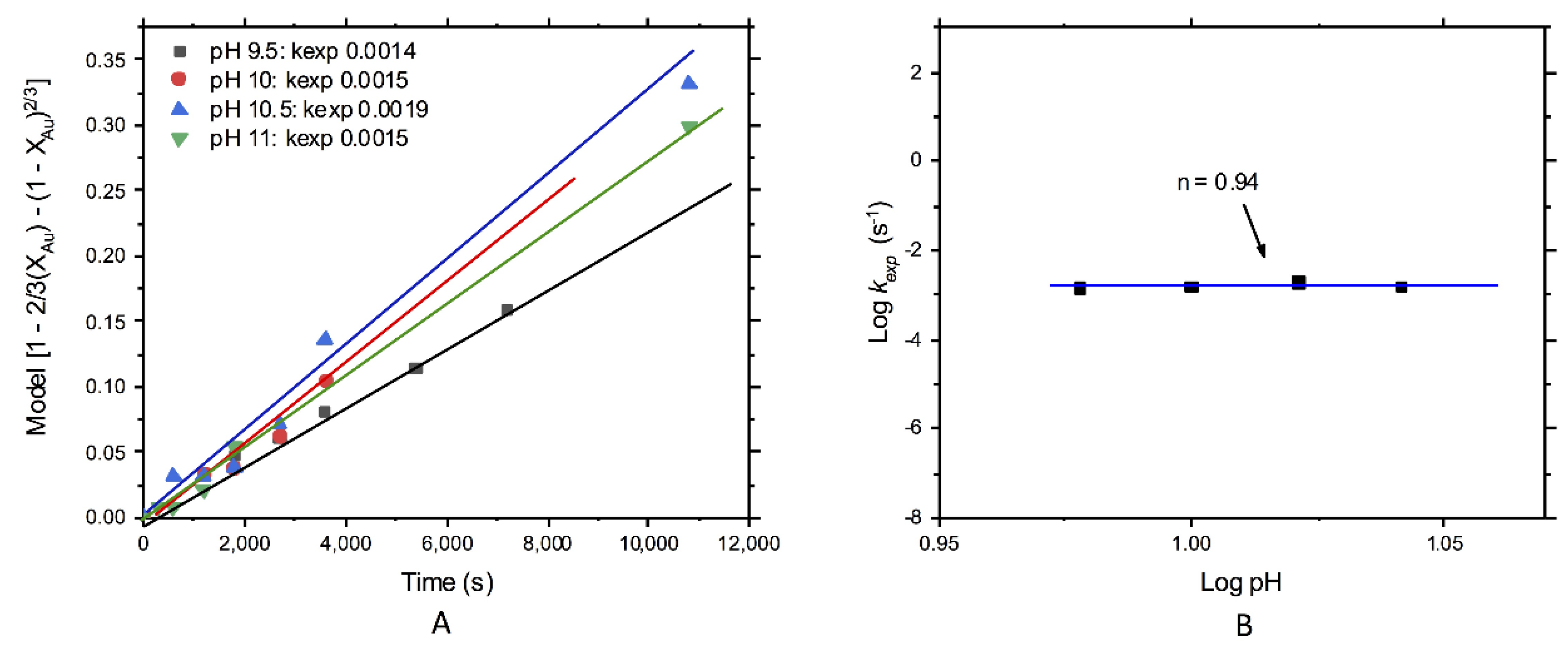
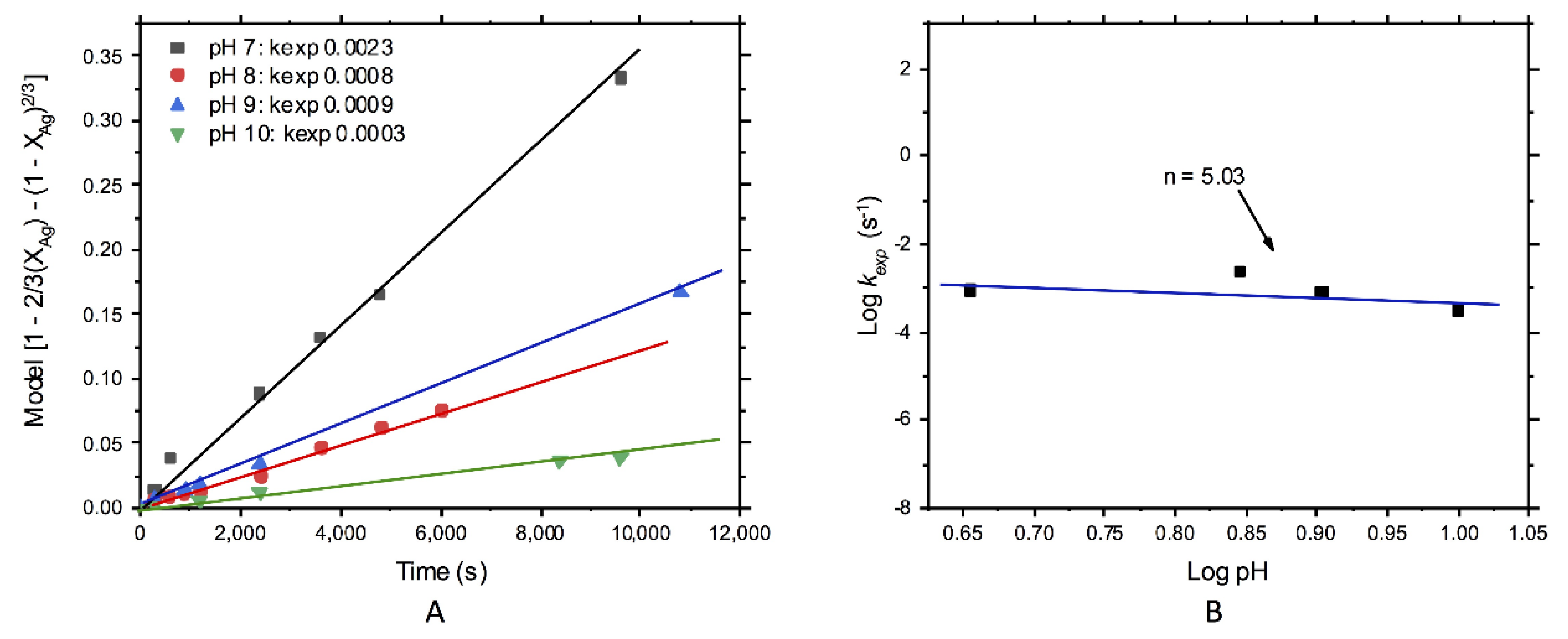
3.2.5. Effect of the pH
4. Discussion
Author Contributions
Funding
Acknowledgments
Conflicts of Interest
References
- Hilson, G.; Monhemius, A.J. Alternatives to cyanide in the gold mining industry: What prospects for the future? J. Clean. Prod. 2006, 14, 1158–1167. [Google Scholar] [CrossRef]
- Muir, D.M. A review of the selective leaching of gold from oxidized copper-gold ores with ammonia-cyanide and new insights for plant control and operation. Miner. Eng. 2011, 24, 576–582. [Google Scholar] [CrossRef]
- Jiang, T. Chemistry of Extractive Metallurgy of Gold; Hunan Science and Technology Press: Changsha, China, 1998. [Google Scholar]
- Hasab, M.G.; Rashchi, F.; Raygan, S. Chloride-hypochlorite leaching and hydrochloric acid washing in multi-stages for extraction of gold from a refractory concentrate. Hydrometallurgy 2014, 142, 56–59. [Google Scholar] [CrossRef]
- Geyne, A.R.; Fries, C. Geology and Mineral Deposits of the Pachuca—Real Del Monte District, State of Hidalgo, 5-E.; Consejo de Recursos Naturales no Renovables: Pachuca de Soto, Mexico, 1963; Unpublished work. [Google Scholar]
- Hasab, M.G.; Raygan, S.; Rashchi, F. Chloride-hypochlorite leaching of gold from a mechanically activated refractory sulfide concentrate. Hydrometallurgy 2013, 138, 59–64. [Google Scholar] [CrossRef]
- Abbruzzese, C.; Fornari, P.; Massidda, R.; Veglio, F. Thiosulphate leaching for gold hydrometallurgy. Hydrometallurgy 1995, 39, 265–276. [Google Scholar] [CrossRef]
- Xu, B.; Yang, Y.; Li, Q.; Li, G.; Jiang, T. Fluidized roasting-stage leaching of a silver and gold bearing polymetallic sulfide concentrate. Hydrometallurgy 2014, 147, 79–82. [Google Scholar] [CrossRef]
- Bin, X.; Wenhao, K.; Qian, L.; Yongbin, Y.; Tao, J.; Xiaoliang, L. A review of thiosulfate leaching of gold: Focus on thiosulfate consumption and gold recovery from pregnant solution. Metals 2017, 7, 222. [Google Scholar]
- Zheng, S.; Wang, Y.; Chai, L. Research status and prospect of gold leaching in alkaline thiourea solution. Miner. Eng. 2006, 19, 1301–1306. [Google Scholar] [CrossRef]
- Chen, X. Associated Sulfide Minerals in Thiosulfate Leaching of Gold: Problems and Solutions. Ph.D. Thesis, Queen’s University, Kingston, ON, Canada, September 2008. [Google Scholar]
- Hernández, A.J.; Rivera, L.I.; Patiño, C.F.; Juárez, T.J. Estudio cinético de la lixiviación de plata en el sistema S2O−23–O2–Cu2+ contenidos en residuos minero-metalúrgicos. Inf. Tecnol. 2013, 24, 51–58. (In Spanish) [Google Scholar] [CrossRef]
- Rivera, L.I. Estudio Cinético de la Precipitación/Lixiviación de Plata en el Sistema O2–S2O−23−S2O−24. Ph.D. Thesis, Universitat de Barcelona, Barcelona, Spain, 2003. (In Spanish). [Google Scholar]
- Schmitz, P.A.; Duyvesteyn, S.; Johnson, W.P.; Enloe, L.; McMullen, J. Ammoniacal thiosulfate and sodium cyanide leaching of pre-robbing Goldstrike ore carbonaceous matter. Hydrometallurgy 2001, 60, 25–40. [Google Scholar] [CrossRef]
- Rivera, L.I. Síntesis, Caracterización y Reactividad Alcalina de Compuestos Jarositicos Argentíferos Jarosita de Potasio—Natrojarosita. Bachelor´s Thesis, Universidad Autónoma del Estado de Hidalgo, Pachuca, Mexico, 1994. (In Spanish). [Google Scholar]
- Feng, D.; Van Deventer, J.S.J. Thiosulphate leaching of gold in the presence of carboxymethyl cellulose (CMC). Miner. Eng. 2011, 24, 115–121. [Google Scholar] [CrossRef]
- Lampinen, M.; Laari, A.; Turunen, I. Ammoniacal thiosulfate leaching of pressure oxidized sulfide gold concentrate with low reagent consumption. Hydrometallurgy 2015, 151, 1–9. [Google Scholar] [CrossRef]
- Xu, B.; Yang, Y.; Li, Q.; Jiang, T.; Li, G. Stage leaching of a complex polymetallic sulfide concentrate: A focus on the extractions of Ag and Au. Hydrometallurgy 2016, 159, 87–94. [Google Scholar] [CrossRef]
- Jian, W.; Wei, W.; Kaiwei, D.; Yan, F.; Feng, X.W.; Wei, W.; Kaiwei, D.; Yan, F.; Feng, X. Research on leaching of carbonaceous gold ore with copper-ammoniathiosulfate solution. Miner. Eng. 2019, 137, 232–240. [Google Scholar]
- Aylmore, M.G.; Muir, D.M. Thiosulfate leaching of gold—A review. Miner. Eng. 2001, 14, 135–174. [Google Scholar] [CrossRef]
- Grosse, A.C.; Dicinoski, G.W.; Shaw, M.J.; Haddad, P.R. Leaching and recovery of gold using ammoniacal thiosulfate leach liquors (a review). Hydrometallurgy 2003, 69, 1–21. [Google Scholar] [CrossRef]
- Muir, D.M.; Aylmore, M.G. Thiosulphate as an alternative to cyanide for gold processing–issues and impediments. Miner. Process. Extr. Metall. 2004, 113, 2–12. [Google Scholar] [CrossRef]
- Zhang, X.M.; Senanayake, G. A review of ammoniacal thiosulfate leaching of gold: An update useful for further research in Non-cyanide gold lixiviants. Miner. Process. Extr. Metall. Rev. 2016, 37, 385–411. [Google Scholar] [CrossRef]
- Chandra, I.; Jeffrey, M.I. An electrochemical study of the effect of additives and electrolyte on the dissolution of gold in thiosulfate solutions. Hydrometallurgy 2004, 73, 305–312. [Google Scholar] [CrossRef]
- Senanayake, G. The role of ligands and oxidants in thiosulfate leaching of gold. Gold Bull. 2005, 38, 170–179. [Google Scholar] [CrossRef]
- Senanayake, G. Gold leaching by copper (II) in ammoniacal thiosulfate solutions in the presence of additives. Part I: A review of the effect of hard-soft and Lewis acid-base properties and interactions of ions. Hydrometallurgy 2012, 115–116, 1–20. [Google Scholar] [CrossRef]
- Senanayake, G. Gold leaching by copper (II) in ammoniacal thiosulfate solutions in the presence of additives. Part II: Effect of residual Cu (II), pH and redox potentials on reactivity of colloidal gold. Hydrometallurgy 2012, 115–116, 21–29. [Google Scholar] [CrossRef]
- Rivera, I.; Patiño, F.; Roca, A.; Cruells, M. Kinetics of metallic silver leaching in the O2–thiosulfate system. Hydrometallurgy 2015, 156, 63–70. [Google Scholar] [CrossRef]
- Briones, R.; Lapidus, G.T. The leaching of silver sulfide with the thiosulfate– ammonia–cupric ion system. Hydrometallurgy 1998, 50, 234–260. [Google Scholar] [CrossRef]
- Deutsch, J.L.; Dreisinger, D.B. Silver sulfide leaching with thiosulfate in the presence of additives part I: Copper–ammonia leaching. Hydrometallurgy 2013, 137, 156–164. [Google Scholar] [CrossRef]
- Puente-Siller, D.M.; Fuentes-Aceituno, J.C.; Nava-Alonso, F. A kinetic–thermodynamic study of silver leaching in thiosulfate–copper–ammonia–EDTA solutions. Hydrometallurgy 2013, 134–135, 124–131. [Google Scholar] [CrossRef]
- Puente-Siller, D.M.; Fuentes Aceituno, J.C.; Nava-Alonso, F. Study of thiosulfate leaching of silver sulfide in the presence of EDTA and sodium citrate. Effect of NaOH and NH4 OH. Hydrometallurgy 2014, 149, 1–11. [Google Scholar] [CrossRef]
- Fleming, C.A.; Mcmullen, J.; Thomas, K.G.; Wells, J.A. Recent advances in the development of an alternative to the cyanidation process: Thiosulfate leaching and resin in pulp. Min. Metall. Explor. 2003, 20, 1–9. [Google Scholar] [CrossRef]
- Xu, B.; Yang, Y.; Li, Q.; Yin, W.; Jiang, T.; Li, G. Thiosulfate leaching of Au, Ag and Pd from a high Sn, Pb and Sb bearing decopperized anode slime. Hydrometallurgy 2016, 164, 278–287. [Google Scholar] [CrossRef]
- Wan, R.Y.; LeVier, K.M. Solution chemistry factors for gold thiosulfate heap leaching. Int. J. Miner. Process. 2003, 72, 311–322. [Google Scholar] [CrossRef]
- Melo, H.P.P.; Marcelo, V.H.; Moura, B.A. Leaching of gold and silver from printed circuit board of mobile phones. Rem Rev. Esc. Minas 2015, 68, 61–68. [Google Scholar]
- Cerecedo, S.E.; Rodríguez, L.V.; Hernández, A.J.; Mendoza, A.D.; Reyes, V.M.I.; Moreno, P.E.; Salinas, R.E. Mineralization of rare earths, platinum and gold in a sedimentary deposit, found using an indirect method of exploration. Asp. Min. Miner. Sci. 2018, 1, 1–9. [Google Scholar]
- Salinas, R.E.; Hernández, A.J.; Rivera, L.I.; Cerecedo, S.E.; Reyes, V.M.I.; Correa, C.M.; Rubio, M.D. Leaching of silver contained in mining tailings, using sodium thiosulfate: A kinetic study. Hydrometallurgy 2016, 160, 6–11. [Google Scholar] [CrossRef]
- Jeffrey, M.I.; Breuer, P.L.; Chu, C.K. The importance of controlling oxygen addition during the thiosulfate leaching of gold ores. Int. J. Miner. Process. 2003, 72, 323–330. [Google Scholar] [CrossRef]
- Feng, D.; Van Deventer, J.S.J. The role of oxygen in thiosulphate leaching of gold. Hydrometallurgy 2007, 85, 193–202. [Google Scholar] [CrossRef]
- Sohn, H.Y.; Wadsworth, M.E. (Eds.) Cinética De Los Procesos De La Metalurgia Extractiva; Editorial Trillas: Bogota, Colombia, 1986; pp. 141–148. (In Spanish) [Google Scholar]
- Huang, H.H. Unit Processes in Extractive Metallurgy, Montana College of Mineral Science and Technology, Modul 2; National Science Foundation: Washington, DC, USA, 1989. [Google Scholar]
- Ballester, A.; Verdeja, L.F.; Sancho, J. Metalurgia Extractiva, Fundamentos; Editorial Síntesis: Madrid, Spain, 2000; Volume 1, pp. 182–189. (In Spanish) [Google Scholar]
- Ter-Arakelyan, K. On technological expediency of sodium thiosulphate usage for gold extraction from raw material. Lzv. V. U. Z. Tsvetn Metall. 1984, 5, 72–76. [Google Scholar]
- Yen, W.T.; Aghamirian, M.; Deschenes, G.; Theben, S. Gold extraction from mild refractory ore using ammonium thiosulfate. In Proceedings of the International Symposium on Gold Recovery, Montreal, QC, Canada, 3–6 May 1998. [Google Scholar]











| Element | % wt |
|---|---|
| S | 34.3 |
| Fe | 32.6 |
| O | 16.6 |
| C | 2.4 |
| Si | 0.8 |
| Mg | 0.9 |
| Al | 0.6 |
| Na | 0.6 |
| K | 0.05 |
| Ti | 0.006 |
| Cu | 0.0007 |
| Pt | 0.0002 |
| Pd | 0.0007 |
| Au | 0.0005 |
| Ag | 0.0025 |
| D (µm) | Partial Weight (pct) | Accumulative Weight (pct) |
|---|---|---|
| 37 | 3.8 | 3.8 |
| 44 | 77.6 | 81.4 |
| 53 | 8.5 | 89.9 |
| 63 | 3.5 | 93.4 |
| 105 | 2.7 | 96.1 |
| 125 | 2.2 | 98.3 |
| 149 | 1.5 | 99.8 |
| 354 | 0.2 | 100 |
© 2020 by the authors. Licensee MDPI, Basel, Switzerland. This article is an open access article distributed under the terms and conditions of the Creative Commons Attribution (CC BY) license (http://creativecommons.org/licenses/by/4.0/).
Share and Cite
Roldán-Contreras, E.; Salinas-Rodríguez, E.; Hernández-Ávila, J.; Cerecedo-Sáenz, E.; Rodríguez-Lugo, V.; I. Jeldres, R.; Toro, N. Leaching of Silver and Gold Contained in a Sedimentary Ore, Using Sodium Thiosulfate; A Preliminary Kinetic Study. Metals 2020, 10, 159. https://doi.org/10.3390/met10020159
Roldán-Contreras E, Salinas-Rodríguez E, Hernández-Ávila J, Cerecedo-Sáenz E, Rodríguez-Lugo V, I. Jeldres R, Toro N. Leaching of Silver and Gold Contained in a Sedimentary Ore, Using Sodium Thiosulfate; A Preliminary Kinetic Study. Metals. 2020; 10(2):159. https://doi.org/10.3390/met10020159
Chicago/Turabian StyleRoldán-Contreras, Edmundo, Eleazar Salinas-Rodríguez, Juan Hernández-Ávila, Eduardo Cerecedo-Sáenz, Ventura Rodríguez-Lugo, Ricardo I. Jeldres, and Norman Toro. 2020. "Leaching of Silver and Gold Contained in a Sedimentary Ore, Using Sodium Thiosulfate; A Preliminary Kinetic Study" Metals 10, no. 2: 159. https://doi.org/10.3390/met10020159
APA StyleRoldán-Contreras, E., Salinas-Rodríguez, E., Hernández-Ávila, J., Cerecedo-Sáenz, E., Rodríguez-Lugo, V., I. Jeldres, R., & Toro, N. (2020). Leaching of Silver and Gold Contained in a Sedimentary Ore, Using Sodium Thiosulfate; A Preliminary Kinetic Study. Metals, 10(2), 159. https://doi.org/10.3390/met10020159

